Submitted:
26 January 2023
Posted:
28 January 2023
Read the latest preprint version here
Abstract
Keywords:
1. Introduction
2. Literature Review
2.1. Office work and WMSD
2.2. Rapid Office Strain Assessment (ROSA)
2.3. Rapid Upper Limb Assessment (RULA)
3. Methodological Procedures
3.1. Object of Study
3.2. Study Scenario
3.3. Data collection and analysis procedures
4. Results
4.1. ROSA Scores
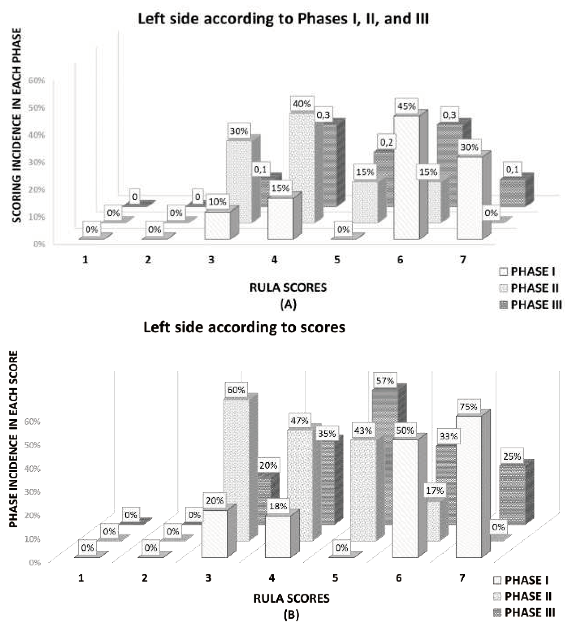
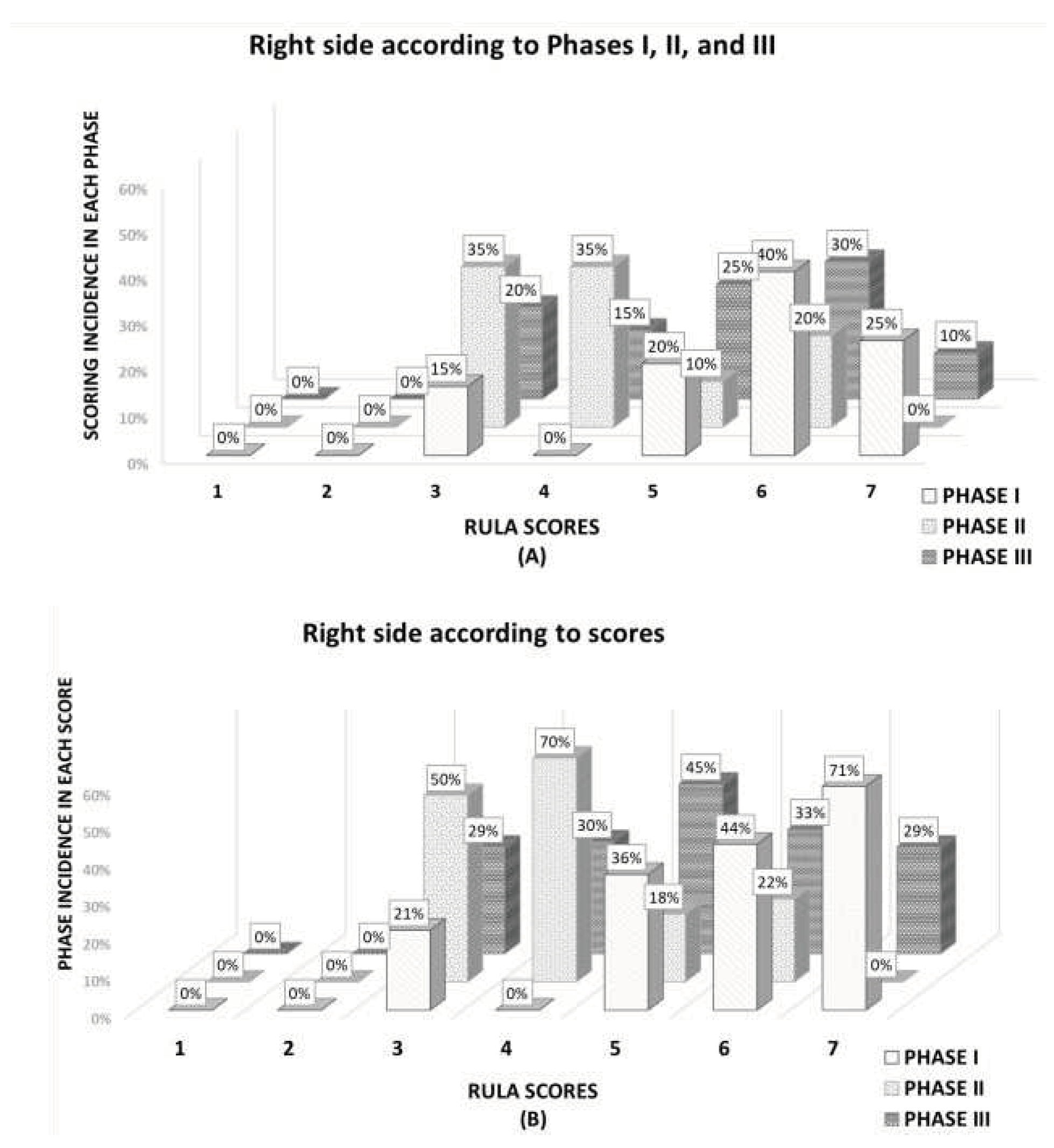
4.2. RULA Scores
5. Discussion of Results and Working Conditions
6. Conclusions
Acknowledgements
References
- Bagheri, S.; Ghaljahi, M. Ergonomic Evaluation of Musculoskeletal Disorders with Rapid Office Strain Assessment and Its Association with Occupational Burnout among Computer Users at Zabol University of Medical Sciences in 2017. Asian J. Water Environ. Pollut. 2019, 16, 91–96. [Google Scholar] [CrossRef]
- Bakri, F. N. F., Jalil, A., Ngali, M. Z., Yunos, M. N. A. M., Boudeville, J. A., Ismail, S., Rohani, M., Hamid, N. A. A., Aazizi, M. S. I., & Ismail, S. S. M. (2018). Evaluation of Working Posture on Bus Traffic Controllers. Journal of Physics: Conference Series, 1049(1), IOP Publishing.
- Brasil, Ministério do Trabalho e Emprego (2018). Norma Regulamentadora nº 17: Ergonomia. Portaria MTb n.º 876, de 24 de outubro de 2018. Diário Oficial da União, Brasília, DF.
