Preprint
Article

This version is not peer-reviewed.

4-Component Spinors for SL(4,C) and Four Types of Transformations

Submitted:

30 March 2023

Posted:

31 March 2023

Read the latest preprint version here

Abstract
We define a spinor-Minkowski metric for SL(4,C). It is not a trivial generalization of the SL(2,C) metric and it involves the Minkowski metric. We define 4x4 version of the Pauli matrices and their 4-component generalized eigenvectors. The generalized eigenvectors can be regarded as 4-component spinors and they can be grouped into four categories. Each category transforms in its own way. The outer products of pairwise combinations of 4-component spinors can be associated with 4-vectors.
Keywords: 
;  ;  

1. Introduction

Let L A be an element of S L ( 2 , C ) . In an exponential form with parameters θ and η :
L A = e x p ( i 2 ( θ · σ + i η · σ ) )
σ is the Pauli vector with σ 1 = σ x , σ 2 = σ y , σ 3 = σ z . The subscript   A is introduced in order to distinguish the other forms of L that will be introduced subsequently.
We rewrite L A and its complex conjugate in the following compact forms:
L A = e x p ( i 2 π A · σ ) , L A * = e x p ( i 2 π A * · σ * )
( π A ) i = θ i + i η i and   * denotes complex conjugation. L A corresponds to the Lorentz transformation with θ i and η i being the rotation and boost parameters, respectively.
It is well known that the complex version of the 4 × 4 Lorentz transformation matrix can be written as a matrix direct product of L A and L A * :
λ = L A L A *
In order to obtain the familiar real matrix form of the Lorentz transformation matrix it is enough to change the basis:
Λ = A ( L A L A * ) A 1
where
A = 1 2 1 0 0 1 0 1 1 0 0 i i 0 1 0 0 1 , A 1 = A = 1 2 1 0 0 1 0 1 i 0 0 1 i 0 1 0 0 1
Now, it is straightforward to show that S O ( 3 , 1 ) can be written as a commutative product of S L ( 4 , C ) and S L ( 4 , C ) * by simply rewriting Eq.(4) in a factorized form:
Λ = [ A ( L A I ) A 1 ] [ A ( I L A * ) A 1 ] = Z A Z A * = Z A * Z A ,
Z A = A ( L A I ) A 1 , Z A * = A ( I L A * ) A 1 .
