Submitted:
03 January 2023
Posted:
04 January 2023
You are already at the latest version
Abstract
Keywords:
1. Introduction
2. Wavelet collocation upwind schemes
2.1. Wavelet approximation theory
2.1.1. Preliminaries
2.1.2. Approximation of functions on a finite domain
2.2. Wavelet collocation upwind scheme
2.3. Asymmtrical wavelets
3. Stability and resolution analysis of the wavelet upwind scheme
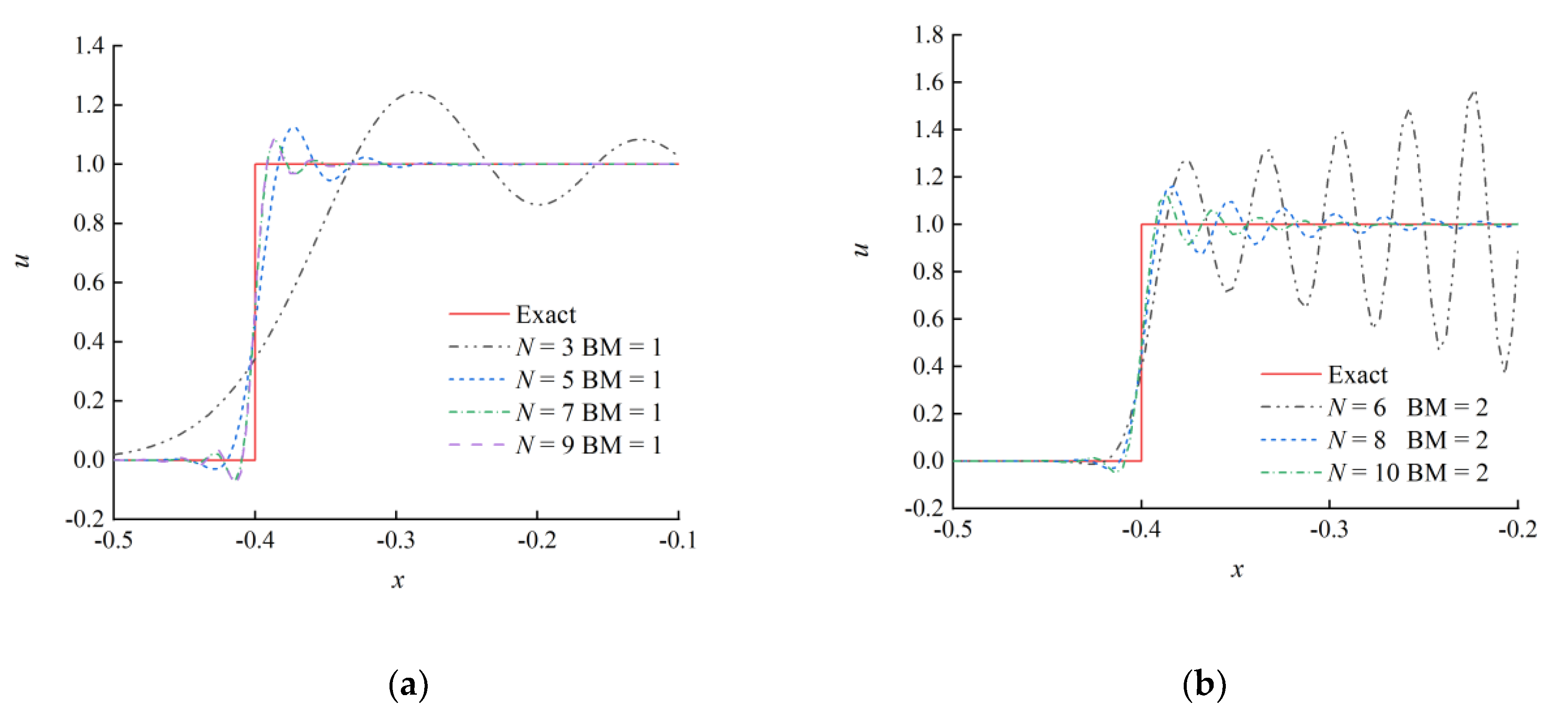
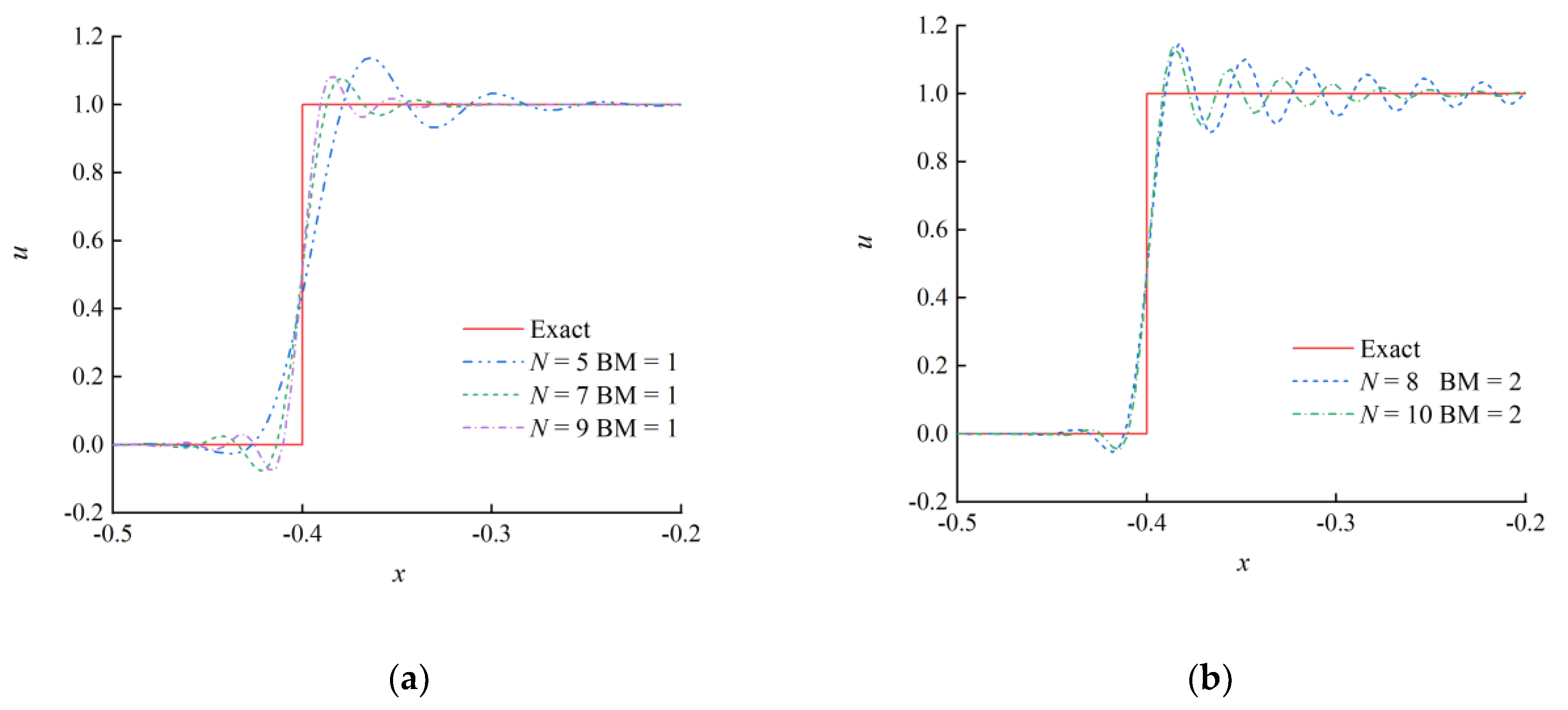
3.1. Advection of a sine wave
3.2. Advection of a square wave
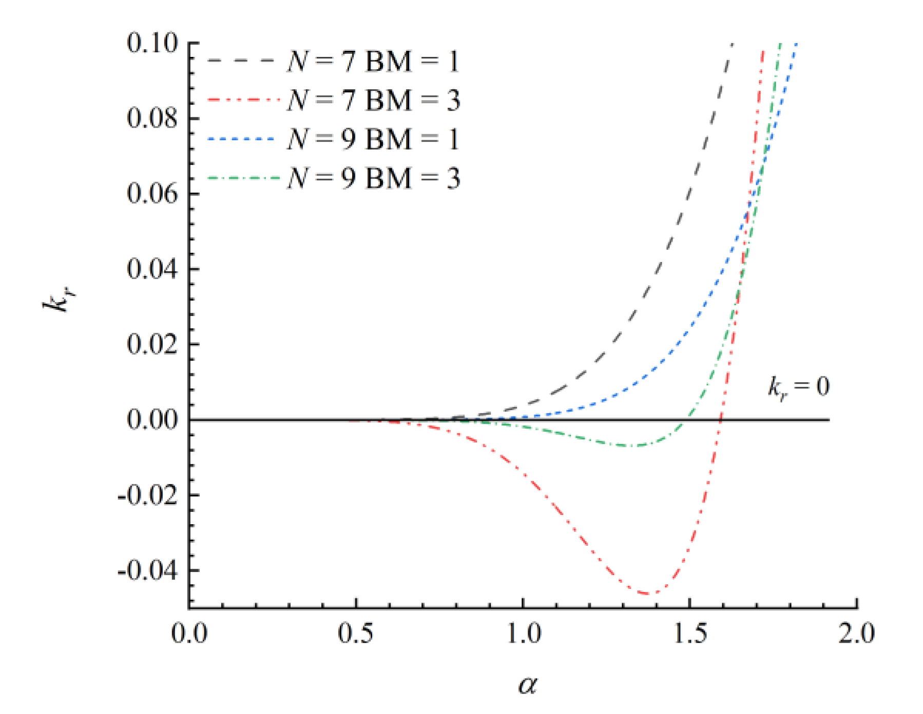
3.3. Dissipation and dispersion analysis
5. Conclusions
Author Contributions
Funding
Data Availability Statement
Conflicts of Interest
Appendix A
References
- Pirozzoli, S. Numerical Methods for High-Speed Flows. Annu. Rev. Fluid. Mech. 2011, 43, 163–194. [Google Scholar] [CrossRef]
- Lele, S.K. Compact finite difference schemes with spectral-like resolution. J. Comput. Phys. 1992, 103, 16–42. [Google Scholar] [CrossRef]
- Kurganov, A.; Tadmor, E. New High-Resolution Central Schemes for Nonlinear Conservation Laws and Convection–Diffusion Equations. J. Comput. Phys. 2000, 160, 241–282. [Google Scholar] [CrossRef]
- Roe, P.L. Characteristic-Based Schemes for the Euler Equations. Annu. Rev. Fluid. Mech. 1986, 18, 337–365. [Google Scholar] [CrossRef]
- Moretti, G. The λ-scheme. Comput. Fluids 1979, 7, 191–205. [Google Scholar] [CrossRef]
- Regele, J.D.; Vasilyev, O.V. An adaptive wavelet-collocation method for shock computations. Int. J. Comut. Fluid. Dyn. 2009, 23, 503–518. [Google Scholar] [CrossRef]
- Shu, C.-W. High order WENO and DG methods for time-dependent convection-dominated PDEs: A brief survey of several recent developments. J. Comput. Phys. 2016, 316, 598–613. [Google Scholar] [CrossRef]
