Submitted:
06 March 2023
Posted:
07 March 2023
You are already at the latest version
Abstract
Keywords:
1. Introduction
2. Structures of the proposed HSC-PCF
3. Related theories and principles
3.1. The introduction of FDTD simulation
3.2. Principles and formulas
4. Effect of parameters
4.1. Fundamental optical field distribution of proposed HSC-PCF
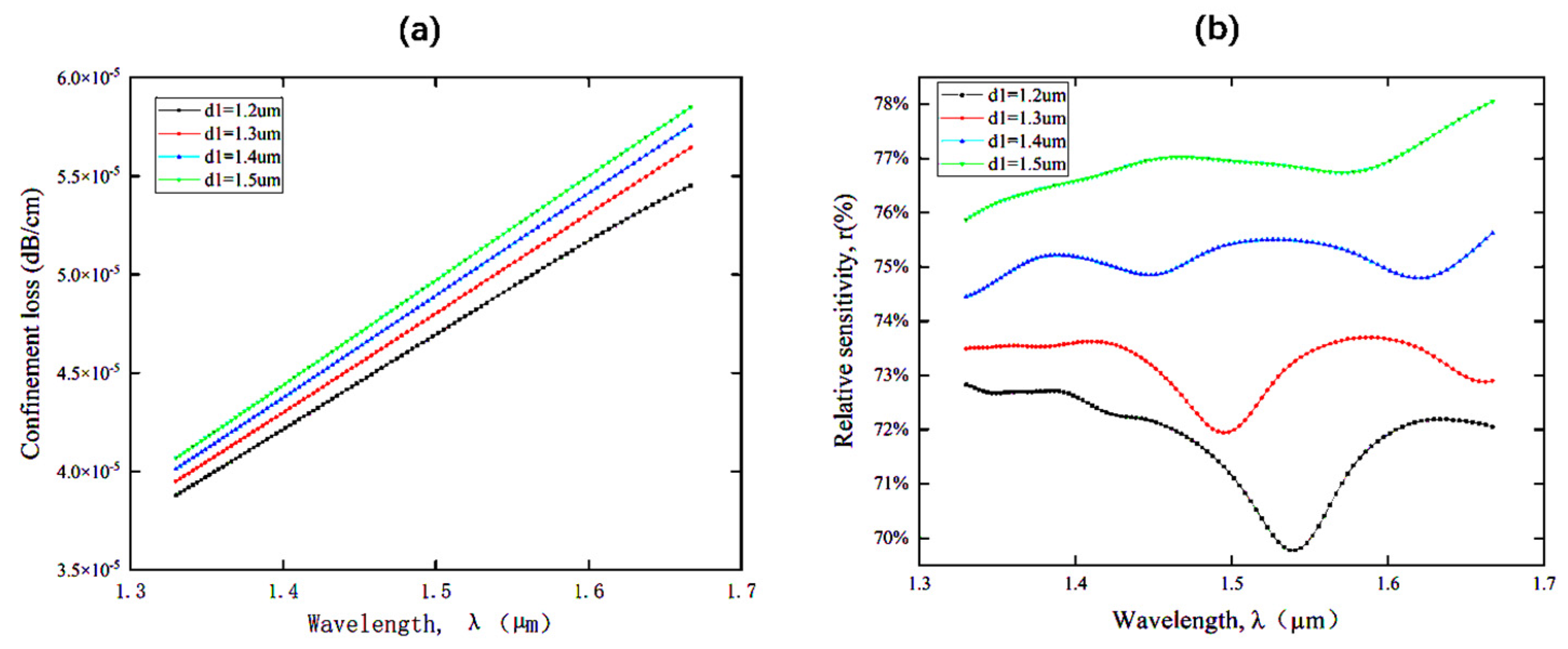
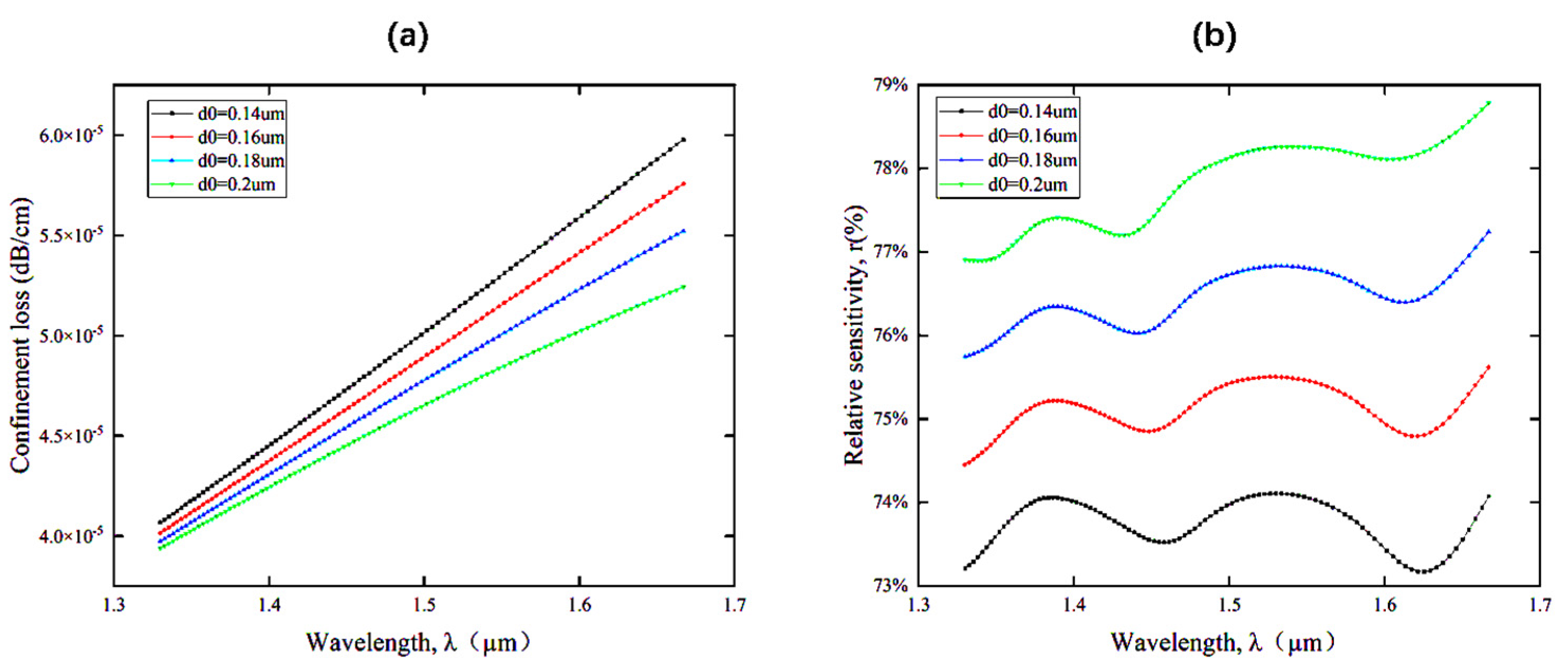
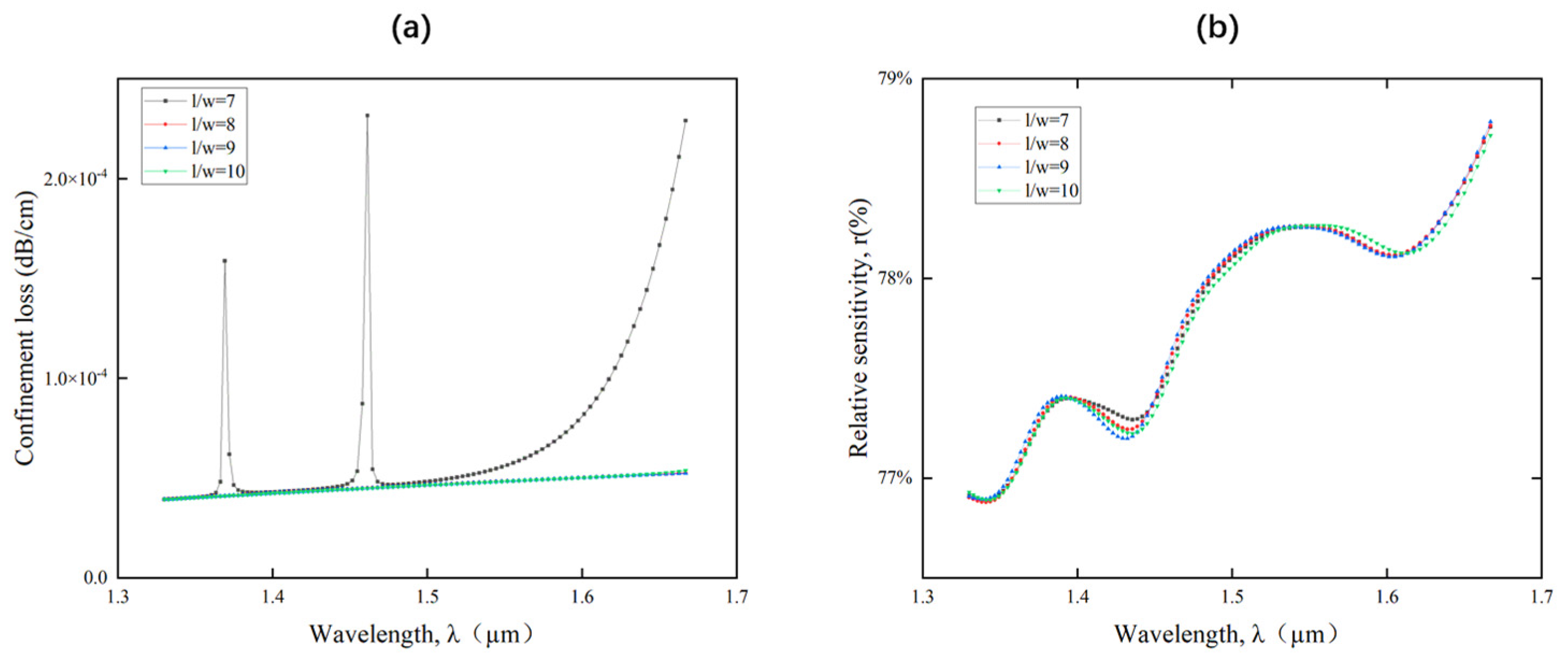
4.2. Variation of the confinement loss and the relative sensitivity with wavelength for different values of d1, d0 and l/w
5. Characteristic analysis
5.1. Gas sensing characteristics
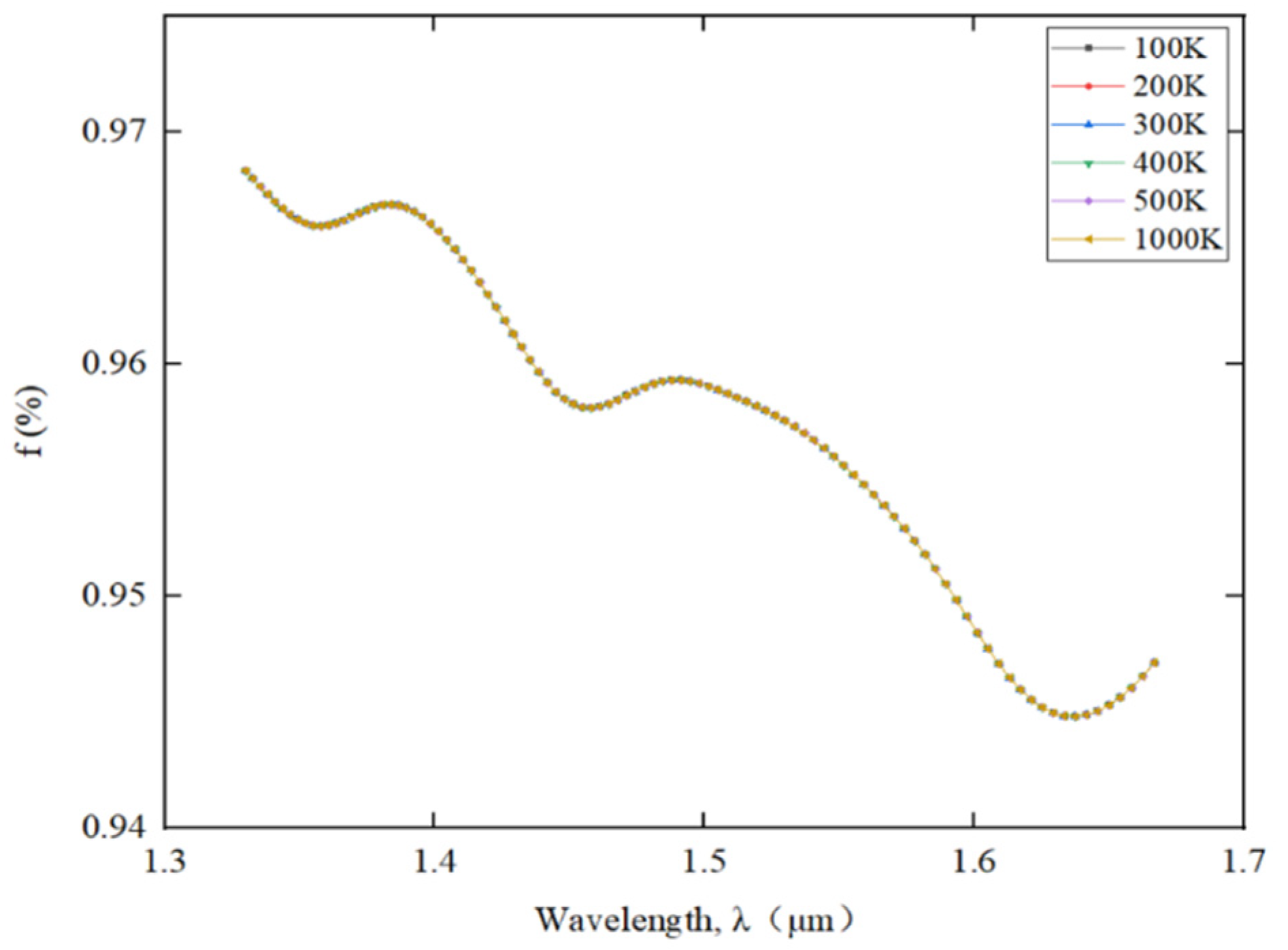
5.2. Temperature resistance characteristics
5.3. Comparison of different structural characteristics

6. Conclusion
Funding
Data Availability Statement
Acknowledgments
Conflicts of Interest
References
- P. Russell, “Photonic Crystal Fibres,” Science 299(5605), 358–362 (2003). [CrossRef]
- Monir Morshed, Md. Imran Hassan, Tusher Kanti Roy, Muhammad Shahin Uddin, and S. M. Abdur Razzak, “Microstructure core photonic crystal fiber for gas sensing applications,” Appl. Opt. 54(29), 8637-8643(2015). [CrossRef]
- Aryan Abbaszadeh, Somayeh Makouei, and Saeed Meshgini, “A new photonic crystal fiber gas sensor with a hexagonal microstructure core suitable for a wide range of wavelengths,” J. Optoelectron. Adv. Mater. 23(11-12), 521-529(2021).
- Aryan Abbaszadeh, Somayeh Makouei, and Saeed Meshgini, “Ammonia gas detection using photonic crystal fiber with elliptical holes,” Opt. Eng. (Bellingham, WA, U. S.) 60(7), 077105(2021). [CrossRef]