Z A and Z A * are the 4 × 4 versions of L A and L A * matrices. They can be expressed in terms of Σ i matrices:
Z A = e x p ( i 2 π A · Σ ) , Z A * = e x p ( i 2 π A * · Σ * ) .
Σ = ( Σ 1 , Σ 2 , Σ 3 ) and Σ i are 4 × 4 versions of Pauli matrices:
Σ 1 = 0 1 0 0 1 0 0 0 0 0 0 i 0 0 i 0 , Σ 2 = 0 0 1 0 0 0 0 i 1 0 0 0 0 i 0 0 , Σ 3 = 0 0 0 1 0 0 i 0 0 i 0 0 1 0 0 0
These are traceless Hermitian matrices and they satisfy the same commutation relations as σ i matrices
1 2 Σ i , 1 2 Σ j = i 2 ϵ i j k Σ k .
By definition, Σ μ = A ( σ μ I ) A 1 , ( μ = 0 , 1 , 2 , 3 ) , Σ 0 is the 4 × 4 identity. Σ μ basis do not form a complete set for 4 × 4 matrices, but the set of Σ μ Σ ν * does.
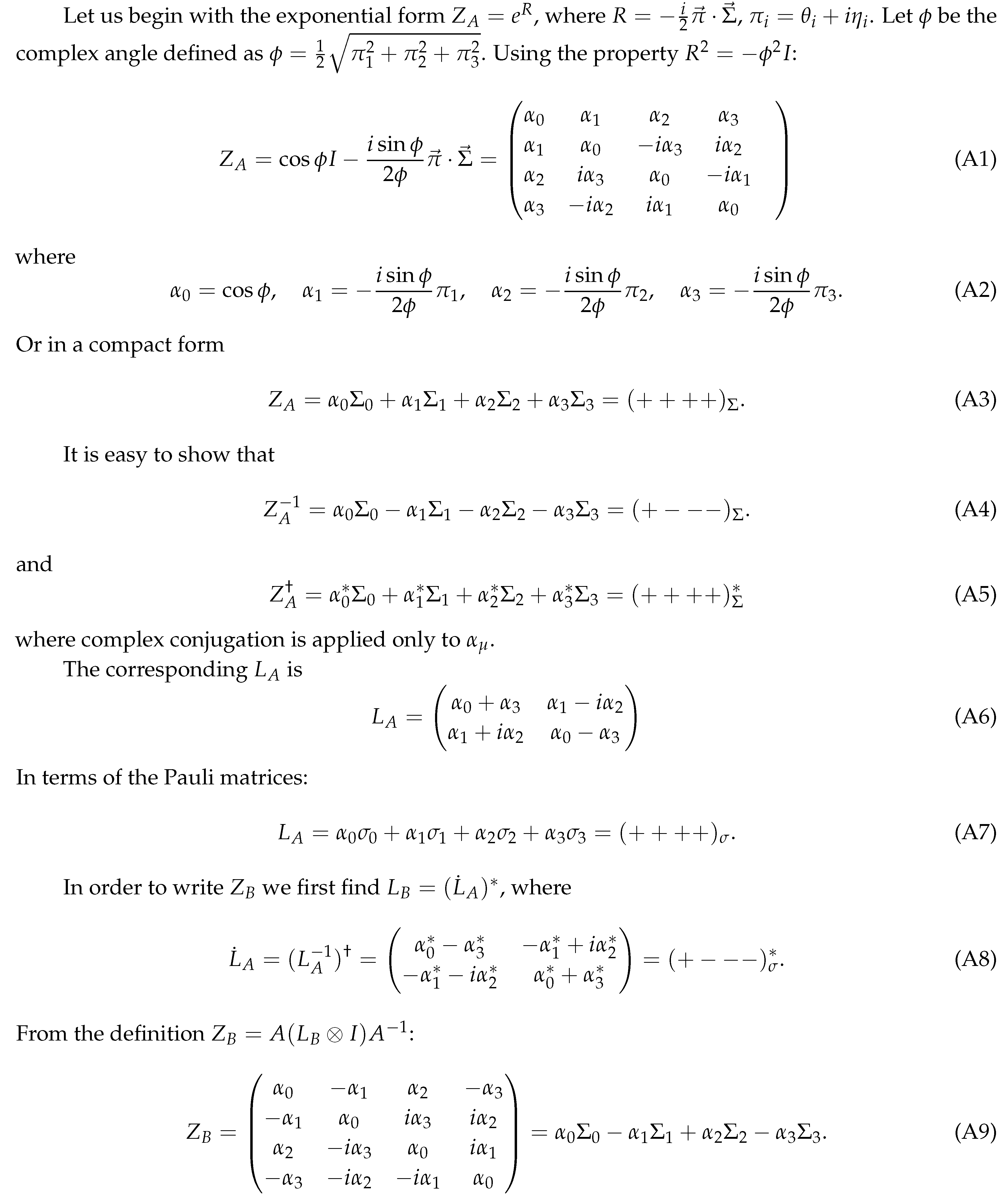
From the Eq.(7), Z A can be found in terms of the elements of L A :
Z A = α 0 α 1 α 2 α 3 α 1 α 0 i α 3 i α 2 α 2 i α 3 α 0 i α 1 α 3 i α 2 i α 1 α 0
where α 0 = 1 2 ( L 11 + L 22 ) , α 1 = 1 2 ( L 12 + L 21 ) , α 2 = i 2 ( L 12 L 21 ) , and α 3 = 1 2 ( L 11 L 22 ) . Hence, L A can be written in terms of α μ as
L A = α 0 + α 3 α 1 i α 2 α 1 + i α 2 α 0 α 3
We can write L A and Z A in terms of σ μ and Σ μ matrices:
L A = α 0 σ 0 + α 1 σ 1 + α 2 σ 2 + α 3 σ 3
Z A = α 0 Σ 0 + α 1 Σ 1 + α 2 Σ 2 + α 3 Σ 3
Or, simply
L A = ( + + + + ) σ .
Z A = ( + + + + ) Σ .
We also define the spinor metric g for S L ( 4 , C ) that corresponds to the spinor metric ϵ of S L ( 2 , C ) :
g = g μ ν = i η Σ 2 * = 0 0 i 0 0 0 0 1 i 0 0 0 0 1 0 0 ; g 1 = g μ ν = g .
η is the mostly minus Minkowski metric1.
Z A preserves the Minkowski metric:
Z A T g Z A = g
Since η is real, Z A T g Z A = g directly entails Λ T g Λ = g . In an analogy with ϵ σ i ϵ 1 = σ i * , we have the following very useful relation:
g Σ i g 1 = Σ i *
In this note we will show that there are eight generalized eigenvectors of Σ 3 * matrix that can be interpreted as 4-component covariant spinors. The generalized eigenvectors can be pairwise grouped into four categories. The first pair transforms in the usual way, but the other three transform in different ways.
In the following we will study the first and the second pairs in detail, and we will introduce the remaining two in the last section.