- Harten, A.; Engquist, B.; Osher, S.; Chakravarthy, S.R. Uniformly high order accurate essentially non-oscillatory schemes, III. J. Comput. Phys. 1987, 71, 231–303. [Google Scholar] [CrossRef]
- Liu, X.D.; Osher, S.; Chan, T. Weighted Essentially Non-oscillatory Schemes. J. Comput. Phys. 1994, 115, 200–212. [Google Scholar] [CrossRef]
- Ii, S.; Xiao, F. High order multi-moment constrained finite volume method. Part I: Basic formulation. J. Comput. Phys. 2009, 228, 3669–3707. [Google Scholar] [CrossRef]
- Cockburn, B.; Shu, C.-W. TVB Runge-Kutta Local Projection Discontinuous Galerkin Finite Element Method for Conservation Laws II: General Framework. Math. Comput. 1989, 52, 411–435. [Google Scholar]
- Pereira, R.M.; Nguyen Van Yen, N.; Schneider, K.; Farge, M. Adaptive Solution of Initial Value Problems by a Dynamical Galerkin Scheme. Multiscale. Model. Simul. 2022, 20, 1147–1166. [Google Scholar] [CrossRef]
- Schneider, K.; Vasilyev, O.V. Wavelet methods in computational fluid dynamics. Annu. Rev. Fluid. Mech. 2010, 42, 473–503. [Google Scholar] [CrossRef]
- Vasilyev, O.V.; Paolucci, S. A Dynamically Adaptive Multilevel Wavelet Collocation Method for Solving Partial Differential Equations in a Finite Domain. J. Comput. Phys. 1996, 125, 498–512. [Google Scholar] [CrossRef]
- Vasilyev, O.V. Solving Multi-dimensional Evolution Problems with Localized Structures using Second Generation Wavelets. Int. J. Comut. Fluid. Dyn. 2003, 17, 151–168. [Google Scholar] [CrossRef]
- De Stefano, G.; Vasilyev, O.V. A fully adaptive wavelet-based approach to homogeneous turbulence simulation. Journal of Fluid Mechanics 2012, 695, 149–172. [Google Scholar] [CrossRef]