- Brasil, Ministério da Saúde, Secretaria de Vigilância em Saúde, Departamento de Vigilância de Doenças e Agravos não Transmissíveis e Promoção da Saúde (2019). Saúde Brasil 2018 uma análise de situação de saúde e das doenças e agravos crônicos: Desafios e perspectivas. Ministério da Saúde, Brasília, DF.
- Buckle, P. Ergonomics and musculoskeletal disorders: Overview. Occup. Med. 2005, 55, 164–167. [Google Scholar] [CrossRef]
- Chau, J.Y.; Grunseit, A.C.; Chey, T.; Stamatakis, E.; Brown, W.J.; Matthews, C.E.; Bauman, A.E.; Ploeg, H.P. Daily sitting time and all-cause mortality: a meta-analysis. PloS ONE 2013, 8, e80000. [Google Scholar] [CrossRef]
- Chen, J.D.; Falkmer, T.; Parsons, R.; Buzzard, J.; Ciccarelli, M. Impact of experience when using the Rapid Upper Limb Assessment to assess postural risk in children using information and communication technologies. Appl. Ergon. 2014, 45, 398–405. [Google Scholar] [CrossRef]
- Chiasson M, È.; Imbeaua, D.; Aubrya, K.; Delisleb, A. Comparing the results of eight methods used to evaluate risk factors associated with musculoskeletal disorders. Int. J. Ind. Ergon. 2012, 42, 478–488. [Google Scholar] [CrossRef]
- Dockrell, S.; Earle, D.; Galvin, R. Computer-related posture and discomfort in primary school children: The effects of a school-based ergonomic intervention. Comput. Educ. 2010, 55, 276–284. [Google Scholar] [CrossRef]
- Fundacentro (2019). Quase 39 mil trabalhadores são afastados por LER/Dort em 2019. Retrieved June 4, 2021, from www.gov.br/fundacentro/pt-br/assuntos/noticias/noticias/2020/3/a.
