Submitted:
21 February 2023
Posted:
28 February 2023
You are already at the latest version
Abstract
Keywords:
1. Introduction
2. Model
3. The endoreversible Otto cycle
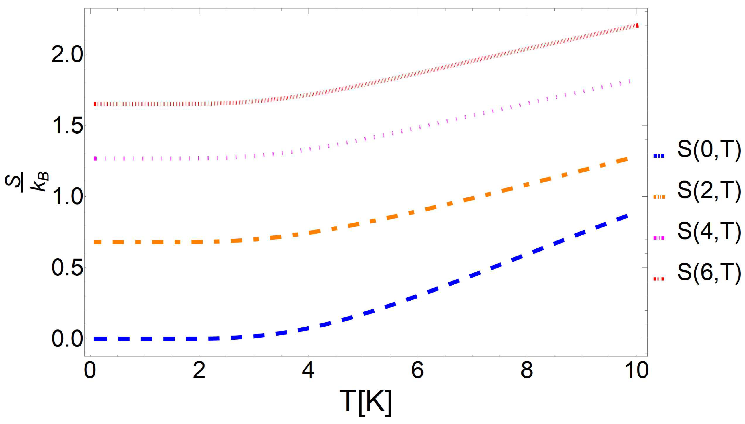
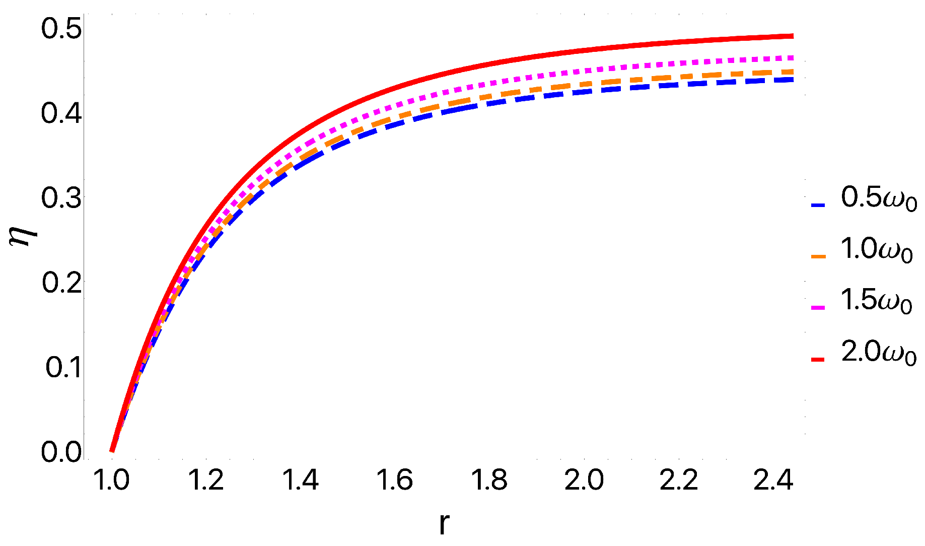
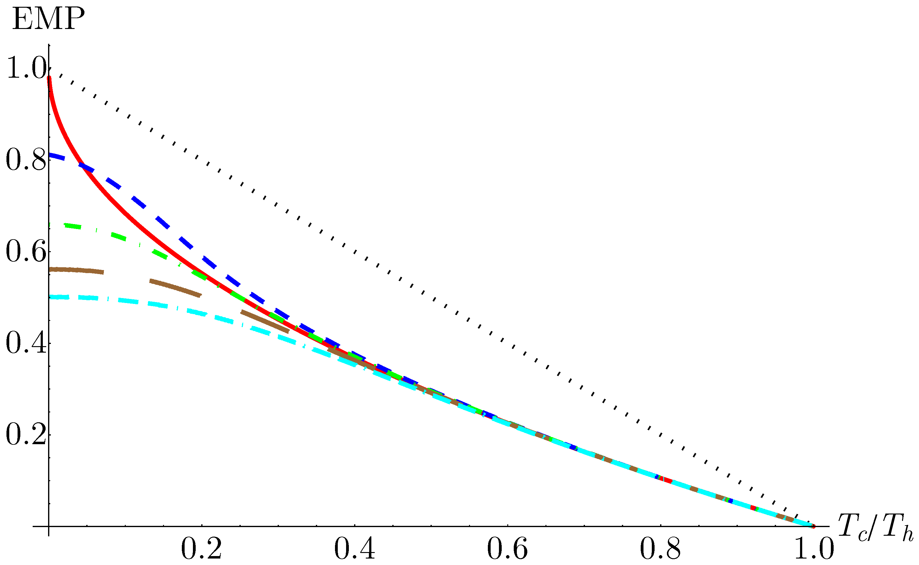
4. Results and Discussions
5. Conclusions
Author Contributions
Acknowledgments
Conflicts of Interest
References
- Myers, N.M.; Abah, O.; Deffner, S. Quantum thermodynamic devices: From theoretical proposals to experimental reality. AVS Quantum Sci. 2022, 4, 027101. [Google Scholar] [CrossRef]
- Kosloff, R.; Levy, A. Quantum Heat Engines and Refrigerators: Continuous Devices. Annu. Rev. Phys. Chem. 2014, 65, 365. [Google Scholar] [CrossRef]
- Quan, H.T.; Liu, Y.-X.; Sun, C.P.; Nori, F. Quantum thermodynamic cycles and quantum heat engines. Phys. Rev. E 2007, 76, 031105. [Google Scholar] [CrossRef]
- Quan, H.T. Quantum thermodynamic cycles and quantum heat engines. II. Phys. Rev. E 2007, 79, 041129. [Google Scholar] [CrossRef]
- Bhattacharjee, S.; Dutta, A. Quantum thermal machines and batteries. EPJ B 2021, 94, 239. [Google Scholar] [CrossRef]
- Chen, J.-F.; Sun, C.-P.; Dong, H. Boosting the performance of quantum Otto heat engines. Phys. Rev. E 2019, 100, 032144. [Google Scholar] [CrossRef]
- Myers, N.M.; Abah, O.; Deffner, S. Quantum Otto engines at relativistic energies. New J. Phys. 2021, 23, 105001. [Google Scholar] [CrossRef]
- de Assis, R.J.; de Mendonça, T.M.; Villas-Boas, C.J.; de Souza, A.M.; Sarthour, R.S.; Oliveira, I.S.; de Almeida, N.G. Efficiency of a Quantum Otto Heat Engine Operating under a Reservoir at Effective Negative Temperatures. Phys. Rev. Lett. 2019, 122, 240602. [Google Scholar] [CrossRef] [PubMed]
- Yin, Y.; Chen, L.; Wu, F. Optimal power and efficiency of quantum Stirling heat engines. EPJ Plus 2017, 132, 45. [Google Scholar] [CrossRef]
- Raja, S.H.; Maniscalco, S.; Paraoanu, G.S.; Pekola, J.P.; Lo Gullo, N. Finite-time quantum Stirling heat engine. New J. Phys. 2021, 23, 033034. [Google Scholar] [CrossRef]
- Peterson, J.P.S.; Batalhão, T.B.; Herrera, M.; Souza, A.M.; Sarthour, R.S.; Oliveira, I.S.; Serra, R.M. Experimental Characterization of a Spin Quantum Heat Engine. Phys. Rev. Lett. 2019, 123, 240601. [Google Scholar] [CrossRef] [PubMed]
- Çakmak, B.; Müstecaplıoğlu, Ö. Spin quantum heat engines with shortcuts to adiabaticity. Phys. Rev. E 2019, 99, 032108. [Google Scholar] [CrossRef] [PubMed]
- Ji, W.; Chai, Z.; Wang, M.; Guo, Y.; Rong, X.; Shi, F.; Ren, C.; Wang, Y.; Du, J. Spin Quantum Heat Engine Quantified by Quantum Steering. Phys. Rev. Lett. 2022, 128, 090602. [Google Scholar] [CrossRef] [PubMed]