- Amin Molaei Fard, Mohammad Javadian Sarraf, and Farzan Khatib, “Design and optimization of index guiding photonic crystal fiber-based gas sensor,” Optik 232, 166448(2021). [CrossRef]
- M. S. Habib, M. S. Habib, S. A. Razzak, and M. A. Hossain, “Proposal for highly birefringent broadband dispersion compensating octagonal photonic crystal fiber,” Opt. Fiber Technol. 19, 461–467 (2013). [CrossRef]
- Md. Ibadul Islam, Maksuda Khatun, Shuvo sen, Kawsar Ahmed, and Sayed Asaduzzaman, “Spiral Photonic Crystal Fiber for Gas Sensing Application,” in 9th International Conference on Electrical and Computer Engineering, Dhaka, Bangladesh, 238-242(2016). [CrossRef]
- Ahmed Saber, H. Rabee, Mohamed Farhat O. Hameed, Ahmed M. Heikal, S.S.A. Obayya, “Highly sensitive photonic crystal fiber gas sensor,” Optik 188,78-86(2019). [CrossRef]
- Aryan Abbaszadeh, Somayeh Makouei, and Saeed Meshgini, “New hybrid photonic crystal fiber gas sensor with high sensitivity for ammonia gas detection,” Can. J. Phys. 100, 129-137 (2022). [CrossRef]
- Md. Faizul Huq Arif, Kawsar Ahmed and Sayed Asaduzzaman, “A Comparative Analysis of Two Different PCF Structures for Gas Sensing Application,” in 3rd International Conference on Advances in Electrical Engineering, Dhaka, Bangladesh, 247-250(2015). [CrossRef]
- Sawrab Chowdhury, Shuvo Sen, Kawsar Ahmed, and Sayed Asaduzzaman, “Design of highly sensible porous shaped photonic crystal fiber with strong confinement field for optical sensing,” Optik 142, 541-549 (2017). [CrossRef]