2. The first and the second pairs and their transformation properties

Let L A = e x p ( i 2 π A · σ ) be the ( 1 2 , 0 ) representation of the Lorentz group that acts on the 2-component left-chiral spinor ξ   L :
ξ   L ξ   L = L A ξ   L .
where
L A = L 11 L 12 L 21 L 22
In terms of the components u , v of ξ   L :
u u = L 11 u + L 12 v , v v = L 21 u + L 22 v .
Let us call this transformation scheme T A .
Let L ˙ A = e x p ( i 2 π A * · σ ) be the dotted version corresponding to the ( 0 , 1 2 ) representation of the Lorentz group. L ˙ A = ( L A 1 ) . Let ξ   R be the 2-component right-chiral spinor. ξ   R = ϵ ξ   L * , where
ϵ = ϵ a b = 0 1 1 0 , ϵ 1 = ϵ a b = ϵ .
ξ   R transforms as
ξ   R ξ   R = L ˙ A ξ   R
In terms of the components u , v , Eq.(24) is equivalent to the scheme T A given in Eq.(22).
What happens when L A acts on ϵ ξ   L ? In this case, in terms of the components
u u = L 22 u L 21 v , v v = L 12 u + L 11 v
Let us call this transformation scheme T B . We can write T B in a matrix form:
u v u v = L 22 L 21 L 12 L 11 u v
Let us name this transformation matrix as L B . Note that, L B = ( L ˙ A ) * , and Eq.(26) is nothing but the transformation of ξ   L under the action of L B , which is a type T B transformation.
Now, let Z A = e x p ( i 2 π A · Σ ) be the ( 1 2 , 0 ) representation of S L ( 4 , C ) that acts on the first pair of the 4-component undotted covariant spinors:
χ   ( 1 ) χ   ( 1 ) = Z A χ   ( 1 ) , χ   ( 2 ) χ   ( 2 ) = Z A χ   ( 2 )
where χ   ( 1 ) and χ   ( 2 ) are the generalized eigenvectors of Σ 3 *  2:
χ   ( 1 ) = 1 2 u v i v u , χ   ( 2 ) = 1 2 v u i u v
Indices in the parentheses are simply labels for 4-component spinors.
Now consider the second pair of the generalized eigenvectors of Σ 3 * :
χ   ( 3 ) = 1 2 v u i u v , χ   ( 4 ) = 1 2 u v i v u
Transformation scheme of χ   ( 3 ) and χ   ( 4 ) is different from that of χ   ( 1 ) and χ   ( 2 ) . Under the action of Z A , χ   ( 1 ) and χ   ( 2 ) transform according to the scheme T A , but χ   ( 3 ) and χ   ( 4 ) transform according to the scheme T B . However, we may think in an alternative way: χ   ( 3 ) and χ   ( 3 ) are different kind of objects with different transformation properties, such that another transformation matrix, Z B , acts on them and under the action of Z B they transform according to the scheme T A :
χ   ( 3 ) χ   ( 3 ) = Z B χ   ( 3 ) , χ   ( 4 ) χ   ( 4 ) = Z B χ   ( 4 ) ,
By definition Z B = A ( L B I ) A 1 :
Z B = α 0 α 1 α 2 α 3 α 1 α 0 i α 3 i α 2 α 2 i α 3 α 0 i α 1 α 3 i α 2 i α 1 α 0 = α 0 Σ 0 α 1 Σ 1 + α 2 Σ 2 α 3 Σ 3 .
Or, simply
Z B = ( + + ) Σ
Now let Z ˙ A = e x p ( i 2 π A * · Σ ) be the ( 0 , 1 2 ) representation. Z ˙ A = ( Z A 1 ) . We regard the generalized eigenvectors of Σ 3 as 4-component undotted contravariant spinors and we define the first pair as follows:
χ ( 1 ) = 1 2 v u i u v , χ ( 2 ) = 1 2 u v i v u
Under the action of Z ˙ A , dotted versions of χ   ( 1 ) and χ   ( 1 ) transform according to the scheme T A .
χ ˙   ( 1 ) χ ˙   ( 1 ) = Z ˙ A χ ˙   ( 1 ) , χ ˙   ( 2 ) χ ˙   ( 2 ) = Z ˙ A χ ˙   ( 2 )
The second pair of the generalized eigenvectors of Σ 3 is defined as
χ ( 3 ) = 1 2 u v i v u , χ ( 4 ) = 1 2 v u i u v
Under the action of Z ˙ A , the dotted versions of χ   ( 3 ) and χ   ( 4 ) transform according to the scheme T B . But, they transform according to the scheme T A under the action of Z ˙ B :
χ ˙   ( 3 ) χ ˙   ( 3 ) = Z ˙ B χ ˙   ( 3 ) , χ ˙   ( 4 ) χ ˙   ( 4 ) = Z ˙ B χ ˙   ( 4 )
where Z ˙ B = ( Z B 1 ) by definition. χ   ( a ) is related to χ   ( a ) by the S L ( 4 , C ) metric, χ ( a ) = g χ   ( a ) , and its dotted version is defined as 3.
χ ˙ ( a ) = ( g χ   ( a ) ) * .
We write various forms of Z and L matrices in compact notation to manifest the parallelism between them:
L A = ( + + + + ) σ , L B = ( + + ) σ , L ˙ A = ( + ) σ * , L ˙ B = ( + + + ) σ * .
Z A = ( + + + + ) Σ , Z B = ( + + ) Σ , Z ˙ A = ( + ) Σ * , Z ˙ B = ( + + + ) Σ * .