- De Stefano, G.; Brown-Dymkoski, E.; Vasilyev, O.V. Wavelet-based adaptive large-eddy simulation of supersonic channel flow. Journal of Fluid Mechanics 2020, 901, A13. [Google Scholar] [CrossRef]
- Vuik, M.J.; Ryan, J.K. Multiwavelet troubled-cell indicator for discontinuity detection of discontinuous Galerkin schemes. J. Comput. Phys. 2014, 270, 138–160. [Google Scholar] [CrossRef]
- Do, S.; Li, H.; Kang, M. Wavelet-based adaptation methodology combined with finite difference WENO to solve ideal magnetohydrodynamics. J. Comput. Phys. 2017, 339, 482–499. [Google Scholar] [CrossRef]
- Restrepo, J.M.; Leaf, G.K. Wavelet-Galerkin Discretization of Hyperbolic Equations. J. Comput. Phys. 1995, 122, 118–128. [Google Scholar] [CrossRef]
- Hughes, T.J.R.; Franca, L.P.; Mallet, M. A new finite element formulation for computational fluid dynamics: I. Symmetric forms of the compressible Euler and Navier-Stokes equations and the second law of thermodynamics. Comput. Methods Appl. Mech. Eng 1986, 54, 223–234. [Google Scholar] [CrossRef]
- Bertoluzza, S. Adaptive wavelet collocation method for the solution of Burgers equation. Transport Theory and Statistical Physics 1996, 25, 339–352. [Google Scholar] [CrossRef]
- Alam, J.M.; Kevlahan, N.K.-R.; Vasilyev, O.V. Simultaneous space–time adaptive wavelet solution of nonlinear parabolic differential equations. J. Comput. Phys. 2006, 214, 829–857. [Google Scholar] [CrossRef]
- Yang, B.; Wang, J.; Liu, X.; Zhou, Y. High-order adaptive multiresolution wavelet upwind schemes for hyperbolic conservation laws. J. Comput. Phys. 2022, (Under Review). [CrossRef]
- Warming, R.F.; Hyett, B.J. The modified equation approach to the stability and accuracy analysis of finite-difference methods. J. Comput. Phys. 1974, 14, 159–179. [Google Scholar] [CrossRef]
- Vichnevetsky, R.; Bowles, J.B. Fourier Analysis of Numerical Approximations of Hyperbolic Equations, 2 ed.; Society for industrial and applied mathematics: Philadelphi, 1982. [Google Scholar] [CrossRef]
- Pirozzoli, S. On the spectral properties of shock-capturing schemes. J. Comput. Phys. 2006, 219, 489–497. [Google Scholar] [CrossRef]
- Ciarlet, P.G. Linear and Nonlinear Functional Analysis with Applications; Society for industrial and applied mathematics: Philadelphia, 2013. [Google Scholar]
- Liu, X.; Liu, G.; Wang, J.; Zhou, Y. A wavelet multiresolution interpolation Galerkin method for targeted local solution enrichment. Comput. Mech 2019, 1–28. [Google Scholar] [CrossRef]
- Liu, X.; Liu, G.R.; Wang, J.; Zhou, Y. A wavelet multi-resolution enabled interpolation Galerkin method for two-dimensional solids. Eng. Anal. Bound. Elem 2020, 117, 251–268. [Google Scholar] [CrossRef]
- Zhang, L.; Wang, J.; Liu, X.; Zhou, Y. A wavelet integral collocation method for nonlinear boundary value problems in physics. Comput. Phys. Commun. 2017, 215, 91–102. [Google Scholar] [CrossRef]
- Beylkin, G.; Keiser, J.M. On the Adaptive Numerical Solution of Nonlinear Partial Differential Equations in Wavelet Bases. J. Comput. Phys. 1997, 132, 233–259. [Google Scholar] [CrossRef]
- Liu, X.; Zhou, Y.; Wang, J. A space-time fully decoupled wavelet Galerkin method for solving two-dimensional Burgers' equations. Comput. Math. with Appl. 2016, 72, 2908–2919. [Google Scholar] [CrossRef]
- Jiang, G.-S.; Shu, C.-W. Efficient Implementation of Weighted ENO Schemes. J. Comput. Phys. 1996, 126, 202–228. [Google Scholar] [CrossRef]
- Donoho, D.L. Interpolating wavelet transforms. Preprint, Department of Statistics, Stanford University 1992, 2, 1–54. [Google Scholar]
- Sweldens, W.; Schroder, P. Building your own wavelets at home; Springer: Berlin Heidelberg, 2005; Volume Springer. [Google Scholar]
- Wang, J. Generalized Theory and Arithmetic of Orthogonal Wavelets and Applications to Researches of Mechanics Including Piezoelectric Smart Structures. Ph.D thesis, Lanzhou University, Lanzhou, 2001.
- Chen, M.-Q.; Hwang, C.; Shih, Y.-P. The computation of wavelet-Galerkin approximation on a bounded interval. Int. J. Numer. Methods. Eng. 1996, 39, 2921–2944. [Google Scholar] [CrossRef]










| N | 3 | 4 | 5 | 6 | 7 | 7 | 8 | 9 | 9 | 10 |
|---|---|---|---|---|---|---|---|---|---|---|
| BM | 1 | 2 | 1 | 2 | 1 | 3 | 2 | 1 | 3 | 2 |
| SF | 0.33 | 0.20 | 0.60 | 0.43 | 0.71 | 0.33 | 0.56 | 0.78 | 0.45 | 0.64 |
| Method | N1 | l∞ error | l∞ order | l2 error | l2 order |
|---|---|---|---|---|---|
|
N = 3 (2nd order) |
32 | 8.00E−2 | — | 8.24E−2 | — |
| 64 | 2.02E−2 | 1.99 | 2.05E−2 | 2.01 | |
| 128 | 5.05E−3 | 2.00 | 5.08E−3 | 2.01 | |
| 256 | 1.26E−3 | 2.00 | 1.27E−3 | 2.01 | |
| 512 | 3.15E−4 | 2.00 | 3.16E−4 | 2.00 | |
|
N = 5 (4th order) |
32 | 1.84E−4 | — | 1.90E−4 | — |
| 64 | 1.15E−5 | 4.01 | 1.16E−5 | 4.03 | |
| 128 | 7.15E−7 | 4.00 | 7.21E−7 | 4.01 | |
| 256 | 4.47E−8 | 4.00 | 4.49E−8 | 4.01 | |
| 512 | 2.79E−9 | 4.00 | 2.80E−9 | 4.00 | |
|
N = 6 (5th order) |
32 | 3.78E−5 | — | 3.80E−5 | — |
| 64 | 1.18E−6 | 4.99 | 1.19E−6 | 5.00 | |
| 128 | 3.71E−8 | 5.00 | 3.71E−8 | 5.00 | |
| 256 | 1.16E−9 | 5.00 | 1.16E−9 | 5.00 | |
| 512 | 3.64E−11 | 4.99 | 3.64E−11 | 4.99 | |
|
N = 7 (6th order) |
32 | 1.02E−6 | — | 1.04E−6 | — |
| 64 | 1.46E−8 | 6.12 | 1.48E−8 | 6.14 | |
| 128 | 1.71E−10 | 6.42 | 1.73E−10 | 6.42 | |
| 256 | 8.70E−13 | 7.61 | 8.75E−13 | 7.62 | |
|
N = 8 (7th order) |
32 | 2.12E−7 | — | 2.13E−7 | — |
| 64 | 1.64E−9 | 7.01 | 1.64E−9 | 7.02 | |
| 128 | 1.33E−11 | 6.95 | 1.33E−11 | 6.95 | |
|
N = 9 (8th order) |
32 | 7.18E−9 | — | 7.38E−9 | — |
| 64 | 2.27E−11 | 8.31 | 2.30E−11 | 8.33 | |
|
N = 10 (9th order) |
32 | 1.45E−9 | — | 1.46E−9 | — |
| 64 | 2.77E−12 | 9.03 | 2.77E−12 | 9.04 |
| Method | N1 | l∞ error | l∞ order | l2 error | l2 order |
|---|---|---|---|---|---|
|
N = 7 BM = 1 (6th order) |
32 | 1.02E−6 | — | 1.04E−6 | — |
| 64 | 1.46E−8 | 6.12 | 1.48E−8 | 6.14 | |
| 128 | 1.71E−10 | 6.42 | 1.73E−10 | 6.42 | |
| 256 | 8.70E−13 | 7.61 | 8.75E−13 | 7.62 | |
|
N = 7 BM = 3 (6th order) |
32 | 6.94E−6 | — | 7.13E−6 | — |
| 64 | 1.10E−7 | 5.98 | 1.12E−7 | 6.00 | |
| 128 | 1.78E−9 | 5.95 | 1.79E−9 | 5.96 | |
| 256 | 4.20E−11 | 5.40 | 3.41E−11 | 5.72 | |
| 512 | 2.01E−6 | -15.54 | 1.33E−6 | -15.25 | |
|
N = 9 BM = 1 (8th order) |
32 | 7.18E−9 | — | 7.38E−9 | — |
| 64 | 2.27E−11 | 8.31 | 2.30E−11 | 8.33 | |
|
N = 9 BM = 3 (8th order) |
32 | 3.79E−8 | — | 3.89E−8 | — |
| 64 | 1.53E−10 | 7.95 | 1.56E−10 | 7.97 | |
| 128 | 8.73E−13 | 7.46 | 8.79E−13 | 7.47 |
| N | N | ||||
|---|---|---|---|---|---|
| 3 | 0.397 | 0.247 | 4 | 0.639 | 0.500 |
| 5 | 1.689 | 1.532 | 6 | 1.249 | 1.012 |
| 7 | 1.742 | 1.547 | 8 | 2.190 | 1.423 |
| 9 | 1.847 | 1.652 | 10 | 2.165 | 2.058 |
Disclaimer/Publisher’s Note: The statements, opinions and data contained in all publications are solely those of the individual author(s) and contributor(s) and not of MDPI and/or the editor(s). MDPI and/or the editor(s) disclaim responsibility for any injury to people or property resulting from any ideas, methods, instructions or products referred to in the content. |
© 2023 by the authors. Licensee MDPI, Basel, Switzerland. This article is an open access article distributed under the terms and conditions of the Creative Commons Attribution (CC BY) license (http://creativecommons.org/licenses/by/4.0/).
