Submitted:
15 February 2023
Posted:
20 February 2023
You are already at the latest version
Abstract
Keywords:
1. Introduction
2. Materials and Methods
2.1. Area of Study
2.1. Collecting climate information
2.2. Georeferencing weather stations
2.3. Treatment of climate information
2.4. Covariates, modeling of climatic surfaces and validation
2.5. Comparison with other climatic surfaces for the area of study
2.6. Production of bioclimatic layers
3. Results
3.1. Climate information
3.2. Modeling of climatic surfaces
3.3. Validation of temperature and precipitation surfaces.
3.4. Comparison with other surfaces and production of bioclimatic layers
4. Discussion
4.1. Patterns of the climatic information obtained
4.2. Modeling of climatic surfaces and validation
4.3. Comparison with other models produced for the area of study
4.4. Expectations about the use of bioclimatic layers
5. Conclusions
Supplementary Materials
Author Contributions
Funding
Data Availability Statement
Acknowledgments
Conflicts of Interest
References
- Olalla-Tárraga, M.A. Macroecología: una disciplina de investigación en auge. Ecosistemas 2014, 23(1), 1–3. [Google Scholar] [CrossRef]
- Araujo, M.B.; Peterson, T. Uses and misuses of bioclimatic envelope modeling. Ecol. Soc. Am 2012, 92(7), 1527–1539. [Google Scholar] [CrossRef] [PubMed]
- Title, P.O.; Bemmels, JB. ENVIREM: an expanded set of bioclimatic and topographic variables increases flexibility and improves performance of ecological niche modeling. Ecography 2018, 41, 291–307. [Google Scholar] [CrossRef]
- Bedia, J.; Herrera, S.; Gutierrez, J.M. Dangers of using global bioclimatic datasets for ecological niche modeling. Limitations for future climate projections. Global and Planetary Change 2013, 107, 1–12. [Google Scholar] [CrossRef]
- Peterson, A.T., Soberón, J.; Pearson, R.G., Anderson, R.P.; Martínez-Meyer, E; Nakamura, M. Ecological niches and geographic distributions. In: Monographs in population biology, 1st ed.; Levin, S.A., Horn, H.S., Eds.; Princeton University Press: New York, EEUU, 2011; pp. 1-328.
- Fordham, D.A.; Saltré, F.; Haythorne, S.; Wigley, T.M.L.; Otto-Bliesner, B.L.; Chan, K.C.; Brook, B.W. PaleoView: a tool for generating continuous climate projections spanning the last 21 000 years at regional and global scales. Ecography 2017, 40, 1348–1358. [Google Scholar] [CrossRef]
- Otto-Bliesner, B.L.; Marshall, S.J.; Overpeck, J.T.; Miller, G.H.; Hu, A. Simulating Arctic climate warmth and icefield retreat in the last interglaciation. Science 2006, 311, 1751–1753. [Google Scholar] [CrossRef]
- Morin, X.; Thuiller, W. Comparing Niche- and Process-Based Models to Reduce Prediction Uncertainty in Species Range Shifts under Climate Change. Ecology 2009, 90, 1301–1313. [Google Scholar] [CrossRef]
- Hijmans, R.J.; Graham, C.H. The ability of climate envelope models to predict the effect of climate change on species distributions. Global Change Biol. 2006, 12, 2272–2281. [Google Scholar] [CrossRef]
- Soberón, J.; Peterson, A.T. Interpretation of models of fundamental ecological niches and species’ distributional areas. Biodiversity Informatics 2005, 2, 1–10. [Google Scholar] [CrossRef]
- Araújo, M.B.; Luoto, M. The importance of biotic interactions for modelling species distributions under climate change. Global Ecology and Biogeography 2007, 16, 743–753. [Google Scholar] [CrossRef]
- Téllez-Valdés, O.; Hutchinson, M.A.; Nix, H.A.; Jones, P. Desarrollo de coberturas digitales climáticas para México. In: Cambio Climático. Aproximaciones para el estudio de su efecto en la biodiversidad, 1st ed.; Sanchez-Rojas, G., Ballesteros, B.C., Pavon, N., Eds.; Universidad Autónoma del Estado de Hidalgo, Hidalgo, Mexico, 2011; pp. 67-70.
- Alzate-Velásquez, D.F.; Araujo-Carrillo, G.A.; Rojas-Barbosa, E.O.; Gómez-Latorre, D.A.; Martínez-Maldonado, F.E. Inter-polación Regnie para lluvia y temperatura en las regiones andina, caribe y pacífica de Colombia. Colombia Forestal 2018, 21(1), 102–118. [Google Scholar] [CrossRef]
- Fick, S.E.; Hijmans, R.J. WorldClim 2: new 1km spatial resolution climate surfaces for global land areas. Int. J. Climatol. 2017, 37, 4302–4315. [Google Scholar] [CrossRef]
- Hijmans, R.J.; Cameron, S.E.; Parra, J.L.; Jones, P.G.; Jarvis, A. Very high-resolution interpolated climate surfaces for global land areas. Int. J. Climatol. 2005, 25, 1965–1978. [Google Scholar] [CrossRef]
- De la Casa, A.; Ovando, G. Relación entre la precipitación e índices de vegetación durante el comienzo del ciclo anual de lluvias en la provincia de Córdoba, Argentina. RIA 2006, 35(1), 67–85. [Google Scholar]
- Mattar, C.; Sobrino, J.A.; Wigneron, J.P.; Jiménez-Muñoz, J.C.; Kerr, Y. Estimación de la humedad del suelo a partir de índices de vegetación y microondas pasivas. Rev. de Teledetección 2011, 36, 62–72. [Google Scholar]
- Yarlenque, C.; Posadas, A.; Quiroz, R. Reconstrucción de datos de precipitación pluvial en series de tiempo mediante trans-formadas de wavelet con dos niveles de descomposición, 1st ed.; Centro Internacional de la Papa (CIP): Lima, Perú, 2007; pp. 1–15. [Google Scholar]
- Karger, D.N.; Conrad, O.; Böhner, J.; Kawohl, T.; Kreft, H.; Soria-Auza, R.W.; Zimmermann, N.E.; Linder, H.P.; Kessler, M. Climatologies at high resolution for the earth’s land surface areas. Sci Data 2017, 4, 170122. [Google Scholar] [CrossRef]
- Vega, G.C.; Pertierra, L.R.; Olalla-Tarraga, M.A. MERRAclim, a high-resolution global dataset of remotely sensed bioclimatic variables for ecological modelling. Sci Data 2017, 4, 170078. [Google Scholar] [CrossRef] [PubMed]
- Amiri, M.; Tarkesh, M.; Jafari, R.; Jetschke, G. Bioclimatic variables from precipitation and temperature records vs. remote sensing-based bioclimatic variables: Which side can perform better in species distribution modeling? Ecological informatics 2020, 57, 101060. [Google Scholar] [CrossRef]
- Deblauwe, V.; Droissart, V.; Bose, R.; Sonké, B.; Blach-Overgaard, A.; Svenning, J.C.; Wieringa, J.J.; Ramesh, B.R.; Stévart, T.; Couvreur, T.L.P. Remotely sensed climate data for tropical species distribution models. Global Ecology and Biogeography 2016, 25, 443–454. [Google Scholar] [CrossRef]
- Lujano, E.; Felipe-Obando, O.; Lujano, A.; Quispe, J. Validación de la precipitación estimada por satélite TRMM y su aplicación en la modelación hidrológica del rio Ramis Puno Perú. Rev. Investing. Altoandin. 2015, 17(2), 221–228. [Google Scholar] [CrossRef]
- Cuervo-Robayo, A.P.; Téllez-Valdéz, O.; Gómez-Albores, M.A.; Venegas-Barrera, C.S.; Manjarrez, J.; Martínez-Meyer, E. An update of high-resolution monthly climate surfaces for Mexico. Int. J. Climatol. 2013, 34, 2427–2437. [Google Scholar] [CrossRef]
- Zhang, X.; Alexander, L.; Hegerl, G.C.; Jones, P.; Tank, A.K.; Peterson, T.C.; Trewin, B.; Zwiers, F.W. Indices for monitoring changes in extremes based on daily temperature and precipitation data. WIREs Clim Change 2011, 2, 851–870. [Google Scholar] [CrossRef]
- Aybar, C.; Lavado-Casimiro, W.; Huerta, A.; Fernández, C.; Vega, F.; Sabino, E.; Felipe-Obando, O. 2017. Uso del Producto Grillado “PISCO” de precipitación en Estudios, Investigaciones y Sistemas Operacionales de Monitoreo y Pronóstico Hidrometeorológico, 1st ed.; Servicio Nacional de Meteorología e Hidrología del Perú (SENAMHI): Lima, Perú, 2017; pp. 1–22. [Google Scholar]