3. Outer products of 4-component spinors and null 4-vectors

Let us define the outer product W   L = ξ   L ξ   L which transforms as
W   L W   L = ( L A ξ   L ) ( L A ξ   L ) = L A W   L L A
In terms of the components of u , v of ξ   L
W   L = u u ˙ u v ˙ v u ˙ v v ˙ W   L = ( u u ˙ ) ( u v ˙ ) ( v u ˙ ) ( v v ˙ )
This is a type T A transformation with u u = L 11 u + L 12 v and v v = L 21 u + L 22 v :
( u u ˙ ) = L 11 L 11 * u u ˙ + L 11 L 12 * u v ˙ + L 12 L 11 * v u ˙ + L 12 L 12 * v v ˙
( u v ˙ ) = L 11 L 21 * u u ˙ + L 11 L 22 * u v ˙ + L 12 L 21 * v u ˙ + L 12 L 22 * v v ˙
( v u ˙ ) = L 21 L 11 * u u ˙ + L 21 L 12 * u v ˙ + L 22 L 11 * v u ˙ + L 22 L 12 * v v ˙
( v v ˙ ) = L 21 L 21 * u u ˙ + L 21 L 22 * u v ˙ + L 22 L 21 * v u ˙ + L 22 L 22 * v v ˙
Determinant of W   L is zero, hence W   L can be associated with a null 4-vector through the substitutions, t = 1 2 ( u u ˙ + v v ˙ ) , x = 1 2 ( u v ˙ + v u ˙ ) , y = i 2 ( u v ˙ v u ˙ ) , z = 1 2 ( u u ˙ v v ˙ ) :
W   L = t + z x i y x + i y t z
We also define the outer product W   R = ξ   R ξ   R which transforms as
W   R W   R = ( L ˙ A ξ   R ) ( L ˙ A ξ   R ) = L ˙ A W   R L ˙ A
This is also a type T A transformation. Determinant of W   R is zero and W   R can be associated with a null 4-vector:
W   R = t z x + i y x i y t + z
Note that W   R can be obtained from W   L by parity inversion.
There are outer product forms of 4-component spinors that can be associated with null 4-vectors. W   ( 11 ) = χ   ( 1 ) χ   ( 1 ) and W   ( 22 ) = χ   ( 2 ) χ   ( 2 ) transform in a similar way with W   L :
W   ( 11 ) = u u ˙ u v ˙ i u v ˙ u u ˙ v u ˙ v v ˙ i v v ˙ v u ˙ i v u ˙ i v v ˙ v v ˙ i v u ˙ u u ˙ u v ˙ i u v ˙ u u ˙ , W   ( 22 ) = v v ˙ v u ˙ i v u ˙ v v ˙ u v ˙ u u ˙ i u u ˙ u v ˙ i u v ˙ i u u ˙ u u ˙ i u v ˙ v v ˙ v u ˙ i v u ˙ v v ˙
For a = 1 and a = 2 , W   ( a a ) transform according to the scheme T A as
W   ( a a ) W   ( a a ) = Z A W   ( a a ) Z A .
On the other hand, W ˙   ( 11 ) = χ ˙   ( 1 ) χ ˙   ( 1 ) and W ˙   ( 22 ) = χ ˙   ( 2 ) χ ˙   ( 2 ) transform in a similar way with W   R :
W ˙   ( 11 ) = v v ˙ u v ˙ i u v ˙ v v ˙ v u ˙ u u ˙ i u u ˙ v u ˙ i v u ˙ i u u ˙ u u ˙ i v u ˙ v v ˙ u v ˙ i u v ˙ v v ˙ , W ˙   ( 22 ) = u u ˙ v u ˙ i v u ˙ u u ˙ u v ˙ v v ˙ i v v ˙ u v ˙ i u v ˙ i v v ˙ v v ˙ i u v ˙ u u ˙ v u ˙ i v u ˙ u u ˙
For a = 1 and a = 2 , W ˙   ( a a ) transform according to the scheme T A as
W ˙   ( a a ) W ˙   ( a a ) = Z ˙ A W ˙   ( a a ) Z ˙ A
W   ( a a ) and W ˙   ( a a ) are Hermitian and zero determinant matrices, hence they correspond to null 4-vectors.
We also have outer products of 4-component spinors of the other kind. For a = 3 and a = 4 , W   ( a a ) and W ˙   ( a a ) transform according to the scheme T A under the action of Z B and Z ˙ B :
W   ( a a ) W   ( a a ) = Z B W   ( a a ) Z B , W ˙   ( a a ) W ˙   ( a a ) = Z ˙ B W ˙   ( a a ) Z ˙ B
These are also Hermitian and zero determinant matrices and they correspond to null 4-vectors.