- Gyan Prakash Mishra, Dharmendra Kumar, Vijay Shanker Chaudhary, and Santosh Kumar, “Design and Sensitivity Improvement of Microstructured-Core Photonic Crystal Fiber Based Sensor for Methane and Hydrogen Fluoride Detection,” IEEE Sens. J. 22, 1265-1272 (2022). [CrossRef]
- Hassan Arman and Saeed Olyaee, “Realization of low confinement loss acetylene gas sensor by using hollow-core photonic bandgap fiber,” Opt. Quantum Electron. 53:328 (2021). [CrossRef]
- W. Reeves, J. Knight, P. Russell, and P. Roberts, “Demonstration of ultra-flattened dispersion in photonic crystal fibers,” Opt. Express 10(14), 609–613 (2002). [CrossRef]
- M. S. Habib, M. S. Habib, M. I. Hasan, and S. A. Razzak, “A single mode ultra-flat high negative residual dispersion compensating photonic crystal fiber,” Opt. Fiber Technol. 20, 328–332 (2014). [CrossRef]
- A. Ortigosa-Blanch, J. Knight, W. Wadsworth, J. Arriaga, B. Mangan, T. Birks, and P. S. J. Russell, “Highly birefringent photonic crystal fibers,” Opt. Lett. 25, 1325–1327 (2000). [CrossRef]
- H. Ebendorff-Heidepriem, P. Petropoulos, S. Asimakis, V. Finazzi, R. Moore, K. Frampton, F. Koizumi, D. Richardson, and T. Monro, “Bismuth glass holey fibers with high nonlinearity,” Opt. Express 12(21), 5082–5087 (2004). [CrossRef]
- Jiajie Zhu, Pengyu Nan, Kok-Sing Lim, Xin Liu, Wenjie Dang, Zeren Li, Jinxiao Dan, Hangting Yang, Harith Ahmad, and Hangzhou Yang, “Double F-P Interference Optical Fiber High Temperature Gas Pressure Sensor Based on Suspended Core Fiber,” IEEE Sens. J. 21(23), 26805-26813 (2021). [CrossRef]
- Mingran Quan, Jiajun Tian, and Yong Yao, “Ultra-high sensitivity Fabry–Perot interferometer gas refractive index fiber sensor based on photonic crystal fiber and Vernier effect,” Opt. Lett. 40(21), 4891-4894 (2015). [CrossRef]
- S. Zheng, B. Shan, M. Ghandehari, and J. Ou, “Sensitivity characterization of cladding modes in long–period gratings photonic crystal fiber for structural health monitoring,” Measurement 72, 43–51 (2015). [CrossRef]
- A.M. Cubillas, S. Unterkofler, T.G. Euser, B.J. Etzold, A.C. Jones, P.J. Sadler, and P.S.J. Russell, “Photonic crystal fibres for chemical sensing and photochemistry,” Chem. Soc. Rev. 42 (22), 8629–8648 (2013). [CrossRef]
- Bowei Wan, Lianqing Zhu, Xin Ma, Tianshu Li, and Jian Zhang, “Characteristic Analysis and Structural Design of Hollow-Core Photonic Crystal Fibers with Band Gap Cladding Structures,” Sensors 21, 284 (2021). [CrossRef]
- G. A. Cárdenas-Sevilla, V. Finazzi, J. Villatoro, and V. Pruneri, “Photonic crystal fiber sensor array based on modes overlapping,” Opt. Express 19(8), 7596–7602 (2011). [CrossRef]
- K. Grattan and T. Sun, “Fiber optic sensor technology: an overview,” Sens. Actuators A 82, 40–61 (2000). [CrossRef]
- J. Park, S. Lee, S. Kim, and K. Oh, “Enhancement of chemical sensing capability in a photonic crystal fiber with a hollow high index ring defect at the center,” Opt. Express 19(3), 1921–1929 (2011). [CrossRef]
- Saeed OLYAEE and Alieh NARAGHI, “Design and optimization of index-guiding photonic crystal fiber gas sensor,” Photon. Sens. 3(2), 131–136 (2013). [CrossRef]
- Zhang Zhi-guo, Zhang Fang-di, Zhang Min, and Ye Pei-da, “Gas sensing properties of index-guided PCF with air-core,” Opt. Laser Technol. 40, 167–174 (2008). [CrossRef]
- Y.L. Hoo, W. Jin, J. Ju, and H.L. Ho, “Numerical investigation of a depressed-index core photonic crystal fiber for gas sensing,” Sens. Actuators, B 139, 460–465 (2009). [CrossRef]
- S. Asaduzzaman, K. Ahmed, and B. K. Paul, “Slotted-core photonic crystal fiber in gas sensing application,” Proc. SPIE. 10025, 100250O (2016). [CrossRef]
- Md. Shadidul Islam, Bikash Kumar Paul, Kawsar Ahmed, and Sayed Asaduzzaman, “Rhombic core photonic crystal fiber for sensing applications: Modeling and analysis,” Optik 157, 1357-1365 (2018). [CrossRef]
- G. Ghosh, “Sellmeier coefficients and dispersion of thermo-optic coefficients for some optical glasses,” Appl. Opt. 36 (7), 1540 (1997). [CrossRef]
- Qiu M, “Analysis of guided modes in photonic crystal fibers using the finite-difference time-domain method,” Microw Opt Technol Lett, 30 (5), 327-330 (2001). [CrossRef]
- Yu C P and Chang H C, “Yee-mesh-based finite difference eigenmode solver with PML absorbing boundary conditions for optical waveguides and photonic crystal fibers,” Opt. Express, 12 (25), 6165-6177 (2004). [CrossRef]
- S. Olyaee, A. Naraghi, and V. Ahmadi, “High sensitivity evanescentfield gas sensor based on modified photonic crystal fiber for gas condensate and air pollution monitoring,” Optik 125, 596–600 (2014). [CrossRef]
- K. Saitoh and M. Koshiba, “Leakage loss and group velocity dispersion in air-core photonic bandgap fibers,” Opt. Express 11(23), 3100–3109 (2003). [CrossRef]
- K. Ahmed, M. Morshed, S. Asaduzzaman, and M.F.H. Arif, “Optimization and enhancement of liquid analyte sensing performance based on square-cored octagonal photonic crystal fiber,” Opt. Int. J. Light Electron Opt. 131 (1), 687–696 (2017). [CrossRef]