- Gerhardt, T. E., & Silveira, D. T. (2009). Métodos de pesquisa. Porto Alegre: UFRGS Editora.
- Gil, A. C. (2019), Métodos e Técnicas de Pesquisa Social (7th ed.). Rio de Janeiro: Atlas.
- Gray, D. E. (2012). Pesquisa no mundo real (2nd ed.). Porto Alegre: Penso.
- Guérin, F., Kerguelen, A., & Laville, A. (2001). Compreender o trabalho para transformá-lo: A prática da Ergonomia. São Paulo: Blücher.
- Hignett, S.; McAtamney, L. Rapid entire body assessment (REBA). Appl. Ergon. 2000, 31, 201–205. [Google Scholar] [CrossRef]
- Iida, I., & Guimarães, L. B. M. (2016). Ergonomia: Projeto e produção (3rd ed.). São Paulo: Blücher.
- INSS – Instituto Nacional do Seguro Social (2003). Instrução Normativa INSS/DC n. 98 de 5 de dezembro de 2003. Aprova norma técnica sobre Lesões por Esforços Repetitivos–LER ou Distúrbios Osteomusculares Relacionados ao Trabalho–DORT. Diário Oficial da República Federativa do Brasil, 5th december 2003, section 1. Retrieved June 4, 2021, from www.legisweb.com.br/legislacao/?id=75579.
- Juul-Kristensen, B.; Søgaard, K.; Strøyer, J.; Jensen, C. Computer users’ risk factors for developing shoulder, elbow and back symptoms. Scand. J. Work Environ. Health 2004, 390–398. [Google Scholar] [CrossRef]
- Kaliniene, G.; Ustinaviciene, R.; Skemiene, L.; Januskevicius, V. Associations between neck musculoskeletal complaints and work related factors among public service computer workers in Kaunas. Int. J. Occup. Med. Environ. Health 2013, 26, 670–681. [Google Scholar] [CrossRef]
- Kulkarni, M.H.; Bhatwadekar, S.G.; Thakur, H.M. A literature review of facility planning and plant layouts. Int. J. Eng. Sci. Res. Technol. 2015, 4, 35–42. [Google Scholar]
- Liebregts, J.; Sonne, M.; Potvin, J.R. Photograph-based ergonomic evaluations using the Rapid Office Strain Assessment (ROSA). Appl. Ergon. 2016, 52, 317–324. [Google Scholar] [CrossRef]
- Marconi, M. A., & Lakatos, E. M. (2019). Fundamentos de metodologia científica (8th ed.). São Paulo: Atlas.
- Marcus, M.; Gerr, F.; Monteilh, C.; Ortiz, D.J.; Gentry, E.; Cohen, S.; Edwards, A.; Ensor, C.; Kleinbaum, D. A prospective study of computer users: II. Postural risk factors for musculoskeletal symptoms and disorders. Am. J. Ind. Med. 2002, 41, 236–249. [Google Scholar] [CrossRef]
- Matos, M.; Arezes, P.M. Ergonomic evaluation of office workplaces with Rapid Office Strain Assessment (ROSA). Procedia Manuf. 2015, 3, 4689–4694. [Google Scholar] [CrossRef]
- McAtamney, L.; Corlett, E.N. RULA: a survey method for the investigation of work-related upper limb disorders. Appl. Ergon. 1993, 24, 91–99. [Google Scholar] [CrossRef]
- Mohammadipour, F.; Pourranjbar, M.; Naderi, S.; Rafie, F. Work-related musculoskeletal disorders in Iranian office workers: prevalence and risk factors. J. Med. Life 2018, 11, 328. [Google Scholar] [CrossRef]
- NIOSH (2014). Observation-based posture assessment: review of current practice and recommendations for improvement. By Lowe B. D., Weir P. L., Andrews D. M., & Cincinnati, O.H.: U.S. Department of Health and Human Services, Centers for Disease Control and Prevention, National Institute for Occupational Safety and Health, DHHS (NIOSH) Publication No. 2014–131.
- Parry, S.; Straker, L. The contribution of office work to sedentary behaviour associated risk. BMC Public Health 2013, 13, 1–10. [Google Scholar] [CrossRef]
- Poochada, W.; Chaiklieng, S. Ergonomic risk assessment among call center workers. Procedia Manuf. 2015, 3, 4613–4620. [Google Scholar] [CrossRef]
- Pronk, N.P.; Kottke, T.E. Physical activity promotion as a strategic corporate priority to improve worker health and business performance. Prev. Med. 2009, 49, 316–321. [Google Scholar] [CrossRef]
- Rempel, D.M.; Krause, N.; Goldberg, R.; Benner, D.; Hudes, M.; Goldner, G.U. A randomised controlled trial evaluating the effects of two workstation interventions on upper body pain and incident musculoskeletal disorders among computer operators. Occup. Environ. Med. 2006, 63, 300–306. [Google Scholar] [CrossRef]
- Robertson, M.; Amick, B.C., III; DeRango, K.; Rooney, T.; Bazzani, L.; Harrist, R.; Moore, A. The effects of an office ergonomics training and chair intervention on worker knowledge, behavior and musculoskeletal risk. Appl. Ergon. 2009, 40, 124–135. [Google Scholar] [CrossRef]
- Saldanha, M.F.; Falcão, A.; Dias, A.; Franz, L.A.S. Ergonomic work analysis: a case study in a sawmill located in the southern of Brazil. Int. J. Adv. Oper. Manag. 2012, 4, 283–296. [Google Scholar] [CrossRef]
- Santos, D.F.; Terra, S.X.; Franz LA, S. Um olhar quanto à exposição a riscos ergonômicos pela ótica dos profissionais da indústria de panificação. Ergodesign HCI 2019, 7, 41–52. [Google Scholar] [CrossRef]
- Shayan, E.; Chittilappilly, A. Genetic algorithm for facilities layout problems based on slicing tree structure. Int. J. Prod. Res. 2004, 42, 4055–4067. [Google Scholar] [CrossRef]
- Silva, E. L., & Menezes, E. M. (2005). Metodologia da Pesquisa e Elaboração de Dissertação (4th ed.). Florianópolis: UFSC Editora.
- Silva SL, C.; Amaral, F.G. Critical factors of success and barriers to the implementation of Occupational Health and Safety Management Systems: a systematic literature review. Saf. Sci. 2019, 117, 123–132. [Google Scholar] [CrossRef]
- Sonne, M.; Villalta, D.L.; Andrews, D.M. Development and evaluation of an office ergonomic risk checklist: ROSA – Rapid Office Strain Assessment. Appl. Ergon. 2012, 43, 98–108. [Google Scholar] [CrossRef]
- Straker, L.; Mathiassen, S.E. Increased physical work loads in modern work – a necessity for better health and performance? Ergonomics 2009, 52, 1215–1225. [Google Scholar] [CrossRef]
- Wahlström, J. Ergonomics, musculoskeletal disorders and computer work. Occup. Med. 2005, 55, 168–176. [Google Scholar] [CrossRef] [PubMed]
- Waongenngarm, P.; Van der Beek, A.J.; Akkarakittichoke, N.; Janwantanaku, P. Perceived musculoskeletal discomfort and its association with postural shifts during 4-h prolonged sitting in office workers. Appl. Ergon. 2020, 89, 1–8. [Google Scholar] [CrossRef]
















Disclaimer/Publisher’s Note: The statements, opinions and data contained in all publications are solely those of the individual author(s) and contributor(s) and not of MDPI and/or the editor(s). MDPI and/or the editor(s) disclaim responsibility for any injury to people or property resulting from any ideas, methods, instructions or products referred to in the content. |
© 2023 by the authors. Licensee MDPI, Basel, Switzerland. This article is an open access article distributed under the terms and conditions of the Creative Commons Attribution (CC BY) license (http://creativecommons.org/licenses/by/4.0/).