4. Quaternion forms and 4-vectors

In general, we can treat t , x , y and z as variables that do not depend on u and v. Then, we can associate the following matrices X   L and X   R with 4-vectors, which are not necessarily null:
W   L X   L = t + z x i y x + i y t z = t σ 0 + x σ 1 + y σ 2 + z σ 3 = ( + + + + ) σ
W   R X   R = t z x + i y x i y t + z = t σ 0 x σ 1 y σ 2 z σ 3 = ( + ) σ
det X   L = det X   R = t 2 x 2 y 2 z 2 and in general not zero. X   L and X   R transform as
X   L X   L = L A X   L L A , X   R X   R = L ˙ A X   R L ˙ A
These are matrix representations of quaternions, because i σ 1 , i σ 2 , i σ 3 matrices have the same properties as the Hamilton’s quaternion basis, i , j , k :
X   L = t σ 0 + i x ( i σ 1 ) + i y ( i σ 2 ) + i z ( i σ 3 ) = t 1 + i x i + i y j + i z k .
Similarly,
X   R = t 1 i x i i y j i z k .
In order to make the analogy with S L ( 4 , C ) we consider the following two column objects that are pairwise combinations of 4-component spinors:
χ   ( 12 ) = 1 2 u v v u i v i u u v , χ   ( 34 ) = 1 2 v u u v i u i v v u , χ   ( 12 ) = 1 2 v u u v i u i v v u , χ   ( 34 ) = 1 2 u v v u i v i u u v
where χ   ( 12 ) = ( χ   ( 1 ) , χ   ( 2 ) ) , χ   ( 34 ) = ( χ   ( 3 ) , χ   ( 4 ) ) , χ   ( 12 ) = ( χ   ( 1 ) , χ   ( 2 ) ) , χ   ( 34 ) = ( χ   ( 3 ) , χ   ( 4 ) ) .
We define outer products of 4-component spinor pairs in the forms W   ( a b ) = χ   ( a b ) χ   ( a b ) and W ˙   ( a b ) = χ ˙   ( a b ) χ ˙   ( a b ) . First we let a = 1 and b = 2 . The outer product W   ( 12 ) = χ   ( 12 ) χ   ( 12 ) is formally a quaternion:
W   ( 12 ) = 1 2 u u ˙ + v v ˙ u v ˙ + v u ˙ i u v ˙ i v u ˙ u u ˙ v v ˙ v u ˙ + u v ˙ v v ˙ + u u ˙ i v v ˙ i u u ˙ v u ˙ u v ˙ i v u ˙ + i u v ˙ i v v ˙ + i u u ˙ v v ˙ + u u ˙ i v u ˙ i u v ˙ u u ˙ v v ˙ u v ˙ v u ˙ i u v ˙ + i v u ˙ u u ˙ + v v ˙
W   ( 12 ) can be written as a sum of two basic forms: W   ( 12 ) = W   ( 11 ) + W   ( 22 ) . In its present form det W   ( 12 ) = 0 and W   ( 12 ) corresponds to a null 4-vector, but we can associate W   ( 12 ) with an arbitrary 4-vector in terms of the variables t , x , y and z:
W   ( 12 ) Q   ( 12 ) = t x y z x t i z i y y i z t i x z i y i x t = t Σ 0 + x Σ 1 + y Σ 2 + z Σ 3 .
Q   ( 12 ) = ( + + + + ) Σ and it is the 4 × 4 version of X   L :
Q   ( 12 ) = A ( X   L I ) A 1
On the other hand, W ˙   ( 12 ) has a different form:
W ˙   ( 12 ) = χ ˙   ( 12 ) χ ˙   ( 12 ) = W ˙   ( 11 ) + W ˙   ( 22 ) = 1 2 v ˙ v + u ˙ u v ˙ u u ˙ v i v ˙ u + i u ˙ v v ˙ v u ˙ u u ˙ v v ˙ u u ˙ u + v ˙ v i u ˙ u i v ˙ v u ˙ v + v ˙ u i u ˙ v i v ˙ u i u ˙ u + i v ˙ v u ˙ u + v ˙ v i u ˙ v + i v ˙ u v ˙ v u ˙ u v ˙ u + u ˙ v i v ˙ u i u ˙ v v ˙ v + u ˙ u
In terms of the variables t , x , y and z:
W ˙   ( 12 ) Q ˙   ( 12 ) = t x y z x t i z i y y i z t i x z i y i x t = t Σ 0 x Σ 1 y Σ 2 z Σ 3 .
Q ˙   ( 12 ) = ( + ) Σ and it is the 4 × 4 version of X   R :
Q ˙   ( 12 ) = A ( X   R I ) A 1 .
Q ˙   ( 12 ) can be obtained from Q   ( 12 ) by parity inversion and they transform as
Q   ( 12 ) Q   ( 12 ) = Z A Q   ( 12 ) Z A , Q ˙   ( 12 ) Q ˙   ( 12 ) = Z ˙ A Q ˙   ( 12 ) Z ˙ A
These are type T A transformations, hence these forms correspond to 4-vectors.
Now let a = 3 and b = 4 . The outer product W   ( 34 ) = χ   ( 34 ) χ   ( 34 ) is also a quaternion:
W   ( 34 ) = 1 2 v v ˙ + u u ˙ v u ˙ u v ˙ i v u ˙ + i u v ˙ v v ˙ u u ˙ u v ˙ v u ˙ u u ˙ + v v ˙ i u u ˙ i v v ˙ u v ˙ + v u ˙ i u v ˙ i v u ˙ i u u ˙ + i v v ˙ u u ˙ + v v ˙ i u v ˙ + i v u ˙ v v ˙ u u ˙ v u ˙ + u v ˙ i v u ˙ i u v ˙ v v ˙ + u u ˙
In terms of variables t , x , y and z:
W   ( 34 ) Q   ( 34 ) = t x y z x t i z i y y i z t i x z i y i x t = t Σ 0 x Σ 1 + y Σ 2 z Σ 3 .
W   ( 34 ) = ( + + ) Σ . We also write W ˙   ( 34 ) :
W ˙   ( 34 ) = χ ˙   ( 34 ) χ ˙   ( 34 ) = 1 2 u ˙ u + v ˙ v u ˙ v + v ˙ u i u ˙ v i v ˙ u u ˙ u v ˙ v v ˙ u + u ˙ v v ˙ v + u ˙ u i v ˙ v i u ˙ u v ˙ u u ˙ v i v ˙ u + i u ˙ v i v ˙ v + i u ˙ u v ˙ v + u ˙ u i v ˙ u i u ˙ v u ˙ u v ˙ v u ˙ v v ˙ u i u ˙ v + i v ˙ u u ˙ u + v ˙ v
W ˙   ( 34 ) Q ˙   ( 34 ) = t x y z x t i z i y y i z t i x z i y i x t = t Σ 0 + x Σ 1 y Σ 2 + z Σ 3 .
Q ˙   ( 34 ) = ( + + + ) Σ and it can be obtained from Q   ( 34 ) by parity inversion. Q   ( 34 ) and Q ˙   ( 34 ) transform with Z B and Z ˙ B :
Q   ( 34 ) Q   ( 34 ) = Z B Q   ( 34 ) Z B , Q ˙   ( 34 ) Q ˙   ( 34 ) = Z ˙ B Q ˙   ( 34 ) Z ˙ B
These transformations obey the scheme T A also, hence they correspond to 4-vectors.
With the compact notation we can show a very nice symmetry: The form of the transformation matrix matches the form of the transformed object. For example, Z A = ( + + + + ) Σ acts on the form Q ( 12 ) = ( + + + + ) Σ , Z B = ( + + ) Σ acts on the form Q ( 34 ) = ( + + ) Σ , Z ˙ A = ( + ) Σ * acts on the form Q ˙ ( 12 ) = ( + ) Σ , and Z ˙ B = ( + + + ) Σ * acts on the form Q ˙ ( 34 ) = ( + + + ) Σ .

5. Two more pairs of spinors

There are four eigenvectors of Σ 3 * that constitute a complete orthonormal set of basis:
e 1 = 1 0 0 1 , e 2 = 1 0 0 1 , e 3 = 0 1 i 0 , e 4 = 0 1 i 0 .
e 1 and e 3 correspond to + 1 eigenvalue and e 2 and e 4 correspond to 1 eigenvalue. We obtain eight generalized eigenvectors by combining the basis corresponding to the same eigenvalue. For example, we can obtain the four generalized eigenvectors that we have previously studied as follows:
χ   ( 1 ) = u e 1 + v e 3 , χ   ( 2 ) = v e 2 u e 4 ,
χ   ( 3 ) = v e 1 + u e 3 , χ   ( 4 ) = u e 2 v e 4 ,
We can obtain four more generalized eigenvectors of Σ 3 * by changing the sign or swapping u and v:
χ   ( 5 ) = u e 1 + v e 3 , χ   ( 6 ) = v e 2 u e 4 ,
χ   ( 7 ) = v e 1 + u e 3 , χ   ( 8 ) = u e 2 + v e 4 ,
Totally we get eight undotted covariant spinors:
χ   ( 1 ) = u v i v u , χ   ( 2 ) = v u i u v , χ   ( 3 ) = v u i u v , χ   ( 4 ) = u v i v u ,
χ   ( 5 ) = u v i v u , χ   ( 6 ) = v u i u v , χ   ( 7 ) = v u i u v , χ   ( 8 ) = u v i v u .
We can group χ   ( a ) ( a = 1 , 2 , 8 ) pairwise:
P   A = { χ   ( 1 ) , χ   ( 2 ) } , P   B = { χ   ( 3 ) , χ   ( 4 ) } , P   C = { χ   ( 5 ) , χ   ( 6 ) } , P   D = { χ   ( 7 ) , χ   ( 8 ) } ,
We already know that P A transforms with Z A and P B transforms with Z B . Following the same procedure that we have applied in the previous sections we can show that P C and P D transform with Z C and Z D respectively:
Z C = A ( L C I ) A 1 , Z D = A ( L D I ) A 1 ,
where
L C = L 11 L 12 L 21 L 22 = α 0 + α 3 α 1 + i α 2 α 1 i α 2 α 0 α 3 = ( + + ) σ
L D = L 22 L 21 L 12 L 11 = α 0 α 3 α 1 + i α 2 α 1 i α 2 α 0 + α 3 = ( + + ) σ
Z C = α 0 α 1 α 2 α 3 α 1 α 0 i α 3 i α 2 α 2 i α 3 α 0 i α 1 α 3 i α 2 i α 1 α 0 = ( + + ) Σ
Z D = α 0 α 1 α 2 α 3 α 1 α 0 i α 3 i α 2 α 2 i α 3 α 0 i α 1 α 3 i α 2 i α 1 α 0 = ( + + ) Σ
There are also the dotted versions:
Z ˙ C = α 0 * α 1 * α 2 * α 3 * α 1 * α 0 * i α 3 * i α 2 * α 2 * i α 3 * α 0 * i α 1 * α 3 * i α 2 * i α 1 * α 0 * = ( + + + ) Σ *
Z ˙ D = α 0 * α 1 * α 2 * α 3 * α 1 * α 0 * i α 3 * i α 2 * α 2 * i α 3 * α 0 * i α 1 * α 3 * i α 2 * i α 1 * α 0 * = ( + + + ) Σ *
We also define the contravariat spinors χ   ( a ) = g χ   ( a ) ( a = 1 , 2 , 8 ) that correspond to the generalized eigenvectors of Σ 3 :
χ   ( 1 ) = v u i u v , χ   ( 2 ) = u v i v u , χ   ( 3 ) = u v i v u , χ   ( 4 ) = v u i u v ,
χ   ( 5 ) = v u i u v , χ   ( 6 ) = u v i v u , χ   ( 7 ) = u v i v u , χ   ( 8 ) = v u i u v .
We group them pairwise:
P   A = { χ   ( 1 ) , χ   ( 2 ) } , P   B = { χ   ( 3 ) , χ   ( 4 ) } , P   C = { χ   ( 5 ) , χ   ( 6 ) } , P   D = { χ   ( 7 ) , χ   ( 8 ) }
Each pair of the dotted contravariant spinors transform with the associated dotted Z matrix.
We define four two-column covariant objects:
χ   ( 12 ) , χ   ( 34 ) , χ   ( 56 ) , χ   ( 78 ) .
And we define the corresponding two-column contravariant objects
χ   ( 12 ) , χ   ( 34 ) , χ   ( 56 ) , χ   ( 78 ) .
Finally, we construct eight outer products that lead to the following quaternions:
χ   ( 12 ) χ   ( 12 ) Q   ( 12 ) = ( + + + + ) Σ , χ ˙   ( 12 ) χ ˙   ( 12 ) Q ˙   ( 12 ) = ( + ) Σ .
χ   ( 34 ) χ   ( 34 ) Q   ( 34 ) = ( + + ) Σ , χ ˙   ( 34 ) χ ˙   ( 34 ) Q ˙   ( 34 ) = ( + + + ) Σ .
χ   ( 56 ) χ   ( 56 ) Q   ( 56 ) = ( + + ) Σ , χ ˙   ( 56 ) χ ˙   ( 56 ) Q ˙   ( 56 ) = ( + + + ) Σ .
χ   ( 78 ) χ   ( 78 ) Q   ( 78 ) = ( + + ) Σ , χ ˙   ( 78 ) χ ˙   ( 78 ) Q ˙   ( 78 ) = ( + + + ) Σ .
Each form transforms in its own way with the matching Z or Z ˙ matrix.

Appendix A

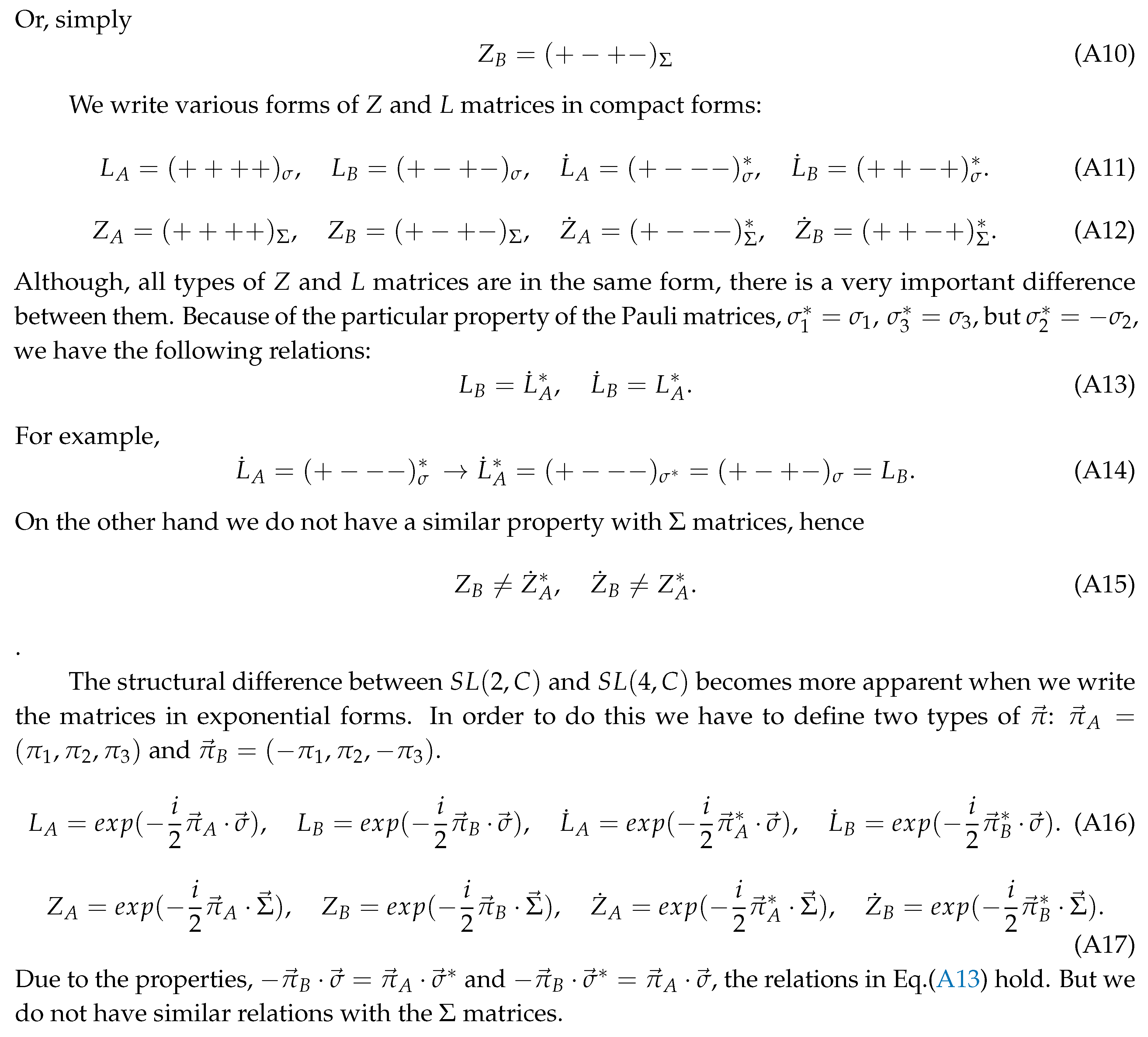
Appendix A.1 Various forms of Z and L matrices

