Submitted:
18 April 2023
Posted:
18 April 2023
You are already at the latest version
Abstract
Keywords:
Introduction
Methodology
Geometrical Generation
Mesh Generation and Validation
Numerical Methods
- CFD-DEM Method
Machine Learning Method

| No. | MLAs | Hyper-Parameters | |
| 1 | k-NN | No. of Neighbors: | 2 |
| 2 | RF | No. of estimators: | 8 |
| 3 | GPR | Kernel type: No. of restarts optimizer |
DotProduct (sigma=1) + RBF(length scale=1), 2 |
| 4 | MLP | Sizes of Hidden layer: No. of hidden layers: Max iterations: learning rate: |
(100,) 1 10000 0.0001 |
Results and Discussion
1.1. Velocity Analysis
1.1.1. Velocity Analysis for Non-Realistic Model and Realistic Model
1.1.2. Velocity Analysis for Various Selected Parameters of the Discrete Element Method (DEM)
1.2. Pressure Analysis
1.3. Wall Shear Analysis
2. Particle Analysis
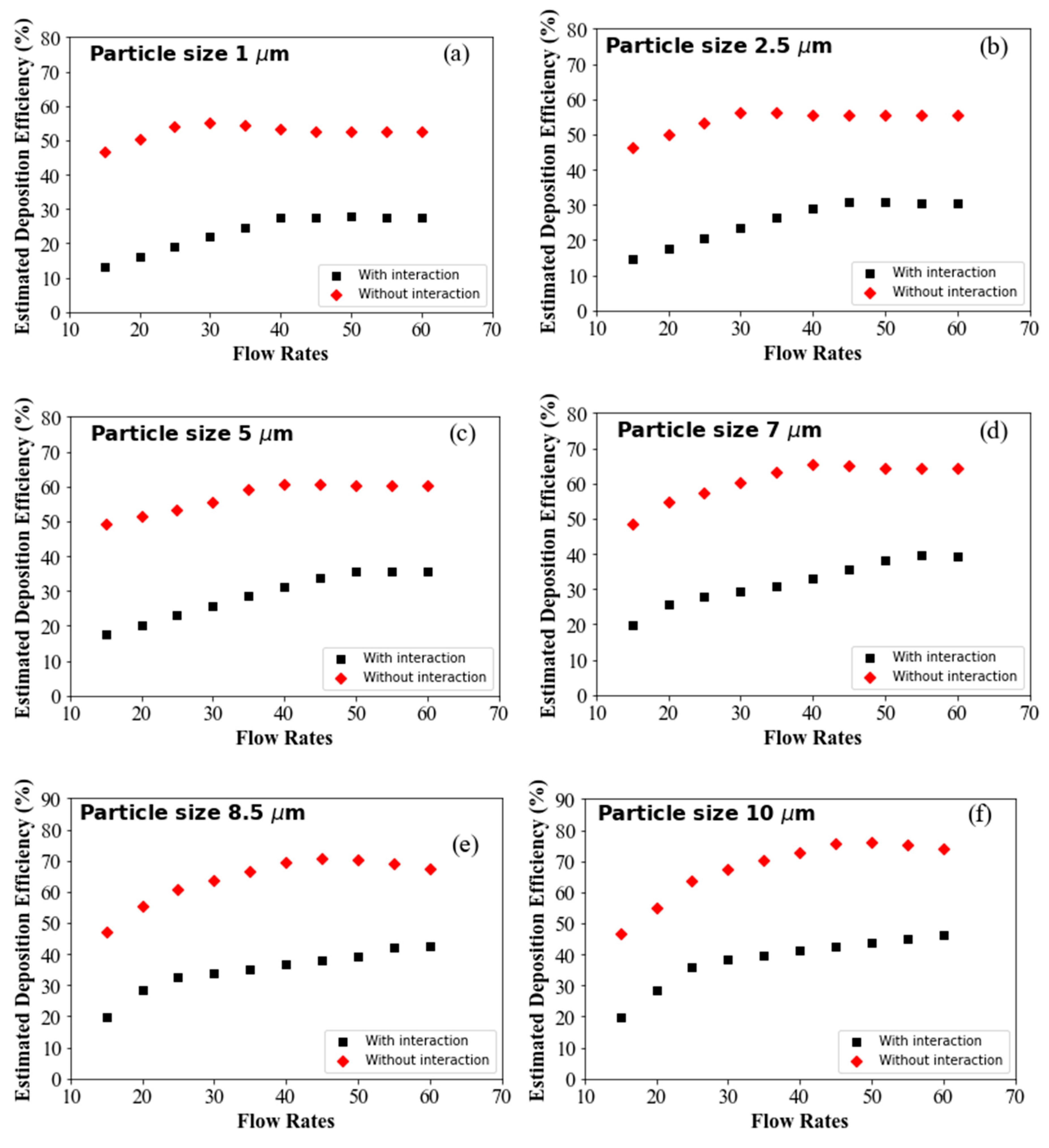
2.1. Particle with Interaction and without Interaction
2.2. Particle Interaction for Uniform Injection and Parabolic Injection
2.3. Particle Interaction for Different Initial Parameters
| Particle DE (%) | |||||||
|---|---|---|---|---|---|---|---|
| k = 50 | k = 100 | k = 200 | k = 300 | k = 400 | k = 500 | k = 800 | k = 1000 |
| 42.98 | 58.36 | 49.80 | 54.44 | 63.48 | 66.73 | 73.13 | 76.87 |
DE Prediction Using ML Regression Model
Conclusions
- The fluid flow field for the particle-particle interaction model is found significantly complex than the without-interaction model. The CFD model shows a uniform flow field in the upper part of the airways, while the CFD-DEM model shows the flow field is highly complex in the upper airways;
- The velocity profile for CFD-DEM model at various selected positions of the first bifurcation is highly complex than the CFD model. The uniform and parabolic inhalation method also shows the variation of the flow profiles;
- The higher value of the spring constant significantly influences the flow fields. With the high spring constant value, multiple vortices are generated at the upper airways;
- The overall DE for the particle-particle interaction model is higher than the without-interaction model. The DE also increases with the flow rate and particle diameter irrespective of the CFD and CFD-DEM models;
- Inhalation and injection method influences the DE in upper airways. For larger diameter aerosol and parabolic injection method, higher DE is observed at the upper part of the airways than uniform injection;
- For a high spring constant value, the particle-particle interaction is found significantly higher at the upper part of the first bifurcation. Higher deposition concentration is observed at the upper part of the airway, and the opposite scenario is observed for the lower spring constant value.
- The particle-particle interaction and DE at the upper part of the first bifurcation are found higher for the spring dashpot friction-dshf method than other interaction methods.
Data Availability Statement
Acknowledgment
Conflicts of Interest
References
- Chen, W.; Chang, C.; Mutuku, J.K.; Lam, S.S.; Lee, W. Aerosol deposition and airflow dynamics in healthy and asthmatic human airways during inhalation. J. Hazard. Mater. 2021, 416, 125856. [Google Scholar] [CrossRef] [PubMed]
- Chen, X.; Zhong, W.; Zhou, X.; Jin, B.; Sun, B. CFD-DEM simulation of particle transport and deposition in pulmonary airway. Powder Technol. 2012, 228, 309–318. [Google Scholar] [CrossRef]
- Corda, J.V.; Shenoy, B.S.; Ahmad, K.A.; Lewis, L.; Prakashini, K.; Khader, S.A.; Zuber, M.J.C.M. Nasal airflow comparison in neonates, infant and adult nasal cavities using computational fluid dynamics. J Comput. Methods Programs Biomed. 2022, 214, 106538. [Google Scholar] [CrossRef] [PubMed]
- Cundall, P.A.; Strack, O.D.L. A discrete numerical model for granular assemblies. Geotechnique 1979, 29, 47–65. [Google Scholar] [CrossRef]
- Feng, Y.; Kleinstreuer, C. Micron-particle transport, interactions and deposition in triple lung-airway bifurcations using a novel modeling approach. J. Aerosol Sci. 2014, 71, 1–15. [Google Scholar] [CrossRef]
- Garcia, G.J.; Bailie, N.; Martins, D.A.; Kimbell, J.S. Atrophic rhinitis: A CFD study of air conditioning in the nasal cavity. J. Appl. Physiol. 2007, 103, 1082–1092. [Google Scholar] [CrossRef]
- Ghahramani, E.; Abouali, O.; Emdad, H.; Ahmadi, G. Numerical analysis of stochastic dispersion of micro-particles in turbulent flows in a realistic model of human nasal/upper airway. J. Aerosol Sci. 2014, 67, 188–206. [Google Scholar] [CrossRef]
- Gemci, T.; Ponyavin, V.; Chen, Y.; Chen, H.; Collins, R. Computational model of airflow in upper 17 generations of human respiratory tract. J. Biomech. 2008, 41, 2047–2054. [Google Scholar] [CrossRef]
- Heyder, J.; Gebhart, J.; Rudolf, G.; Schiller, C.F.; Stahlhofen, W. Deposition of particles in the human respiratory tract in the size range 0.005–15 μm. J. Aerosol Sci. 1986, 17, 811–825. [Google Scholar] [CrossRef]
- Inthavong, K.; Zhang, K.; Tu, J. Numerical modelling of nanoparticle deposition in the nasal cavity and the tracheobronchial airway. Comput. Methods Biomech. Biomed. Eng. 2011, 14, 633–643. [Google Scholar] [CrossRef]
- Islam, M.; Larpruenrudee, P.; Hossain, S.; Rahimi-Gorji, M.; Gu, Y.; Saha, S.; Paul, G. Polydisperse Aerosol Transport and Deposition in Upper Airways of Age-Specific Lung. Int. J. Environ. Res. Public Health 2021, 18, 6239. [Google Scholar] [CrossRef] [PubMed]
- Islam, M.S.; Saha, S.C.; Sauret, E.; Ong, H.; Young, P.; Gu, Y. Euler–Lagrange approach to investigate respiratory anatomical shape effects on aerosol particle transport and deposition. Toxicol. Res. Appl. 2019, 3, 2397847319894675. [Google Scholar] [CrossRef]
- Islam, M.S.; Paul, G.; Ong, H.X.; Young, P.M.; Gu, Y.T.; Saha, S.C. A review of respiratory anatomical development, air flow characterisation and particle deposition. Int. J. Environ. Res. Public Health 2020, 17, 380. [Google Scholar] [CrossRef]
- Kleinstreuer, C.; Zhang, Z.; Li, Z. Modeling airflow and particle transport/deposition in pulmonary airways. Respir. Physiol. Neurobiol. 2008, 163, 128–138. [Google Scholar] [CrossRef] [PubMed]
- Koullapis, P.; Hofemeier, P.; Sznitman, J.; Kassinos, S.C. An efficient computational fluid-particle dynamics method to predict deposition in a simplified approximation of the deep lung. Eur. J. Pharm. Sci. 2018, 113, 132–144. [Google Scholar] [CrossRef]
- Larpruenrudee, P.; Islam, M.S.; Paul, G.; Paul, A.R.; Gu, Y.T.; Saha, S.C. Model for Pharmaceutical aerosol transport through stenosis airway. In Handbook of Lung Targeted Drug Delivery Systems: Recent Trends and Clinical Evidences; CRC Press: Boca Raton, FL, USA, 2021; pp. 91–128. [Google Scholar]
- Ma, B.; Lutchen, K.R. CFD simulation of aerosol deposition in an anatomically based human large-medium airway model. Ann. Biomed. Eng. 2009, 37. [Google Scholar] [CrossRef]
- Murphy, K.R.; Eivindson, A.; Pauksens, K.; Stein, W.J.; Tellier, G.; Watts, R.; Léophonte, P.; Sharp, S.J.; Loeschel, E. Efficacy and safety of inhaled zanamivir for the treatment of influenza in patients with asthma or chronic obstructive pulmonary disease. Clin. Drug Investig. 2000, 20, 337–349. [Google Scholar] [CrossRef]
- Newman, S.P. Principles of metered-dose inhaler design. Respir. Care 2005, 50, 1177–1190. [Google Scholar]
- Rahman, M.M.; Zhao, M.; Islam, M.S.; Dong, K.; Saha, S.C. Nanoparticle transport and deposition in a heterogeneous human lung airway tree: An efficient one path model for CFD simulations. Eur. J. Pharm. Sci. 2022, 177, 106279. [Google Scholar] [CrossRef]
- Sakagami, M. In vivo, in vitro and ex vivo models to assess pulmonary absorption and disposition of inhaled therapeutics for systemic delivery. Adv. Drug Deliv. Rev. 2006, 58, 1030–1060. [Google Scholar] [CrossRef]
- Sécher, T.; Mayor, A.; Heuzé-Vourc’h, N. Inhalation of immuno-therapeutics/-prophylactics to fight respiratory tract infections: An appropriate drug at the right place! Front. Immunol. 2019, 10, 2760. [Google Scholar] [CrossRef]
- Stahlhofen, W.; Gebhart, J.; Heyder, J. Biological variability of regional deposition of aerosol particles in the human respiratory tract. Am. Ind. Hyg. Assoc. J. 1981, 42, 348–352. [Google Scholar] [CrossRef] [PubMed]
- Stahlhofen, W.; Gebhart, J.; Rudolf, G.; Scheuch, G. Measurement of lung clearance with pulses of radioactively-labelled aerosols. J. Aerosol Sci. 1986, 17, 333–336. [Google Scholar] [CrossRef]
- