Preprint
Article

This version is not peer-reviewed.

The Influence of Wild Ungulates on Forest Regeneration in an Alpine National Park

A peer-reviewed article of this preprint also exists.

Submitted:

21 March 2023

Posted:

22 March 2023

You are already at the latest version

Abstract
Browsing of wild ungulates can have profound effects on the structure and composition of forests. In the Swiss National Park, the density of wild ungulates including red deer (Cervus elaphus), ibex (Capra ibex), and chamois (Rupicapra rupicapra) is exceptionally high due to strict protection and the absence of large predators. We examined count data of larch (Larix decidua), cembra pine (Pinus cembra), spruce (Picea abies), upright mountain pine (Pinus mugo subsp. uncinata), and mountain ash (Sorbus aucuparia) of four sampling years between 1991 and 2021 and modelled how different topographic and location factors affected the probability of browsing on saplings of larch, cembra pine, and spruce. Despite the high density of wild ungulates, the numbers of saplings and young trees increased over the past 30 years. The probability of browsing on saplings was highest for larch at a height of 10 – 40 cm and increased with increasing elevation. In our study area, open grasslands are mainly located above the tree line, which might explain the positive correlation between elevation and the probability of browsing. Other factors like exposition and slope, available food resources and disturbance by humans did not have clear effects on the probability of browsing.
Keywords: 
;  ;  ;  ;  ;  

1. Introduction

Large herbivores play an important role in the ecosystems of subalpine and boreal forests. They directly shape the landscape by trampling, dispersing seeds, fertilizing the soil and by reducing the growth and resource uptake of plants by grazing, browsing, stripping, and fraying [1]. Due to a lack of predators and to active protection and promotion of certain ungulate species, the population of wild ungulates in Western Europe has increased over the last few decades [2,3,4].
Many previous studies have shown that ungulates have a profound impact on forest ecosystems and that browsing has a negative impact on forest regeneration [3,5,6,7,8,9]. Consequently, as European populations of ungulates have grown, so have concerns of foresters and the public about the impact of such a high density of wild ungulates on forests and their capability to regenerate. As a response, in many countries management systems were introduced by the government to lower the number of wild ungulates and to protect forests and their functions [10,11].
In strictly protected areas like national parks, such management systems are mostly not applied, and apart from providing a natural habitat, forests mostly do not have a specific function. The Swiss National Park (SNP) was established in 1914 in the canton of Grisons and is one of the most strictly protected nature reserves in Central Europe (IUCN category Ia, i.e., Strict Nature Reserve). Part of this strict protection includes a general ban on hunting and restricting access by visitors to public trails, daytime hours and summer months. This high level of protection and the absence of large predators led to an exponential increase of red deer (Cervus elaphus) in the SNP between about 1920 and 1980, after red deer had returned to the canton of Grisons from the Rätikon (principality of Lichtenstein and Vorarlberg) in the second half of the 19th century [12]. Red deer populations have remained high after 1980 (at about 21 individuals / km2 in our study area; see Methods section). In addition to red deer, roe deer (Capreolus capreolus; at low densities), Alpine chamois (Rupicapra rupicapra) and Alpine ibex (Capra ibex) also occur in the study area. According to Côté et al. [3], the impact of wild ungulates on forests increases with increasing density; however, Côté et al. and other studies investigated mostly areas with management systems for wild ungulates. To examine the influence of wild ungulates in an area with no management of their population sizes, the SNP established a monitoring program on forest regeneration. Since 1991, forest inventory data have been collected once per decade, including data on the number of saplings and on browsing of their apical shoot, as well as on young trees and trunk damage inflicted by wild ungulates.
As part of the monitoring program, the present study investigated the influence of wild ungulates occurring at high densities on forest regeneration between 1991 and 2021 in Val Trupchun, a valley within the strictly protected area of the SNP. We analyzed temporal trends in the number of saplings or young trees of larch (Larix decidua), cembra pine (Pinus cembra), spruce (Picea abies), upright mountain pine (Pinus mugo subsp. uncinata), and mountain ash (Sorbus aucuparia) from surveys conducted in 1991, 2003, 2011, and 2021, to investigate possible changes in the numbers of saplings or young trees due to wild ungulate. If an increasing or constantly high density of wild ungulates is correlated with increasing damage to saplings and young trees, we expect a decrease in the number of saplings and young trees over time.
The browsing pressure in an area with high densities of wild ungulates is influenced by many factors and is therefore spatially not evenly distributed. At the landscape scale, topographic factors like elevation, exposition, and slope can influence meteorological parameters such as solar radiation, temperature, precipitation, and snow cover, which themselves have an influence on the spatial distribution of ungulates [13,14,15]. At the local scale, the structure and composition of the surrounding vegetation can affect the probability of browsing [16]. Additionally, not all tree species are preferred for browsing by ungulates [17].
We thus investigated the spatial heterogeneity of browsing events in Val Trupchun and aimed to identify factors that may influence the probability of browsing, by modelling how topographic and location factors affected the probability of browsing on saplings of larch, cembra pine, and spruce.

2. Methods

2.1. Study Area

Founded in 1914, the Swiss National Park (SNP) is located in the east of Switzerland in the canton of Grisons in the Central Alps (Figure 1). The area is designated as the most strictly protected nature reserve in Central Europe by the standards of the International Union for Conservation of Nature (IUCN). Human activities are thus restricted to a minimum (i.e., hiking only on marked trails, no dogs, no removal of natural objects, no entry in winter or during the night). Nevertheless, approximately 150'000 people visit the SNP annually, and around one quarter of those visitors hike in Val Trupchun, a valley in the south-west of the park that represented our study area.
At 21.56 km2, Val Trupchun represents almost one eighth of the area of the SNP. It covers altitudes of 1800 to 2800 m a.s.l. and is characterized by an inner-alpine dry climate. Mean (± SD) air temperatures are 11.5 °C ± 3.0 °C in summer and -6.1 °C ± 5.0 °C in winter, with an annual mean precipitation of 695.5 ± 120.6 mm (as measured at the weather station in Samedan, at 1708 m a.s.l., between 2012 and 2021 by MeteoSwiss [18]). The two sides of Val Trupchun differ in their climatic conditions and past land-use. The northeast-exposed slope was used for grazing until 1960 and was added to the protected area of the SNP in 1961. This slope lies in the shadow of the mountain flank. By contrast, the southwestern slope is exposed to more solar radiation and has been part of the SNP since its foundation in 1914 [19].
The five most common tree species in Val Trupchun are larch, cembra pine, spruce, upright mountain pine, and mountain ash. However, the forests mainly consist of larch and cembra pine. Because spruce is only found in shady and humid locations, it is relatively uncommon in Val Trupchun. Upright mountain pine and mountain ash occur only rarely [20].
The three common wild ungulate species that roam the forests of Val Trupchun are red deer, which have the highest density at 21 individuals / km2, followed by Alpine ibex at 7 individuals / km2 and Alpine chamois at 6 individuals / km2 in 2021 (ungulate observation data from the Swiss National Park, 2021; Supplementary Material, Figure S1). Apart from these three species, there are a small number of roe deer in Val Trupchun. Red deer undertake major seasonal migrations. In summer, they stay in Val Trupchun; in autumn, they migrate out of the valley to spend the winter in surrounding areas at lower elevations [12].

2.2. Sampling Design

The SNP has a monitoring program for collecting data on forest structure and regeneration, including counts of saplings and young trees (forest inventory data), counts of browsing events of saplings, and trunk damage on young trees inflicted by wild ungulates. In Val Trupchun, data are collected since 1991 once per decade in summer, using a standardized method that was defined and tested in 1991 and was slightly adjusted for the following surveys in 2003 and 2011. Our data collection from 2021 is part of this monitoring program.
The sampling design included 292 permanent sampling plots: for the first survey in 1991, a grid of 100 x 100 m was laid over the map of Val Trupchun, and each intersection over forest area represented the center of a sampling plot (Figure 1). The center of each plot was marked with an iron pole in the ground and a color marker on the nearest large tree. However, not all sampling plots were found each sampling year (Table 1).
Within a 4-m radius from the plot center, we counted saplings of the five most common tree species (larch, cembra pine, spruce, upright mountain pine, and mountain ash) with heights of 0 – 130 cm and assigned them to one of six developmental stages (Table 2). In 1991, the developmental stages 5 and 6 were combined into one developmental stage (Table 3). We assigned all saplings within the 4-m radius as browsed or not browsed, and a browsing event was defined as the apical shoot of the sapling having been bitten off by an ungulate [21].
Within an 8-m radius from the plot center, we counted young trees of the five most common tree species from a height of 130 cm and a breast height diameter of 24 cm and assigned them to their corresponding developmental stage (Table 2). Additionally, we recorded trunk damage resulting from rubbing, stripping, and fraying by ungulates. In 1991, a 4-m radius had been used instead of the 8-m radius. We refrained from extrapolating the data from 1991 to an 8-m radius, because such an extrapolation would have created too much uncertainty due to the large effect of local conditions on the number of trees. We therefore did not include data on the 8-m radius from 1991 in our study (Table 3).
The radii of the plots were adapted to the slope of the terrain by performing a horizontal projection of the terrain into the map plane using the formula by Kramer & Akça [22] (Figure 2). In 1991, no such adjustment to slope had been performed. We therefore extrapolated the counted saplings within the 4-m radius of 1991 to the radius after slope correction (Table 3).

2.3. Development of the Numbers of Trees over Time

To investigate the influence of an increasing density of ungulates on forest development, we focused on three different aspects:
  • Development of the numbers of saplings and young trees of the five most common tree species between 1991 and 2021;
  • Development of the numbers of saplings and young trees of the five most common tree species between 1991 and 2021 on the two slopes of Val Trupchun;
  • Development of the numbers of individuals within each developmental stage per tree species between 1991 and 2021.
Even though a standardized sampling method was followed since 2003, we had to consider that not all plots were found and sampled in each sampling year, leading to different sample sizes per year (Table 1). For visualizations, we used only plots that were sampled in all sampling years (n = 168 plots).

2.4. Factors Possibly Affecting the Probability of Browsing

For spatial calculations and visualizations, we used Esri® ArcMapTM from the program ArcGIS Desktop (version 10.8.0.12790). We calculated topographic values using a digital elevation model with a grid size of 2 m, created and provided by the SNP. Slope and aspect were calculated with the Surface Tool of the Spatial Analyst Extension. We changed the unit of aspect from degree to rad and calculated the sin of the resulting values to obtain a measure for eastness, representing the east-west gradient (with east-exposed sampling plots = 1 and west-exposed sampling plots = -1). Northness, representing the north-south gradient (with north-exposed sampling plots = 1 and south-exposed sampling plots = -1) was calculated by applying the cos function to the same values.
We then calculated different location parameters (as opposed to topographic parameters described above) including distance to the next hiking trail, distance to the next meadow (both obtained from the Habitalp dataset [23]), tree species diversity, and the average developmental stage of the tree species of each sampling plot.
For the distance to the next hiking trail, we calculated an approximation of the distance through the terrain from the plot center to the closest point of the next hiking trail, using aerial distances on the map and elevation differences obtained from the digital elevation model provided by the SNP. Distance through the terrain was calculated as the length of the hypothenuse of a perpendicular triangle with aerial distance and the elevation difference.
For the distance to the next meadow, we calculated the aerial distance of the plot center to the closest meadow, using data from the HABITALP project of the SNP with vegetation maps of Val Trupchun including information on the location of meadows [23].
For quantifying species diversity, we used the Shannon index for each plot, considering only the five tree species under investigation. We used the diversity function from the R package vegan [24], calculating the Shannon index as follows:
H = i S p i × l n ( p i )   with   p i = n i N
S : total number of tree species within the plot
i : tree species
N : total number of saplings of the five tree species within the plot
n i : number of saplings belonging to tree species i within the plot
For the average developmental stage, we calculated the mean developmental stage over all tree species that were found within each sampling plot.
All variables with their influence on the browsing probability that we expected a priori, as well as the reasoning behind that expectation, are shown in Table 4.

2.4.1. Statistical Analysis

For statistical analysis, we used R 4.1.2 (R Development Core Team 2021) and R studio (2022.07.1 Build 554). In R we applied the packages tidyverse [26], vegan [24], lme4 [27], blmeco [28], and arm [29].
We used a binomial generalized linear mixed-effects model with the link function logit to estimate browsing probability, using the function glmer from the package lme4. Our response variable was binomial, i.e., the number of browsed saplings of a tree species among the total number of saplings of the same species. We included data of saplings and their browsing events from all four sampling years and from all plots (Table 1). However, we excluded the tree species mountain ash and upright mountain pine, as well as developmental stage 1, because of small sample sizes (see Figure 5). Topographic and location variables were included into the model as additional predictors, and the sampling year and plot identification number were used as random factors. Before we fitted the model, we transformed some numeric predictors and then centered and scaled all numeric predictors (Table 5). After comparing the fitted values from our model with our data, we judged the model fit as appropriate. We checked our model for overdispersion by comparing residual deviance with residual degrees of freedom and by using the function dispersion_glmer from the package blmeco. We also checked for spatial correlation in the residuals using a semi-variogram and by displaying the residuals on a map (“bubble plot”). We used 2000 simulated random samples from the joint posterior distribution of the model parameters to describe parameter estimates and their uncertainty. We used the mean as point estimate and the 2.5% and 97.5% quantiles from the joint posterior distribution as lower and upper limits of 95% compatibility intervals [30].

3. Results

3.1. Development of the Numbers of Trees over Time

3.1.1. Overall Development of the Numbers of Trees

Figure 3 shows a slight increase of the median in numbers of trees over the past 30 years, with a median of one sapling per sampling plot in 1991 and five saplings in 2021, and of four young trees in 2003 and five young trees in 2021. Additionally, the number of sampling plots on which no trees were recorded decreased both for saplings (1991 = 75, 2003 = 64, 2011 = 50, 2021 = 48) and young trees (2003 = 32, 2011 = 25, 2021 = 22). During the four sampling years, the sampling plots with Plot ID 132 and 3 (outliers in Figure 3) were repeatedly among the sampling plots with the highest numbers of recorded saplings. Similarly, during the last three sampling years, the sampling plot with Plot ID 97 was repeatedly among the sampling plots with the highest numbers of recorded young trees.
Figure 3. Number of saplings (left) and of young trees (right) per sampling plot. Saplings include developmental stages 1 to 6, and young trees include developmental stages 7 to 9 (Table 2). Medians are calculated per sampling plot including the forest inventory data of sampling plots that were surveyed in all four sampling years (n = 168 plots). In each sampling year, the plot identification numbers (Plot ID) of the two sampling plots with the highest number of individuals are indicated. The sampling year 1991 is not included for young trees (Table 3).
Figure 3. Number of saplings (left) and of young trees (right) per sampling plot. Saplings include developmental stages 1 to 6, and young trees include developmental stages 7 to 9 (Table 2). Medians are calculated per sampling plot including the forest inventory data of sampling plots that were surveyed in all four sampling years (n = 168 plots). In each sampling year, the plot identification numbers (Plot ID) of the two sampling plots with the highest number of individuals are indicated. The sampling year 1991 is not included for young trees (Table 3).
Preprints 70043 g003

3.1.2. Differences between Opposite Slopes of the Valley

Overall, the median of the number of saplings and young trees per sampling plot was higher on the northeast-exposed slope (median of saplings 1991 = 3, 2003 = 4, 2011 = 7, 2021 = 7; median of young trees 2003 = 4, 2011 = 4, 2021 = 6.5) than on the southwest-exposed slope (median of saplings 1991 = 0, 2003 = 0, 2011 = 0, 2021 = 0; median of young trees 2003 = 3, 2011 = 3, 2021 = 3; Figure 4). Moreover, in each sampling year, the sampling plots with most saplings or young trees were found on the northeast-exposed slope.

3.1.3. Differences between Developmental Stages

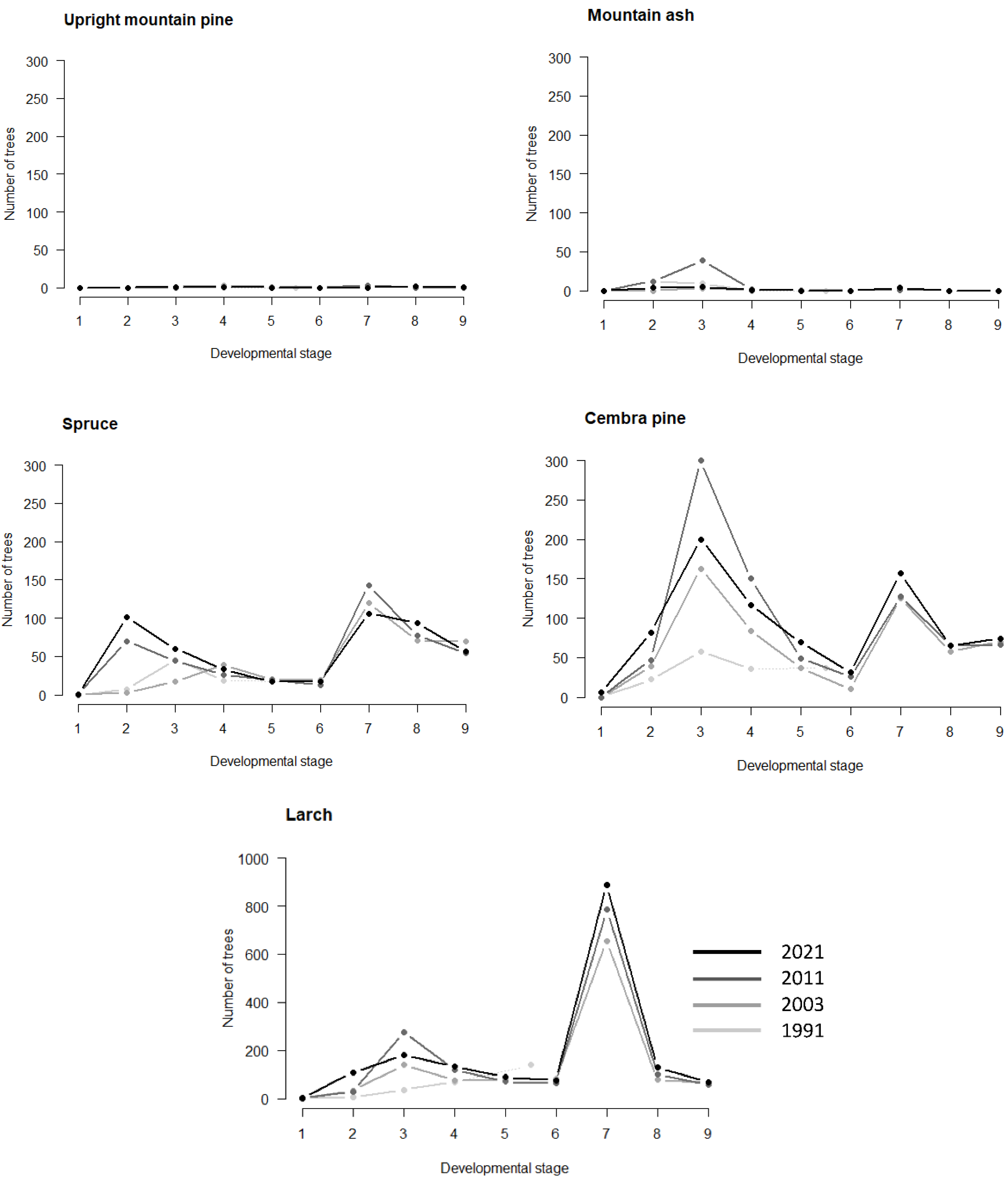
The number of upright mountain pines with a maximum of three individuals in developmental stages 4 and 7, and the number of mountain ash with a maximum of 39 individuals in developmental stage 3 were much smaller compared to spruce with a maximum of 143 individuals in developmental stage 7, cembra pine with a maximum of 300 individuals in developmental stage 3, and larch with a maximum of 889 individuals in developmental stage 7 (Figure 5). In all five tree species, the fewest individuals were recorded in developmental stage 1 that includes germ buds. With six germ buds in 2021, cembra pine had the most germ buds recorded. Larch, cembra pine and spruce showed a peak around developmental stage 3 and in developmental stage 7. The number of larches in developmental stage 7 was exceptionally high. Despite this peak, there was not a much higher number of larches in developmental stages 8 and 9 compared with cembra pine and spruce. Most developmental stages of each tree species showed an increase in the number of trees over the past 30 years.
Figure 5. Total number of saplings and young trees according to their developmental stage (Table 2) per sampling year and tree species, using only sampling plots that were sampled in each sampling year (n = 168 plots). Years are indicated as a grey gradient in chronological order (1991: light grey, 2021: black). The y-axis for larch ranges from 0 to 1000 and for the other tree species from 0 to 300. In 1991, saplings from developmental stages 5 and 6 were combined into one developmental stage 5.5, represented by the dashed line. For the year 1991, data on developmental stages 7, 8 and 9 were not included (Table 3).
Figure 5. Total number of saplings and young trees according to their developmental stage (Table 2) per sampling year and tree species, using only sampling plots that were sampled in each sampling year (n = 168 plots). Years are indicated as a grey gradient in chronological order (1991: light grey, 2021: black). The y-axis for larch ranges from 0 to 1000 and for the other tree species from 0 to 300. In 1991, saplings from developmental stages 5 and 6 were combined into one developmental stage 5.5, represented by the dashed line. For the year 1991, data on developmental stages 7, 8 and 9 were not included (Table 3).
Preprints 70043 g005

3.2. Factors Affecting the Probability of Browsing

For the modelling of the probability of browsing, we included data of saplings and their browsing events from all four sampling years and from all plots (Table 1). However, we excluded the tree species mountain ash and upright mountain pine as well as developmental stage 1 due to their small sample sizes (see Figure 5). According to the binomial generalized linear mixed-effects model (Table S1 and S2), the probability of browsing (PB) was higher for larch (PB: 0.15, compatibility interval (CI): 0.096 – 0.22) than for spruce (PB: 0.084, CI: 0.046 – 0.15) and cembra pine (PB: 0.019, CI: 0.011 – 0.033; see Figure 6, left, and Table S2). With a probability of browsing of 0.15 (CI: 0.096 – 0.22), developmental stage 3 that includes saplings of 10 – 40 cm height had the highest probability of browsing (Figure 6, right, and Table S2).
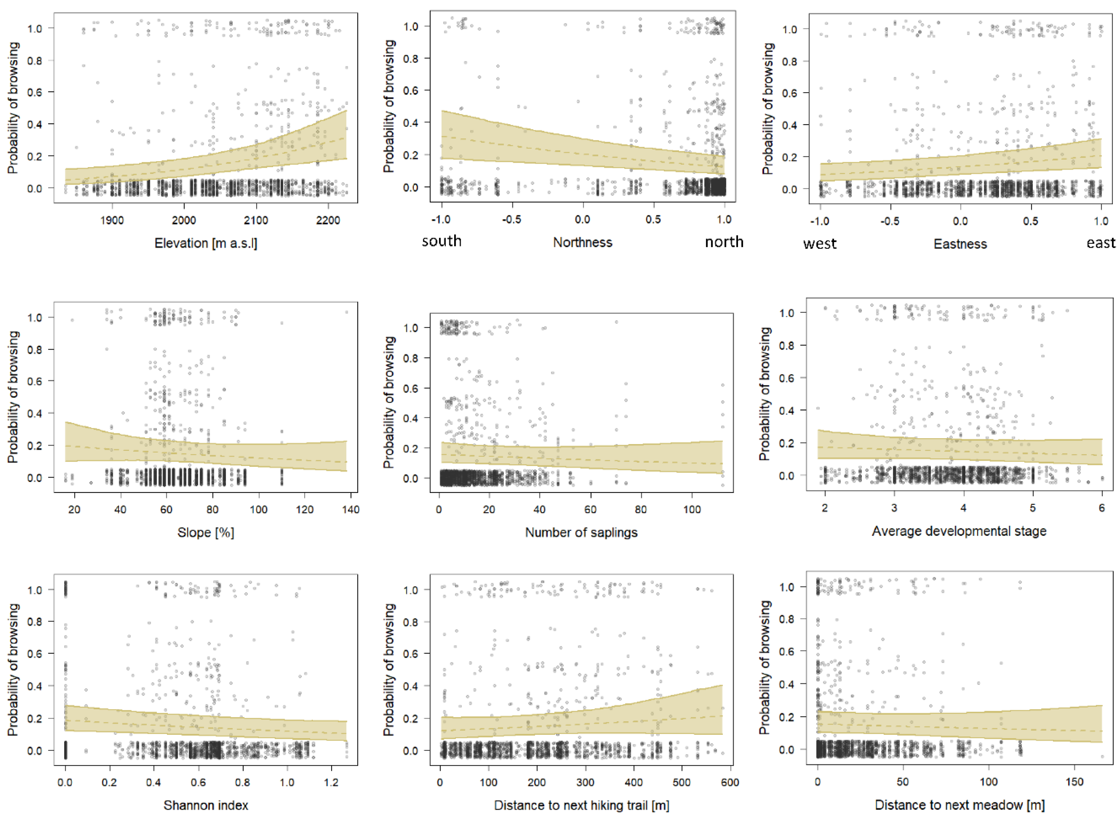
Among the predictors, the only clear effect on the probability of browsing was found for elevation (Figure 7 and Table S2): the higher the elevation of the location of a sapling, the higher was its probability of being browsed (minimum elevation of 1835 m = PB: 0.049, CI: 0.021 – 0.12; maximum elevation of 2225 m = PB: 0.31, CI: 0.19 – 0.48). The interval estimates of the other predictors included both an increase and a decrease in the probability of browsing, leaving an effect of the predictors more unclear. The least ambiguous of those less clear predictors was northness, which was negatively related to the probability of browsing (northness of -1 [i.e., south-exposed sampling plots] = PB: 0.31, CI: 0.18 – 0.49; northness of 1 [i.e., north-exposed sampling plots] = PB: 0.12, CI: 0.079 – 0.19). Eastness showed an increasing (yet unclear) probability of browsing from west-exposed to east-exposed sampling plots (eastness of -1 [i.e., west-exposed sampling plots] = PB: 0.087, CI: 0.048 – 0.15; eastness of 1 [i.e., east-exposed sampling plots] = PB: 0.21, CI: 0.13 – 0.31). The probability of browsing decreased with increasing slope at the sampling plot (minimum slope of 16% = PB: 0.19, CI: 0.10 – 0.35; maximum slope of 138% = PB: 0.093, CI: 0.033 – 0.22).
The least ambiguous location predictor was the distance to the next hiking trail, showing an increase in the probability of browsing the farther away a sampling plot was from a hiking trail (minimum distance of 2 m = PB: 0.12, CI: 0.068 – 0.20; maximum distance of 583 m = PB: 0.21, CI: 0.099 – 0.41). However, because the two hiking trails in Val Trupchun are at lower elevations, the distance to the next hiking trail was strongly correlated with elevation (correlation coefficient: 0.74, Table S3). Point estimates of the number of saplings per plot, average developmental stage, Shannon index, and the distance to the next meadow showed only slight negative and still unclear effect (Table S2).

4. Discussion

4.1. Development of the Numbers of Trees over Time

4.1.1. Overall Development of the Numbers of Trees

The Swiss National Park has an exceptionally high density of wild ungulates. For example, the density of red deer in Val Trupchun at about 21 individuals / km2 is very high compared to other regions in Switzerland and neighboring countries [12] and has remained consistently high in the last decades (ungulate observation data from the Swiss National Park, 2021; Figure S1). Nonetheless, the increasing numbers of saplings and young trees per sampling plot over the last 30 years (Figure 3) suggests that the potential of the forest to regenerate has increased despite consistently high densities of wild ungulates. This confirms the findings of Weppler and Suter [31], who investigated forest regeneration in Val Trupchun between 1991 and 2003, and of Brüllhardt et al. [32], who investigated forest regeneration between Val Trupchun and Il Fuorn in 2011. However, we do not have a control area with similar topographic and climatic conditions but without wild ungulates; therefore, the absolute impact of wild ungulates on forest regeneration remains unclear. Nevertheless, an exclusion experiment in Val Trupchun by Camenisch and Schütz [33] showed that there were no obvious divergent trends in forest regeneration between enclosures and control areas. Therefore, our results are consistent with earlier studies in Val Trupchun suggesting that the forest in this valley is able to regenerate despite the high density of wild ungulates.
Further, our results suggest that the highest potential for forest regeneration is at the edge of the forest or close to avalanche tracks; at least this is where our sampling plots with the highest numbers of saplings and young trees were located (Figure S2). Compared to inner parts of the forest, the edges of the forest or avalanche tracks provide more light for saplings and young trees (and thus reduced competitive exclusion), which benefits their growth [34]. On the other hand, edges of the forest and avalanche tracks are exposed to more disturbances than the inner part of the forest, which could lead to a higher mortality rate of saplings and young trees.

4.1.2. Differences between Opposite Slopes of the Valley

In each sampling year, the median of the numbers of saplings and young trees on the northeast-exposed slope was higher than on the southwest-exposed slope (Figure 4). This difference in the numbers of saplings and young trees between the two slopes of the valley might be due to different climatic conditions and different spatial distributions of wild ungulates (Figure S3) resulting in distinct browsing and trunk-damage intensities (Figures S4 and S5). The high solar radiation on the southwest-exposed slope leads to a thinner snow cover in winter, to an earlier melting of the snow cover during spring, and to a drier climate during summer, compared to the northwest-exposed slope. This dry climate during summer may have a negative impact on the development of saplings and young trees. In each sampling year, both slopes showed events of browsing on saplings (Figure S4) and trunk damage on young trees (Figure S5) by wild ungulates. The small difference in the ratio of browsed saplings and damaged trees between the two slopes of the valley (Tables S4, S5) and the distinct spatial preference by wild ungulates for the northeast-exposed slope supports our suggestion that the presence of ungulates is not the main reason for the difference in the number of saplings and young trees, but that it is a combination of the presence of ungulates and climatic conditions and probably also other environmental factors [35].

4.1.3. Differences between Developmental Stages

Our results in Figure 5 show that upright mountain pine and mountain ash are rather uncommon in Val Trupchun. The most abundant tree species is larch, followed by cembra pine and spruce, as described in the vegetation maps created by Zoller [20]. The exceptionally high number of larches in developmental stage 7, with no corresponding high number of individuals in developmental stages 8 and 9, implies that larches have a higher mortality between developmental stages 7 and 8 than cembra pine and spruce. It is currently unclear whether this high mortality rate is due to a strong preference of wild ungulates for larch in developmental stage 7 for stripping and fraying.

4.2. Factors Affecting the Probability of Browsing

As expected, larch showed the highest probability of being browsed (Figure 6, left). This preference of wild ungulates for larch may be due to the softness of the leaves. Because larch is a deciduous conifer and thus grows new leaves each year, they are softer than the leaves of the other two conifer species. A study conducted by Gebert & Verheyden-Tixier [17] about the dietary composition of red deer in Europe is consistent with our finding that deciduous trees are preferred by wild ungulates. Newly grown shoots of spruce are also soft, which may explain the preference of spruce over cembra pine. In contrast, leaves of cembra pine are very stiff from the beginning.
The only clear effect of topographic and location predictors on the probability of browsing was found for elevation (Figure 7). This result is consistent with the findings of Campbell et al. [13], who showed that elevation was an important predictor for browsing pressure and that the probability of browsing is positively related to elevation. In Val Trupchun, open grasslands are mainly located above the tree line (Figure S6) and are the preferred foraging grounds for ungulates. Thus, such meadows are areas where we frequently observed wild ungulates (Figure S3). When ungulates are disturbed during foraging, e.g., due to bad weather, they retreat into the forest to find shelter. However, they will preferably stay close to their foraging grounds and thus close to the tree line. Because there are fewer opportunities to feed on herbs and grasses in the forest, it is likely that ungulates increase their consumption of shoots and bark of saplings.
The effect of the distance to the next meadow is not as clear as the effect of elevation. This may be due to the correlation between elevation and the distance to the next meadow (correlation coefficient -0.39, Table S3).
Even though the highest density of ungulates and the highest abundance of saplings was found on the northeast-exposed slope (Figure 4 and S3), the probability of browsing was higher on the southwest-exposed slope. This result suggests that much of the browsing on the southwest-exposed slope does not occur in summer, when wild ungulates occur at their highest densities in Val Trupchun due to the presence of red deer, but mainly during autumn, winter, and spring, caused by chamois and ibex preferring to stay on the southwest-exposed slopes during these seasons. During the cold seasons, red deer migrate out of the valley [36,37], and browsing by the remaining two ungulate species increases because food sources are scarce [38].
The effect of eastness had a wide interval estimate, but most values covered by the interval suggest that probability of browsing increases with increasing eastness. With the prevailing westerly winds in summer (according to the weather station in Val Trupchun, mean wind direction in summer 2016 of winds >5 m/s: 264°; data from Swiss National Park), the wind is channeled through the valley from west to east. Therefore, west-exposed sampling plots may have harsher conditions for ungulates than east-exposed sampling plots that are protected from westerly winds. Furthermore, there is a trend of a decreasing probability of browsing with increasing steepness of the sampling plot. Red deer, which has the highest density of wild ungulates, are not as well adapted to steep terrains as chamois and ibex. Therefore, they may avoid such places for browsing and stay closer to flatter areas. However, we do not have data on the steepest terrains because they were too dangerous to sample, which may also affect our results.
Location factors that describe the food resources (number of saplings per plot, average developmental stage, and Shannon index) did not have clear effects on the probability of browsing. However, probability of browsing tended to increase with increasing distance to the next hiking trail. This effect of human disturbance on the probability of browsing may be rather small because visitors to the SNP are not allowed to leave the hiking trails, thus human disturbance is spatially limited and regulated. Additionally, visitors to the SNP are only allowed to stay in the park during daytime. Therefore, sampling plots close to the hiking trail could be browsed during visitor-free periods at dusk, night and dawn. Additionally, Anderwald et al. [39] analyzed fecal glucocorticoid metabolite levels of chamois and red deer in the SNP and showed that visitor densities were apparently not a strong stressor. Furthermore, the hiking trails are mainly located at the base of the valley and hence this predictor correlates strongly with elevation (correlation coefficient of 0.74, Table S3), thus part of the effect of the distance to the next hiking trail on the probability of browsing may be explained by elevation.

5. Conclusions

The results of our study shed light on the browsing behavior and the influence of wild ungulates occurring at high densities on forest regeneration within a strictly protected area of the Swiss National Park. Over the past 30 years, the number of wild ungulates in Val Trupchun was consistently at a high level. Due to the migratory pattern of red deer, the highest density of wild ungulates occurs on the northeast-exposed slope at the end of the valley on open grassland in summer. Despite the pressure of browsing, stripping, and fraying by wild ungulates at such high densities, the number of saplings and young trees has increased over the past 30 years. The probability of browsing on saplings was highest for larch at a height of 10 – 40 cm and increased with increasing elevation. We hope that our study can serve as a basis for further investigations of the foraging patterns of wild ungulates and their influence on forest regeneration after ecosystem interactions are extended by the establishment of large predators such as wolves [40].

Supplementary Materials

The following supporting information can be downloaded at the website of this paper posted on Preprints.org.

Author Contributions

Conceptualization and methodology, J.F., P.A., F.K.-N., S.W. and V.A.; software, J.F. and F.K.-N.; validation, J.F., P.A., F.K.-N., S.W. and V.A.; formal analysis, J.F. and F.K.-N.; investigation, J.F.; resources, P.A., S.W. and V.A.; data curation, J.F.; writing—original draft preparation, J.F.; writing—review and editing, J.F., P.A., F.K.-N., S.W. and V.A.; visualization, J.F. and F.K.-N.; supervision, P.A., S.W. and V.A.; project administration, J.F.; funding acquisition, P.A., S.W. and V.A. All authors have read and agreed to the published version of the manuscript.

Funding

This research was funded by the Swiss National Park and its research board (FOK SNP) at SCNAT, and by the MAVA Foundation.

Data Availability Statement

All data used in this manuscript will be available via http://parcs.ch/snp/index.php.

Acknowledgments

We thank Julia Paterno, Anne-Catherine Gutzwiler and Alexander Shanmugam for general support; Marco Vanoni, Jürg Hassler and Martin Brüllhardt for advice; and Dominic Leimgruber, Saskia Aeschbach, Erwan Zimmermann, Nadline Kjelsberg, Domenic Godly, Andrea Frischknecht, Seraina Campell, Sam Cruickshank, Aline Morger, Ursula Sterrer, Diego Walder, Lukas Henggeler, and Gian Paul Calonder for help in the field.

Conflicts of Interest

The authors declare no conflict of interest. The funders had no role in the design of the study; in the collection, analyses, or interpretation of data; in the writing of the manuscript; or in the decision to publish the results.

References

  1. Hester, A.J.; Bergman, M.; Iason, G.R.; Moen, J. Impacts of Large Herbivores on Plant Community Structure and Dynamics. In Large Herbivore Ecology, Ecosystem Dynamics and Conservation; Danell, K., Bergström, R., Duncan, P., Pastor, J., Eds.; Cambridge University Press, 2006; pp. 97–141 ISBN 978-0-521-83005-8.
  2. Clutton-Brock, T.H.; Coulson, T.; Milner, J.M. Red Deer Stocks in the Highlands of Scotland. Nature 2004, 429, 261–262. [Google Scholar] [CrossRef] [PubMed]
  3. Côté, S.D.; Rooney, T.P.; Tremblay, J.-P.; Dussault, C.; Waller, D.M. Ecological Impacts of Deer Overabundance. Annu. Rev. Ecol. Evol. Syst. 2004, 35, 113–147. [Google Scholar] [CrossRef]
  4. Ripple, W.J.; Beschta, R.L. Large Predators Limit Herbivore Densities in Northern Forest Ecosystems. Eur. J. Wildl. Res. 2012, 58, 733–742. [Google Scholar] [CrossRef]
  5. Charco, J.; Perea, R.; Gil, L.; Nanos, N. Impact of Deer Rubbing on Pine Forests: Implications for Conservation and Management of Pinus Pinaster Populations. Eur. J. For. Res. 2016, 135, 719–729. [Google Scholar] [CrossRef]
  6. Frerker, K.; Sonnier, G.; Waller, D.M. Browsing Rates and Ratios Provide Reliable Indices of Ungulate Impacts on Forest Plant Communities. For. Ecol. Manag. 2013, 291, 55–64. [Google Scholar] [CrossRef]
  7. Nieszała, A.; Klich, D.; Perzanowski, K.; Januszczak, M.; Wołoszyn-Gałęza, A.; Olech, W. Debarking Intensity of European Bison in the Bieszczady Mountains in Relation to Forest Habitat Features. For. Ecol. Manag. 2022, 508, 120057. [Google Scholar] [CrossRef]
  8. Ramirez, J.I.; Jansen, P.A.; Poorter, L. Effects of Wild Ungulates on the Regeneration, Structure and Functioning of Temperate Forests: A Semi-Quantitative Review. For. Ecol. Manag. 2018, 424, 406–419. [Google Scholar] [CrossRef]
  9. Rooney, T.P.; Waller, D.M. Direct and Indirect Effects of White-Tailed Deer in Forest Ecosystems. For. Ecol. Manag. 2003, 181, 165–176. [Google Scholar] [CrossRef]
  10. Putman, R.; Apollonio, M.; Reidar, A. Ungulate Management in Europe: Problems and Practices; Cambridge: Cambridge University Press, 2011; ISBN 978-0-521-76059-1. [Google Scholar]
  11. Bundesamt für Umwelt BAFU Schweizerische Eidgenossenschaft Available online:. Available online: https://www.bafu.admin.ch/bafu/de/home/themen/wald/fachinformationen/waldzustand-und-waldfunktionen.html (accessed on 12 December 2022).
  12. Haller, H. Der Rothirsch im Schweizerischen Nationalpark und dessen Umgebung. Natl.-Forsch. Schweiz 2002, 91, 144. [Google Scholar]
  13. Campbell, T.A.; Laseter, B.R.; Ford, W.M.; Odom, R.H.; Miller, K.V. Abiotic Factors Influencing Deer Browsing in West Virginia. North. J. Appl. For. 2006, 23, 20–26. [Google Scholar] [CrossRef]
  14. Heuze, P.; Schnitzler, A.; Klein, F. Is Browsing the Major Factor of Silver Fir Decline in the Vosges Mountains of France? For. Ecol. Manag. 2005, 217, 219–228. [Google Scholar] [CrossRef]
  15. Mysterud, A. Seasonal Migration Pattern and Home Range of Roe Deer ( Capreolus Capreolus ) in an Altitudinal Gradient in Southern Norway. J. Zool. 1999, 247, 479–486. [Google Scholar] [CrossRef]
  16. Augustine, D.J.; McNaughton, S.J. Ungulate Effects on the Functional Species Composition of Plant Communities: Herbivore Selectivity and Plant Tolerance. J. Wildl. Manag. 1998, 62, 1165. [Google Scholar] [CrossRef]
  17. Gebert, C.; Verheyden-Tixier, H. Variations of Diet Composition of Red Deer (Cervus Elaphus L.) in Europe. Mammal Rev. 2001, 31, 189–201. [Google Scholar] [CrossRef]
  18. Bundesamt für Meteorologie und Klimatologie MeteoSchweiz Schweizerische Eidgenossenschaft Available online: https://www.meteoschweiz.admin.ch/service-und-publikationen/service/wetter-und-klimaprodukte/datenportal-fuer-lehre-und-forschung.html.
  19. Parolini, J.D. Zur Geschichte der Waldnutzung im Gebiet des heutigen Schweizerischen Nationalparks. ETH Zür. 1995. [Google Scholar] [CrossRef]
  20. Zoller, H. Vegetationskarte des Schweizerischen Nationalparks Erläuterungen. Natl.-Forsch. Schweiz 1995, 85, 108. [Google Scholar]
  21. Eiberle, K.; Nigg, H. Grundlagen zur Beurteilung des Wildverbisses im Gebirgswald. Schweiz. Z. Forstwes. 1987, 138, 747–785. [Google Scholar] [CrossRef]
  22. Kramer, H.; Akça, A. Leitfaden zur Waldmesslehre; 5th ed.; Sauerländer: Frankfurt, 2008; ISBN 978-3-7939-0880-7.
  23. Lotz, A. Alpine Habitat Diversity – HABITALP – Project Report 2002–2006, EU Community Initiative Interreg III B Alpine Space Programme, Berchtesgaden, Germany.
  24. Oksanen, J.; Simpson, G.L.; Blanchet, F.G.; Kindt, R.; Legendre, P.; Minchin, P.R.; O’Hara, R.B.; Solymos, P.; Stevens, M.H.H.; Szoecs, E.; et al. Vegan: Community Ecology Package 2022.
  25. Gill, R.M.A. A Review of Damage by Mammals in North Temperate Forests: 1. Deer. Forestry 1992, 65, 145–169. [Google Scholar] [CrossRef]
  26. Wickham, H.; Averick, M.; Bryan, J.; Chang, W.; D’Agostino McGowan, L.; François, R.; Grolemund, G.; Hayes, A.; Henry, L.; Hester, J.; et al. Welcome to the Tidyverse. J. Open Source Softw. 2019, 4, 1686. [Google Scholar] [CrossRef]
  27. Bates, D.; Mächler, M.; Bolker, B.; Walker, S. Fitting Linear Mixed-Effects Models Using Lme4. J. Stat. Softw. 2015, 67. [Google Scholar] [CrossRef]
  28. Korner-Nievergelt, F.; Roth, T.; von Felten, S.; Guelat, J.; Almasi, B.; Korner-Nievergelt, P. Bayesian Data Analysis in Ecology Using Linear Models with R, BUGS and Stan; 1st ed.; Elsevier, 2015; ISBN 978-0-12-801370- 0.
  29. Gelman, A.; Su, Y.-S. Arm: Data Analysis Using Regression and Multilevel/Hierarchical Models 2021.
  30. Amrhein, V.; Greenland, S. Discuss Practical Importance of Results Based on Interval Estimates and p -Value Functions, Not Only on Point Estimates and Null p -Values. J. Inf. Technol. 2022, 37, 316–320. [Google Scholar] [CrossRef]
  31. Weppler, T.; Suter, W. Forest regeneration at high densities of wild ungulates in Val Trupchun (Swiss National Park) between 1991/1992 and 2003,. Ungulate Res. Swiss Natl. Park Natpark-Forsch Schweiz 93 Res. Comm. Swiss Natl. Park Pp 213–235 2006, 29.
  32. Brüllhardt, M.; Risch, A.C.; Filli, F.; Haller, R.M.; Schütz, M. Spatiotemporal Dynamics of Natural Tree Regeneration in Unmanaged Subalpine Conifer Forests with High Wild Ungulate Densities. Can. J. For. Res. 2015, 45, 607–614. [Google Scholar] [CrossRef]
  33. Camenisch, M.; Schütz, M. Temporal and Spatial Variability of the Vegetation in a Four-Year Exclosure Experiment in Val Trupchun (Swiss National Park). 2000, 24.
  34. Kupferschmid, A.D.; Wasem, U.; Bugmann, H. Light Availability and Ungulate Browsing Determine Growth, Height and Mortality of Abies Alba Saplings. For. Ecol. Manag. 2014, 318, 359–369. [Google Scholar] [CrossRef]
  35. Kienast, F.; Fritschi, J.; Bissegger, M.; Abderhalden, W. Modeling Successional Patterns of High-Elevation Forests under Changing Herbivore Pressure – Responses at the Landscape Level. For. Ecol. Manag. 1999, 120, 35–46. [Google Scholar] [CrossRef]
  36. Meyer, D.L.; Filli, F. Sommer- und Wintereinstandsgebiete von weiblichen Rothirschen Cervus elaphus im Schweizerischen Nationalpark. 2006, 26.
  37. Rempfler, T. Where Do Red Deer Come from and Where Do They Go? In Proceedings of the 6th Symposium for Research in Protected Areas; Salzburg; 2017; pp. 529–530. [Google Scholar]
  38. Häsler, H.; Senn, J. Ungulate Browsing on European Silver Fir Abies Alba : The Role of Occasions, Food Shortage and Diet Preferences. Wildl. Biol. 2012, 18, 67–74. [Google Scholar] [CrossRef] [PubMed]
  39. Anderwald, P.; Campell Andri, S.; Palme, R. Reflections of Ecological Differences? Stress Responses of Sympatric Alpine Chamois and Red Deer to Weather, Forage Quality, and Human Disturbance. Ecol. Evol. 2021, 11, 15740–15753. [Google Scholar] [CrossRef]
  40. Amt Für Jagd Und Fischerei Graubünden Available online:. Available online: https://www.gr.ch/DE/institutionen/verwaltung/diem/ajf/grossraubtiere/Documents/Jahresbericht%20Wolf%20GR%202020.pdf (accessed on 6 March 2023).
  41. Anderwald, P.; Herfindal, I.; Haller, R.M.; Risch, A.C.; Schütz, M.; Schweiger, A.K.; Filli, F. Influence of Migratory Ungulate Management on Competitive Interactions with Resident Species in a Protected Area. Ecosphere 2015, 6, art228. [Google Scholar] [CrossRef]
Figure 1. Study area in the Swiss National Park. The black line is the border of Switzerland; the red line is the border of the Swiss National Park, and yellow dots are sampling plots used in this study. Background maps ©swisstopo.
Figure 1. Study area in the Swiss National Park. The black line is the border of Switzerland; the red line is the border of the Swiss National Park, and yellow dots are sampling plots used in this study. Background maps ©swisstopo.
Preprints 70043 g001