- M. Morshed, M.I. Hasan, and S.A. Razzak, “Enhancement of the sensitivity of gas sensor based on microstructure optical fiber,” Photonic Sens. 5 (4), 312–320 (2015). [CrossRef]
- K. Ahmed and M. Morshed, “Design and numerical analysis of micro structured-core octagonal photonic crystal fiber for sensing applications,” Sens. Bio-Sens. Res. 7, 1-6 (2016). [CrossRef]
- H. Ademgil, “Highly sensitive octagonal photonic crystal fiber based sensor,” Opt. Int. J. Light Electron Opt. 125 (20) 6274–6278 (2014). [CrossRef]
- H. Ademgil, “Highly birefringent large mode area photonic crystal fiber-based sensor for interferometry applications,” Mod. Phys. Lett. B 30 (36) 1650422 (2016). [CrossRef]







| Gas | Absorption Wavelength (µm) | Line Strength (cm−2atm−1) |
|---|---|---|
| Acetylene (C2H2) | 1.533 | |
| Ammonia (NH3) | 1.544 | |
| Carbon monoxide (CO) | 1.567 | |
| Carbon dioxide (CO2) | 1.573 | |
| Hydrogen sulfide (H2S) | 1.578 | |
| Methane (CH4) | 1.667, 1.33 | |
| Hydrogen fluoride (HF) | 1.33 | |
| Water (H2O) | 1.365 | |
| Nitrogen dioxide (NO2) | 0.800 | |
| Oxygen (O2) | 0.761 |
Disclaimer/Publisher’s Note: The statements, opinions and data contained in all publications are solely those of the individual author(s) and contributor(s) and not of MDPI and/or the editor(s). MDPI and/or the editor(s) disclaim responsibility for any injury to people or property resulting from any ideas, methods, instructions or products referred to in the content. |
© 2023 by the authors. Licensee MDPI, Basel, Switzerland. This article is an open access article distributed under the terms and conditions of the Creative Commons Attribution (CC BY) license (http://creativecommons.org/licenses/by/4.0/).