- Fernandez, M.; Hamilton, H.; Kueppers, L.M. Characterizing uncertainty in species distribution models derived from interpolated weather station data. Ecosphere 2013, 4(5), 61. [Google Scholar] [CrossRef]
- Soria-Auza, R.W.; Kessler, M.; Bach, K.; Barajas-Barboza, P.; Lehnert, M.; Herzog, S.; Böhner, J. Impact of the quality of climate models for modelling species occurrences in countries with poor climatic documentation: a case study from Bolivia. Ecol. Model. 2010, 221, 1221–1229. [Google Scholar] [CrossRef]
- MINAM (Ministerio del Ambiente). Mapa nacional de ecosistemas del Perú, Memoria Descriptiva, 1st ed.; Ministerio del Ambiente: Lima, Perú, 2019; pp. 1–116. [Google Scholar]
- Moat, J.; Orellana-Garcia, A.; Tovar, C.; Arakaki, M.; Arana, C.; Cano, A.; Faundez, L.; Gardner, M.; Hechenleitner, P.; Hepp, J.; Lewis, G.; Mamani, J.M.; Miyasiro, M.; Whaley, O.Q. Seeing through the clouds – Mapping desert fog oasis ecosystems using 20 years of MODIS imagery over Peru and Chile. Int. J. Appl. Earth Obs. Geoinf. 2021, 103, 102468. [Google Scholar] [CrossRef]
- Didan, K.; Munoz, A.B.; Solano, R.; Huete, A. MODIS Vegetation Index User’s Guide (Collection 6) 2015, 31.
- QGIS.org. QGIS Geographic Information System. Open-Source Geospatial Foundation Project. 2022, Available at: http://qgis.org.
- Guijarro-Pastor, J.A. Software libre para la depuración y homogeneización de datos climatológicos. In: el clima, entre el mar y la montaña: aportaciones presentadas al IV Congreso de la Asociación Española de Climatología, Santander, España, 2-5/11/2004.
- RStudio Team. RStudio: Integrated Development for R. RStudio, PBC, Boston. 2020, Available at: http://www.rstudio.com.
- Wilson, A.M.; Jetz, W. Remotely Sensed High-Resolution Global Cloud Dynamics for Predicting Ecosystem and Biodiversity Distributions. PLoS Biol 2016, 14(3), e1002415. [Google Scholar] [CrossRef]
- Sorensen, R.; Zinko, U.; Seibert, J. On the calculation of the topographic wetness index: evaluation of different methods based on field observations. Hydrol. Earth Syst. Sci. 2006, 10, 101–112. [Google Scholar] [CrossRef]
- Roa-Lobo, J.; Kamp, U. Uso del índice topográfico de humedad (ITH) para el diagnóstico de la amenaza por desborde fluvial, Trujillo-Venezuela. Rev. Geográfica Venezolana 2012, 53(1), 109-126.
- Hutchinson, M.F.; Xu, T. 2013. ANUSPLIN Version 4.4 User Guide, 1st ed.; Fenner School of Environment and Society. Aus-tralian National University: Canberra, Australia, 2013; pp. 1–55. [Google Scholar]
- Hijmans, R.J.; Phillips, S.; Leathwick, J.; Elith, J. Dismo: Species Distribution Modeling. 2022. R Package Version 1.3-9. http://CRAN.R-project.org/package=dismo.
- O’Donnell, MS.; Ignizio, D.A. 2012. Bioclimatic Predictors for Supporting Ecological Applications in the Conterminous United States, 1st ed.; U.S. Geological Survey: Virginia, EEUU, 2012; pp. 1–17. [Google Scholar]
- Rolland, C. Spatial and Seasonal Variations of Air Temperature Lapse Rates in Alpine Regions. J. Clim. 2003, 16, 1032–1046. [Google Scholar] [CrossRef]
- Dávila, C.; Cubas, F.; Laura, W.; Ita, T.; Porras, P.; Castro, A.; Trebejo, I.; Urbiola, J.; Ávalos, G.; Villena, D.; Valdez, M.; Rodríguez, Z.; Menis, L. Atlas de temperaturas del aire y precipitación en el Perú, 1st ed.; Servicio Nacional de Meteorología e Hidrología del Perú (SENAMHI): Lima, Perú, 2021; pp. 1–129. [Google Scholar]
- Hartmann, D.L. Global Physical Climatology, 2nd ed.; Elsevier Science: Oxford, England, 2016; pp. 1–498. [Google Scholar] [CrossRef]
- Pareja, J. El clima del Perú. Revista de la Universidad Católica. 1936, 29, 645–655. [Google Scholar]
- Úbeda, J.; Palacios, D. 2008. El clima de la vertiente del Pacífico de los Andes Centrales y sus implicaciones geomorfológicas. Espacio y Desarrollo 2008, 20, 31-56.