Figure 2. Adjustment of a horizontal circle to a slope gives an ellipse. For more convenient data collection in the field, the ellipse was converted to a circular area. The slope (α) was measured in degrees and the adjusted radius of the circular area was calculated using the following formula by Kramer & Akça [22]: radjusted = r / ( c o s α   ) .
Figure 2. Adjustment of a horizontal circle to a slope gives an ellipse. For more convenient data collection in the field, the ellipse was converted to a circular area. The slope (α) was measured in degrees and the adjusted radius of the circular area was calculated using the following formula by Kramer & Akça [22]: radjusted = r / ( c o s α   ) .
Preprints 70043 g002
Figure 4. Number of saplings (left) and young trees (right) per sampling plot split by northeast-exposed (blue) and southwest-exposed slope (brown) of Val Trupchun. Saplings include developmental stages 1 to 6, and young trees include developmental stages 7 to 9 (Table 2). Medians are calculated per sampling plot including the forest inventory data of sampling plots that were surveyed in all four sampling years (northeast-exposed slope: n = 108 plots, southwest-exposed slope: n = 60 plots). The sampling year 1991 is not included for young trees (Table 3).
Figure 4. Number of saplings (left) and young trees (right) per sampling plot split by northeast-exposed (blue) and southwest-exposed slope (brown) of Val Trupchun. Saplings include developmental stages 1 to 6, and young trees include developmental stages 7 to 9 (Table 2). Medians are calculated per sampling plot including the forest inventory data of sampling plots that were surveyed in all four sampling years (northeast-exposed slope: n = 108 plots, southwest-exposed slope: n = 60 plots). The sampling year 1991 is not included for young trees (Table 3).
Preprints 70043 g004
Figure 6. Probability of browsing of cembra pine (green), spruce (brown) and larch (golden; left) in developmental stage 3, and browsing probability of larch in developmental stage 2 to 5 (right; see Table 2). Dots are point estimates and black lines are 95% compatibility intervals of the probability of browsing.
Figure 6. Probability of browsing of cembra pine (green), spruce (brown) and larch (golden; left) in developmental stage 3, and browsing probability of larch in developmental stage 2 to 5 (right; see Table 2). Dots are point estimates and black lines are 95% compatibility intervals of the probability of browsing.
Preprints 70043 g006
Figure 7. Probability of browsing for each topographic and location predictor based on the binomial generalized linear mixed-effects model. Dots represent the proportion of browsed trees of the same species in the same developmental stage per sampling plot and sampling year (n = 1808 dots). Shaded areas are 95% compatibility intervals of the probability of browsing for larches in developmental stage 3, taking the other predictors into account. The point estimates and compatibility intervals of cembra pine and spruce and of their developmental stages would be parallel at different heights according to Figure 6 (left and right).
Figure 7. Probability of browsing for each topographic and location predictor based on the binomial generalized linear mixed-effects model. Dots represent the proportion of browsed trees of the same species in the same developmental stage per sampling plot and sampling year (n = 1808 dots). Shaded areas are 95% compatibility intervals of the probability of browsing for larches in developmental stage 3, taking the other predictors into account. The point estimates and compatibility intervals of cembra pine and spruce and of their developmental stages would be parallel at different heights according to Figure 6 (left and right).
Preprints 70043 g007
Table 1. Sample sizes per sampling year.
Table 1. Sample sizes per sampling year.
Year Total number of plots sampled Consecutive plots1 from all previous years
Plots on northeast-exposed slope Plots on southwest-exposed slope Total Plots on northeast-exposed slope Plots on southwest-exposed slope Total
1991 153 74 227 153 74 227
2003 122 83 205 120 67 187
2011 120 87 207 111 66 177
2021 123 79 202 108 60 168
1plots that were surveyed in all previous sampling years.
Table 2. Developmental stages of saplings and young trees.
Table 2. Developmental stages of saplings and young trees.
Developmental stages
Saplings Height
1 Germ bud
2 0 – 9.99 cm
3 10 – 39.99 cm
4 40 – 69.99 cm
5 70 – 99.99 cm
6 100 – 129.99 cm
Young trees Diameter
7 130 cm height – 7.99 cm breast height diameter (BHD)
8 8 – 15.99 cm BHD
9 16 – 24 cm BHD
Table 3. Differences in sampling design in 1991 and how they were addressed in the visualizations.
Table 3. Differences in sampling design in 1991 and how they were addressed in the visualizations.
Developmental stages
Standardized Method 1991 Dealing with difference
See Table 2 Developmental stages 5 and 6 were combined into one developmental stage Visualization of a developmental stage 5.5 that includes the number of trees from developmental stage 5 and 6
Count data of young trees
Standardized Method 1991 Dealing with difference
Young trees and their trunk damage are assessed within an 8-m radius Young trees and their trunk damage were assessed within a 4-m radius Exclusion of the data on young trees and trunk damage collected in 1991
Slope correction
Standardized Method 1991 Dealing with difference
Adaption of the horizontal radius to the slope No slope correction Extrapolation of the counted number of trees to the radius that is slope-corrected and rounding to integers
Table 4. Predictors of the probability of browsing and the correlation expected a priori, as well as the reasoning behind that expectation.
Table 4. Predictors of the probability of browsing and the correlation expected a priori, as well as the reasoning behind that expectation.
Predictor Correlation expected a priori Reason
Tree species From the literature, we know that wild ungulates have different preferences for spruce and larch [25].
Cembra pine Least browsed
Spruce Medium browsed
Larch Most browsed
Developmental stage Unclear Wild ungulates might prefer some developmental stages over others.
Topography
Elevation Positive Meadows, which are the preferred foraging grounds of wild ungulates, are mostly at high elevations above the tree line.
Aspect
Eastness Unclear Sampling plots are differently exposed to wind due to their east-west exposition.
Northness Positive South-exposed sampling plots are exposed to high solar radiation, meaning challenging conditions for ungulates in summer.
Slope Negative Red deer, the ungulate species with the highest density in Val Trupchun, are better adapted to flatter terrain.
Location factors per sampling plot
Total number of trees Positive A high number of trees represent extensive foraging grounds for wild ungulates.
Average developmental stage Unclear The developmental stage of the surrounding saplings may have an influence on the browsing probability.
Shannon index Positive A high diversity of saplings represents different important nutrients and minerals.
Distance to next hiking trail Positive Wild ungulates avoid human presence.
Distance to next meadow Positive Meadows are the main and preferred foraging grounds of wild ungulates.
Table 5. Transformations of the predictors of the binomial generalized linear mixed-effects model.
Table 5. Transformations of the predictors of the binomial generalized linear mixed-effects model.
Predictor Data type Unit Transformation
Tree species Factor -
Developmental stage Ordered factor -
Topography
Elevation Numeric m a.s.l. Centered and scaled
Aspect
Eastness Numeric Centered and scaled
Northness Numeric Centered and scaled
Slope Numeric % Centered and scaled
Location
Total number of trees Numeric log-transformed, centered and scaled
Average developmental stage Numeric Centered and scaled
Shannon index Numeric Centered and scaled
Distance to next hiking trail Numeric m log-transformed, centered and scaled
Distance to next meadow Numeric m log(+1)-transformed, centered and scaled
Disclaimer/Publisher’s Note: The statements, opinions and data contained in all publications are solely those of the individual author(s) and contributor(s) and not of MDPI and/or the editor(s). MDPI and/or the editor(s) disclaim responsibility for any injury to people or property resulting from any ideas, methods, instructions or products referred to in the content.
Copyright: This open access article is published under a Creative Commons CC BY 4.0 license, which permit the free download, distribution, and reuse, provided that the author and preprint are cited in any reuse.
Prerpints.org logo

Preprints.org is a free preprint server supported by MDPI in Basel, Switzerland.

Subscribe

Disclaimer

Terms of Use

Privacy Policy

Privacy Settings

© 2026 MDPI (Basel, Switzerland) unless otherwise stated