- Geva, E.; Kosloff, R. A quantum-mechanical heat engine operating in finite time. A model consisting of spin-1/2 systems as the working fluid. J. Chem. Phys. 1992, 96, 3054–3067. [Google Scholar] [CrossRef]
- Henrich, M.J.; Rempp, F.; Mahler, G. Quantum thermodynamic Otto machines: A spin-system approach. Eur Phys. J. Spec. Top . 2007, 151, 157–165. [Google Scholar] [CrossRef]
- Josefsson, M.; Svilans, A.; Burke, A.M.; Hoffmann, E.A.; Fahlvik, S.; Thelander, C.; Leijnse, M.; Linke, H. A quantum-dot heat engine operating close to the thermodynamic efficiency limits. Nat. Nanotechnol. 2018, 13, 920. [Google Scholar] [CrossRef] [PubMed]
- Erdman, P.A.; Mazza, F.; Bosisio, R.; Benenti, G.; Fazio, R.; Taddei, F. Thermoelectric properties of an interacting quantum dot based heat engine. Phys. Rev. B 2017, 95, 245432. [Google Scholar] [CrossRef]
- Kosloff, R.; Rezek, Y. The Quantum Harmonic Otto Cycle. Entropy 2017, 19, 136. [Google Scholar] [CrossRef]
- Deffner, S. Efficiency of Harmonic Quantum Otto Engines at Maximal Power. Entropy 2019, 11, 875. [Google Scholar] [CrossRef]
- Ding, X.; Yi, J.; Kim, Y.W.; Talkner, P. Measurement-driven single temperature engine. Phys. Rev. E 2019, 98, 042122. [Google Scholar] [CrossRef]
- Abah, O.; Rossnagel, J.; Jacob, G.; Deffner, S.; Schmidt-Kaler, F.; Singer, K.; Lutz, E. Single-ion heat engine at maximum power. Phys. Rev. Lett. 2012, 109, 203006. [Google Scholar] [CrossRef] [PubMed]
- Myers, N.M.; Deffner, S. Bosons outperform fermions: The thermodynamic advantage of symmetry. Phys. Rev. E 2019, 101, 012110. [Google Scholar] [CrossRef] [PubMed]
- Shi, Y.-H.; Shi, H.-L.; Wang, X.-H.; Hu, M.-L.; Liu, S.-Y.; Yang, W.-L.; Fan, H. Quantum coherence in a quantum heat engine. J. Phys. A: Math. Theor. 2020, 53, 085301. [Google Scholar] [CrossRef]
- Altintas, F; Hardal, A.Ü.C.; Müstecaplıoğlu, Ö. Rabi model as a quantum coherent heat engine: From quantum biology to superconducting circuits. Phys. Rev. A 2015, 91, 023816. [Google Scholar] [CrossRef]
- Rahav, S; Harbola, U.; Mukamel, S. Heat fluctuations and coherences in a quantum heat engine. Phys. Rev. A 2012, 86, 043843. [Google Scholar] [CrossRef]
- Barrios, G.A.; Albarrán-Arriagada, F.; Cárdenas-López, F.A.; Romero, G.; Retamal, J.C. Role of quantum correlations in light-matter quantum heat engines. Phys. Rev. A 2017, 96, 052119. [Google Scholar] [CrossRef]
- Altintas, F.; Hardal, A.Ü.C.; Müstecaplıoğlu, Ö. Quantum correlated heat engine with spin squeezing. Phys. Rev. E 2014, 90, 032102. [Google Scholar] [CrossRef] [PubMed]