- Castro, A.; Dávila, C.; Laura, W.; Cubas, F.; Ávalos, G.; López-Ocaña, C.; Villena, D.; Valdez, M.; Urbiola, J.; Trebejo, I.; Menis, L.; Marín, D. CLIMAS DEL PERÚ – Mapa de Clasificación Climática Nacional., 1st ed.; Servicio Nacional de Meteorología e Hidrología del Perú (SENAMHI): Lima, Perú, 2021; pp. 1–128. [Google Scholar]
- Reynel, C.; Pennintong, R.T.; Särkinen, T. Cómo se formó la diversidad ecológica del Perú. Fundación para el Desarrollo Agrario FDA. Centro de estudios en dendrología: Lima, Perú, 2013; 1-411 pp.
- Bedia, J.; Herrera, S.; Gutiérrez, J.M. Dangers of using global bioclimatic datasets for ecological niche modeling. Limitations for future climate projections. Global and Planetary Change 2013, 107, 1–12. [Google Scholar] [CrossRef]
- Sotomayor, D.; Jiménez, P. Condiciones meteorológicas y dinámica vegetal del ecosistema costero lomas de Atiquipa (Ca-ravelí - Arequipa) en el sur del Perú. Ecología Aplicada 2008, 7, 1–8. [Google Scholar] [CrossRef]
- Aponte-Saravia, J.; Ospina, J.E.; Posada, E. Caracterización y modelamiento espacial de patrones en humedales alto andinos, Perú, mediante algoritmos, periodo 1985-2016. Revista Geográfica 2017, 158, 149–170. [Google Scholar]
- Mazzarino, M.; Finn, J.T. An NDVI analysis of vegetation trends in an Andean watershed. Wetlands Ecology and Management 2016, 24, 623–640. [Google Scholar] [CrossRef]
- Belenguer-Plomer, M.A. Análisis de series temporales de precipitación y vegetación para la detección de anomalías en la producción de alimentos en el Cuerno de África. El caso de Lower Shabelle (Somalia). Rev. de Teledetección 2016, 47, 41–50. [Google Scholar] [CrossRef]
- Tiedemann, J.L.; Zerda, H.R. Relación temporal NVDI-precipitación del bosque y pastizal natural de Santiago del Estero, Argentina. Ciencia e Investigación Forestal 2008, 14(3), 497-507.
- De la Casa, A.; Ovando, G. Relación entre la precipitación e índices de vegetación durante el comienzo del ciclo anual de lluvias en la provincia de Córdoba, Argentina. RIA 2006, 35(1), 67–85. [Google Scholar]
- Ichii, K.; Kawabata, A.; Yamaguchi, Y. Global correlation analysis for NDVI and climatic variables and NDVI trends: 1982–1990. Int. J. remote sensing 2002, 23(18), 3873–3878. [Google Scholar] [CrossRef]
- Sanz, E.; Saa-Requejo, A.; Díaz-Ambrona, C.H.; Ruiz-Ramos, M.; Rodríguez, A.; Iglesias, E.; Esteve, P.; Soriano, B.; Tarquis, A.M. Normalized Difference Vegetation Index Temporal Responses to Temperature and Precipitation in Arid Rangelands. Remote Sensing 2021, 3(5), 840. [Google Scholar] [CrossRef]
- Schultz, P.A.; Halpert, M.S. Global correlation of temperature, NDVI and precipitation. Adv. Space Re. 1993, 13(5), 277–280. [Google Scholar] [CrossRef]
- León, T.; Ocola, L.; Rojas, J. Ubicación de la mayor concentración de nieblas de advección en la Costa Central del Perú entre los años 2000 -2014, usando imágenes satelitales, como potenciales recursos de agua dulce. Revista De Investigación De Física 2020, 23(3), 54–60. [CrossRef]
- Jiménez. P.; Villegas, L.; Villasante, F.; Talavera, C.; Ortega, A. Las Lomas de Atiquipa: agua en el desierto. In: ¿Gratis? los servicios de la naturaleza y como sostenerlos en el Perú, 1st ed.; Hajek, F., Martínez, P., Eds.; SePerú: Lima, Perú, 2012; pp. 159-170.
- Tovar, C.; Sánchez-Infantas, E.; Teixeira-Roth, V. Plant community dynamics of lomas fog oasis of Central Peru after the extreme precipitation caused by the 1997-98 El Niño event. PLoS ONE 2018, 13(1), e0190572. [Google Scholar] [CrossRef]
- Jiménez, P.; Talavera, C.; Villegas, L.; Huamán, E.; Ortega, A. Condiciones meteorológicas en las lomas de Mejía en “El Niño 1997-98” y su influencia en la vegetación. Rev. peru. biol. Vol. Extraordinario 1999, 133–136. [Google Scholar]
- Dillon, M.O.; Nakazawa, M.; Leiva, S. The Lomas Formations of Coastal Peru: Composition and Biogeographic History. El Niño in Peru: Biology and Culture Over 10,000 Years. Fieldiana 2003, 48, 1–9. [Google Scholar]
- Karger, D.N.; Wilson, A.M.; Mahony, C.; Zimmermann, N.E.; Jetz, W. Global daily 1km land surface precipitation based on cloud cover-informed downscaling. Sci Data 2021, 8, 307. [Google Scholar] [CrossRef] [PubMed]
- Rolland, C. Spatial and Seasonal Variations of Air Temperature Lapse Rates in Alpine Regions. J. Clim. 2003, 16, 1032–1046. [Google Scholar] [CrossRef]
- Valipour, M.; Dietrich, J. Developing ensemble mean models of satellite remote sensing, climate reanalysis, and land surface models. Theor Appl Climatol 2022, 150, 909–926. [Google Scholar] [CrossRef]
- Muhuri, A.; Gascoin, S.; Menzel, L.; Kostadinov, T.S.; Harpold, A.A.; Sanmiguel-Vallelado, A.; Lopez-Moreno, J.I. Performance Assessment of Optical Satellite-Based Operational Snow Cover Monitoring Algorithms in Forested Landscapes. IEEE Journal of Selected Topics in Applied Earth Observations and Remote Sensing 2021, 14, 7159–7178. [Google Scholar] [CrossRef]
- Price, D.T.; Mckenney, D.W.; Nalder, I.A.; Hutchinson, M.F.; Kesteven, J.L. A comparison of two statistical methods for spatial interpolation of Canadian monthly mean climate data. Agric. For. Meteorol. 2000, 101, 81–94. [Google Scholar] [CrossRef]
- Hustie, T.; Tibshirani, R.; Friedman, J. The Elements of Statistical Learning. Data Mining, Inference, and Prediction. 2 ed.; Springer: New York, EEUU, 2009. [Google Scholar] [CrossRef]







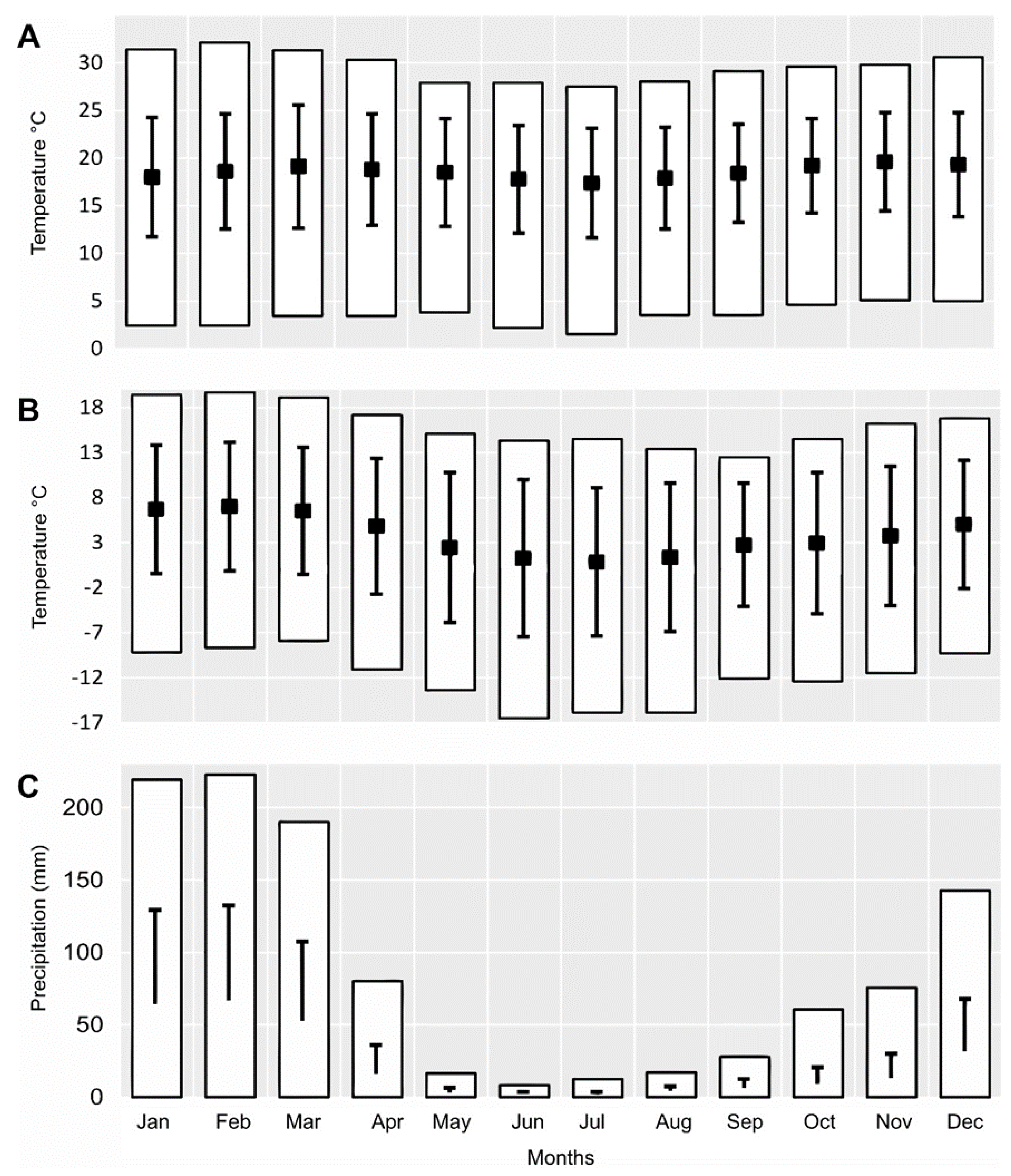
| Surfaces | Jan | Feb | Mar | Apr | May | Jun | Jul | Aug | Sep | Oct | Nov | Dec |
|---|---|---|---|---|---|---|---|---|---|---|---|---|
|
Mean (SD) |
18.8 (6.2) |
18.6 (6.0) |
19.1 (6.4) |
18.8 (5.8) |
18.5 (5.6) |
17.8 (5.6) |
17.4 (5.7) |
17.9 (5.3) |
18.4 (5.1) |
19.2 (4.9) |
19.6 (5.1) |
19.3 (5.4) |
| Min V | 2.4 | 2.4 | 3.4 | 3.4 | 3.8 | 2.2 | 1.5 | 3.5 | 3.5 | 4.6 | 5.1 | 5.0 |
| Max V | 31.4 | 32.1 | 31.3 | 30.3 | 27.9 | 27.9 | 27.5 | 28.0 | 29.1 | 29.6 | 29.8 | 30.6 |
| 95% CI | 0.02 | 0.02 | 0.02 | 0.02 | 0.02 | 0.02 | 0.02 | 0.02 | 0.02 | 0.02 | 0.02 | 0.02 |
| Surfaces | Jan | Feb | Mar | Apr | May | Jun | Jul | Aug | Sep | Oct | Nov | Dec |
|---|---|---|---|---|---|---|---|---|---|---|---|---|
|
Mean (SD) |
7.2 (7.2) |
7.5 (7.2) |
7.0 (7.1) |
5.3 (7.6) |
2.9 (8.4) |
1.7 (8.8) |
1.3 (8.3) |
1.8 (8.3) |
3.2 (6.9) |
3.4 (7.9) |
4.2 (7.8) |
5.5 (7.2) |
| Min V | -9.2 | -8.7 | -7.9 | -11.1 | -13.4 | -16.5 | -15.9 | -15.9 | -12.1 | -12.4 | -11.5 | -9.3 |
| Max V | 19.4 | 19.7 | 19.1 | 17.2 | 15.1 | 14.3 | 14.5 | 13.4 | 12.5 | 14.5 | 16.2 | 16.8 |
| 95% CI | 0.03 | 0.03 | 0.03 | 0.03 | 0.03 | 0.03 | 0.03 | 0.03 | 0.02 | 0.03 | 0.03 | 0.03 |
| Surfaces | Jan | Feb | Mar | Apr | May | Jun | Jul | Aug | Sep | Oct | Nov | Dec |
|---|---|---|---|---|---|---|---|---|---|---|---|---|
|
Mean (SD) |
65.0 (65.4) |
67.3 (66.2) |
53.2 (55.2) |
16.3 (20.1) |
3.3 (3.4) |
2.2 (1.6) |
2.0 (1.7) |
4.3 (3.4) |
6.5 (6.2) |
9.4 (11.6) |
13.3 (17.1) |
32.0 (36.6) |
| Min V | 0 | 0 | 0 | 0 | 0 | 0 | 0 | 0 | 0 | 0 | 0 | 0 |
| Max V | 219.2 | 222.8 | 190.2 | 80.1 | 16.4 | 8.2 | 12.4 | 16.9 | 27.8 | 60.6 | 75.6 | 142.8 |
| 95% CI | 0.23 | 0.24 | 0.20 | 0.07 | 0.01 | 0.01 | 0.01 | 0.01 | 0.02 | 0.04 | 0.06 | 0.13 |
| Months | Maximum Temperature (°C) | Minimum Temperature (°C) | Precipitation (mm) | |||
|---|---|---|---|---|---|---|
| RMSEcv | MADE | RMSEcv | MADE | RMSEcv | MAD | |
| January | 1.5 | 1.1 | 0.8 | 0.6 | 11.6 | 8.2 |
| February | 1.5 | 1.2 | 0.8 | 0.7 | 12.2 | 8.6 |
| March | 1.5 | 1.1 | 0.8 | 0.6 | 10.1 | 7.0 |
| April | 1.4 | 1.1 | 1.0 | 0.7 | 5.7 | 3.6 |
| May | 1.4 | 1.1 | 1.5 | 1.0 | 1.6 | 1.2 |
| June | 1.4 | 1.1 | 1.7 | 1.2 | 1.3 | 1.0 |
| July | 1.4 | 1.0 | 1.8 | 1.2 | 1.6 | 1.1 |
| August | 1.5 | 1.1 | 1.7 | 1.2 | 2.4 | 1.8 |
| September | 1.7 | 1.2 | 1.4 | 1.1 | 3.5 | 2.7 |
| October | 1.6 | 1.2 | 1.1 | 0.8 | 5.0 | 3.4 |
| November | 1.7 | 1.3 | 1.1 | 0.8 | 5.0 | 3.4 |
| December | 1.6 | 1.2 | 0.9 | 0.7 | 9.2 | 6.1 |
| Average | 1.5 | 1.1 | 1.2 | 0.9 | 5.8 | 4.0 |
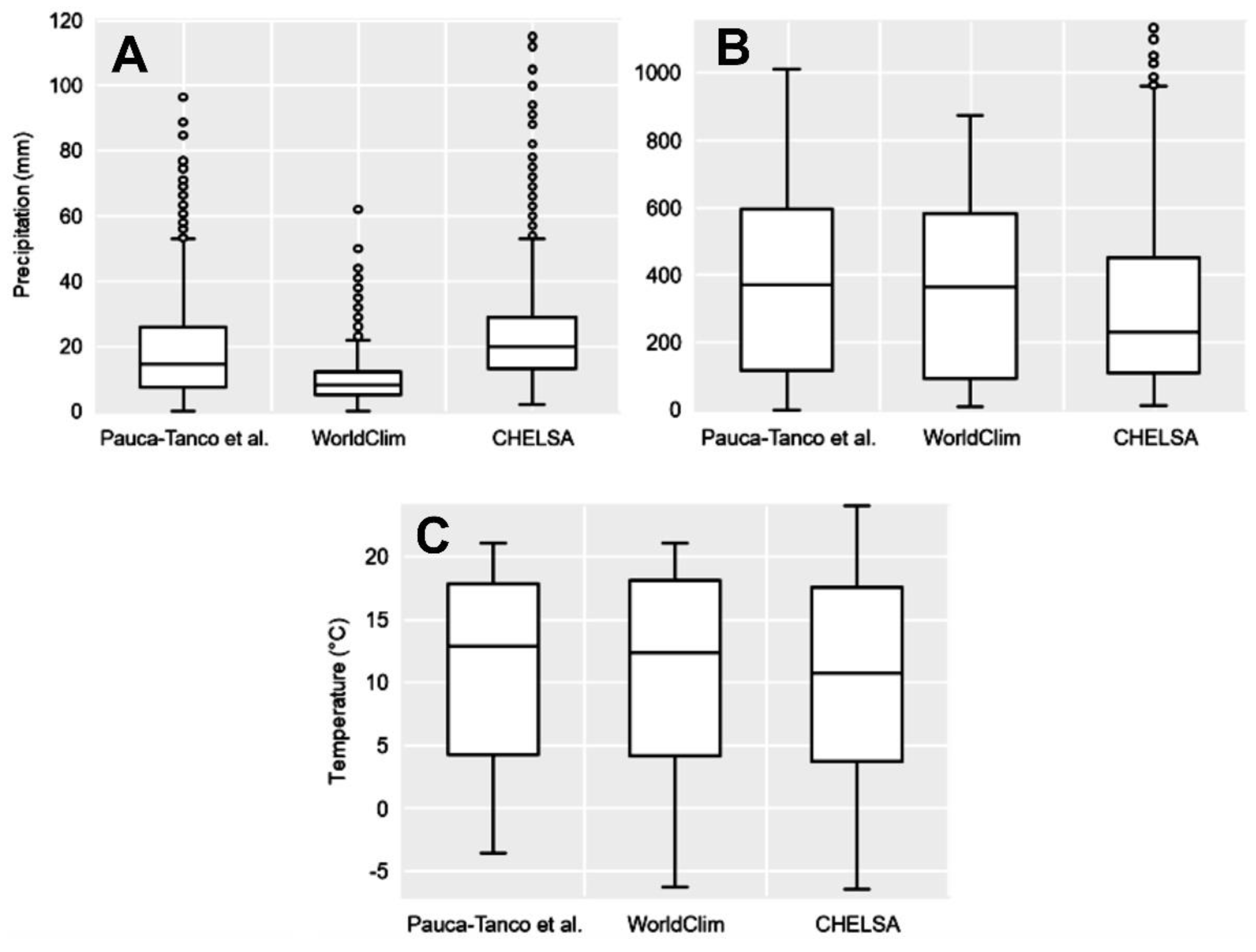
| Variables | A | B | C |
|---|---|---|---|
| Coastal Precipitation (mm) | n = 2000 | ||
| Mean (SD) | 18.8 (15.4) | 9.5 (7.7) | 23.2 (15.1) |
| Median (Q1, Q3) | 14.0 (8.0–26.0) | 8.0 (5.0–12.0) | 20.0 (13.0–29.0) |
| Range | 0.0–96.0 | 0.0–62.0 | 2.0–116.0 |
| P value | - | < 0.01* | < 0.01* |
| Andes Precipitation (mm) | n = 2000 | ||
| Mean (SD) | 378.1 (271.3) | 355.4 (254.8) | 302.2 (240.3) |
| Median (Q1, Q3) | 408.0 (118.0–594.0) | 363.5 (94.8–581.3) | 230.0 (109.8–451.0) |
| Range | 0.0–1011.0 | 9.0–873.0 | 14.0–1151.0 |
| P value | - | < 0.05 | < 0.01* |
| Temperature (°C) | n = 4000 | ||
| Mean (DS) | 11.43 (6.54) | 11.25 (6.75) | 10.84 (7.22) |
| Median (Q1, Q3) | 12.90 (4.3–17.8) | 12.35 (4.2–18.01) | 10.70 (3.7–17.6) |
| Range | -3.60–21.00 | -6.30–21.10 | -6.40–24.00 |
| P value | - | 0.498 | < 0.01* |
Disclaimer/Publisher’s Note: The statements, opinions and data contained in all publications are solely those of the individual author(s) and contributor(s) and not of MDPI and/or the editor(s). MDPI and/or the editor(s) disclaim responsibility for any injury to people or property resulting from any ideas, methods, instructions or products referred to in the content. |
© 2023 by the authors. Licensee MDPI, Basel, Switzerland. This article is an open access article distributed under the terms and conditions of the Creative Commons Attribution (CC BY) license (http://creativecommons.org/licenses/by/4.0/).