Preprints 70352 i001aPreprints 70352 i001b

Appendix B Two types of Lorentz transformations

Preprints 70352 i002aPreprints 70352 i002b

Appendix C The other way around

Preprints 70352 i003

References

  1. D. Han, Y.S. Kim, Marilyn E. Noz, “Polarization optics and bilinear representation of the Lorentz group.” Physics Letters A 219 (1996) 26-32.
  2. K. N. Srinivasa Rao, Linear Algebra and Group Theory for Physicists, Second Edition, Hindustan Book Agency, New Delhi, India.
  3. Sudha and A.V.Gopala Rao, “Polarization Elements: A Group Theoretical Study”.
  4. D. Han, Y. S. Kim, Marilyn E. Noz, “Jones-matrix Formalism as a Representation of the Lorentz Group,” arXiv:physics/9703032V1[physics.optics] 28 Mar 1997.
  5. E. Kuntman, M. A. Kuntman, and O. Arteaga, “Vector and matrix states for Mueller matrices of nondepolarizing optical media,” J. Opt. Soc. Am. A 34, 80-86 (2017).
  6. E. Kuntman, M. A. Kuntman, A. Canillas, and O. Arteaga, “Quaternion algebra for Stokes–Mueller formalism,” J. Opt. Soc. Am. A 36, 492-497 (2019).
  7. R. M. A. Azzam, “Propagation of partially polarized light through anisotropic media with or without depolarization: A differential 4 × 4 matrix calculus,” J. Opt. Soc. Am. 68, 1756 (1978).
  8. R. Barakat, “Exponential versions of the Jones and Mueller–Jones polarization matrices,” J. Opt. Soc. Am. A/Vol. 13, No. 1 (1996).
  9. S.R. Cloude, “Group theory and polarization algebra”, Optik 75, 26-36 (1986).
  10. W. R. Hamilton, “On a new species of imaginary quantities connected with the theory of quaternions,” Proceedings of the Royal Irish Academy, 2:424–434 (1844).
  11. Ba¸skal, Sibel and Kim, Young S and Noz, Marilyn E, “Physics of the Lorentz Group,” Morgan and Claypool Publishers (2015).
  12. A.A. Bogush, V.M. Red’kov, “On unique parametrization of the linear group GL(4.C) and its subgroups by using the Dirac matrix algebra basis,” arXiv:hep-th/0607054V1 (2006).
1
We can define the spinor metric for S L ( 4 , C ) as i η Σ 1 * or i η Σ 3 * if we like. These metrics also have the same properties of g.
2
We may use the generalized eigenvectors of Σ 1 or Σ 2 matrices as well, but, in that case, we have to employ the other forms of the spinor metric.
3
The upper dot on a spinorial object simply means complex conjugation: χ ˙   ( a ) = ( χ   ( a ) ) * . But, the upper dot on an element of S L ( 2 , C ) or S L ( 4 , C ) has a particular meaning. L ˙ A = e x p ( i 2 π A * · σ ) L A * . Similarly, Z ˙ A = e x p ( i 2 π A * · Σ ) Z A * .
Disclaimer/Publisher’s Note: The statements, opinions and data contained in all publications are solely those of the individual author(s) and contributor(s) and not of MDPI and/or the editor(s). MDPI and/or the editor(s) disclaim responsibility for any injury to people or property resulting from any ideas, methods, instructions or products referred to in the content.
Copyright: This open access article is published under a Creative Commons CC BY 4.0 license, which permit the free download, distribution, and reuse, provided that the author and preprint are cited in any reuse.
Prerpints.org logo

Preprints.org is a free preprint server supported by MDPI in Basel, Switzerland.

Subscribe

Disclaimer

Terms of Use

Privacy Policy

Privacy Settings

© 2026 MDPI (Basel, Switzerland) unless otherwise stated