- Park, J.J.; Kim, K.-H.; Sagawa, T.; Kim, S.W. Heat Engine Driven by Purely Quantum Information. Phys. Rev. Lett. 2014, 111, 230402. [Google Scholar] [CrossRef]
- Hamman, K.; Leitch, H.; Hassouni, Y.; De Chiara, G. Exploiting coherence for quantum thermodynamic advantage. arXiv 2022, arXiv:2202.07515. [Google Scholar]
- Jaramillo, J.; Beau, M.; del Campo, A. Quantum supremacy of many-particle thermal machines. New J. Phys. 2016, 18, 075019. [Google Scholar] [CrossRef]
- Rossnagel, J.; Dawkins, S.T.; Tollazi, K.N.; Abah, O.; Lutz, E.; Schmidt-Kaler, F.; Singer, K. A single-atom heat engine. Science 2016, 352, 6283. [Google Scholar] [CrossRef] [PubMed]
- Koch, J.; Menon, K.; Cuestas, E.; Barbosa, S.; Lutz, E.; Fogarty, T.; Busch, T.; Widera, A. Making statistics work: a quantum engine in the BEC-BCS crossover. arXiv 2022, arXiv:2209.14202. [Google Scholar]
- Staring, A.A.M.; Molenkamp, L.W.; Alphenaar, B.W.; Van Houten, H.; Buyk, O.J.A.; Mabesoone, M.A.A.; Beenakker, C.W.J.; Foxon, C.T. Coulomb-blockade oscillations in the thermopower of a quantum dot. EPL 1993, 22, 57. [Google Scholar] [CrossRef]
- Svilans, A.; Leijnse, M.; Linke, H. Experiments on the thermoelectric properties of quantum dots. Comptes Rendus Physique 2016, 17, 1096–1108. [Google Scholar] [CrossRef]
- Esposito, M.; Kawai, R.; Lindenberg, K.; Van den Broeck, C. Quantum-dot Carnot engine at maximum power. Phys. Rev. E 2010, 81, 041106. [Google Scholar] [CrossRef] [PubMed]
- Sothmann, B.; Müttiker, M. Magnon-driven quantum-dot heat engine. EPL 2012, 99, 27001. [Google Scholar] [CrossRef]
- Peña, F.J.; Negrete, O.; Barrios, G.A.; Zambrano, D.; González, A.; Nunez, A.S.; Orellana, P.A.; Vargas, P. Magnetic Otto Engine for an Electron in a Quantum Dot: Classical and Quantum Approach. Entropy 2019, 21, 512. [Google Scholar] [CrossRef] [PubMed]
- Muñoz, E.; Peña, F.J. Magnetically driven quantum heat engine. Phys. Rev. E 2014, 89, 052107. [Google Scholar] [CrossRef] [PubMed]
- Jacak, L.; Hawrylak, P.; Wójs, A. Quantum Dots; Springer-Verlag, 1998. [Google Scholar]
- Chen, H.Y.; Apalkov, V.; Chakraborty, T. Fock-Darwin states of Dirac electrons in graphene-based artificial atoms. Phys. Rev. Lett 2007, 98, 186803. [Google Scholar] [CrossRef]
- McEuen, P.L.; Foxman, E.B.; Meirav, U.; Kastner, M.A.; Meir, Y.; Wingreen, N.S.; Wind, S.J. Transport spectroscopy of a Coulomb island in the quantum Hall regime. Phys. Rev. Lett 1991, 66, 1926. [Google Scholar] [CrossRef]
- Weis, J.; Haug, R.J.; Klitzing, K.V.; Ploog, K. Transport spectroscopy of a confined electron system under a gate tip. Phys. Rev. B 2009, 46, 12837. [Google Scholar] [CrossRef]
- Tarucha, S.; Austing, D.G.; Honda, T.; Van der Hage, R.J.; Kouwenhoven, L.P. Shell filling and spin effects in a few electron quantum dot. Phys. Rev. Lett. 1996, 77, 3613. [Google Scholar] [CrossRef]
- Hoffmann, K.H. An introduction to endoreversible thermodynamics; Thermal theories of continua: survey and developments; 2005. [Google Scholar]
- Andresen, B.; Berry, R.S.; Nitzan, A.; Salamon, P. Thermodynamics in finite time. I. The step-Carnot cycle. Phys. Rev. A 1977, 15, 2086. [Google Scholar] [CrossRef]
- Rubin, M.H. Optimal configuration of a class of irreversible heat engines. I. Phys. Rev. A 1979, 19, 1272. [Google Scholar] [CrossRef]
- Rubin, M.H. Optimal configuration of a class of irreversible heat engines. II. Phys. Rev. A 1979, 19, 1277. [Google Scholar] [CrossRef]
- Hoffmann, H.; Burzler, J.M.; Schubert, S. Endoreversible thermodynamics. J. Non-Equilib. Thermodyn. 1997, 22, 311–355. [Google Scholar]
- Brown, G.R.; Snow, S.; Andresen, B.; Salamon, P. Finite-time thermodynamics of a porous plug. Phys. Rev. A 1986, 34, 4370. [Google Scholar] [CrossRef]
- Jordan, A.N.; Sothmann, B.; Sánchez, R.; Büttiker., M. Powerful and efficient energy harvester with resonant-tunneling quantum dots. Phys. Rev. B 2013, 87, 075312. [Google Scholar] [CrossRef]
- Benenti, G.; Casati, G.; Saito, K.; Whitney, R.S. PFundamental aspects of steady-state conversion of heat to work at the nanoscale. Phys. Rep. 2013, 694, 1–124. [Google Scholar] [CrossRef]
- Muñoz, E.; Barticevic, Z.; Pacheco, M. Electronic spectrum of a two-dimensional quantum dot array in the presence of electric and magnetic fields in the Hall configuration. Phys. Rev. B 2005, 71, 165301. [Google Scholar] [CrossRef]
- Kumar, J.; Sreeram P., A.; Dattagupta, S. Low-temperature thermodynamics in the context of dissipative diamagnetism. Phys. Rev. E 2009, 79, 021130. [Google Scholar] [CrossRef]
- Mani, R.G.; Smet, J.H.; von Klitzing, K.; Narayanamurti, V.; Johnson, W.B.; Umansky, V. Zero-resistance states induced by electromagnetic-wave excitation in GaAs/AlGaAs heterostructures. Nature 2002, 420, 646–650. [Google Scholar] [CrossRef]







Disclaimer/Publisher’s Note: The statements, opinions and data contained in all publications are solely those of the individual author(s) and contributor(s) and not of MDPI and/or the editor(s). MDPI and/or the editor(s) disclaim responsibility for any injury to people or property resulting from any ideas, methods, instructions or products referred to in the content. |
© 2023 by the authors. Licensee MDPI, Basel, Switzerland. This article is an open access article distributed under the terms and conditions of the Creative Commons Attribution (CC BY) license (http://creativecommons.org/licenses/by/4.0/).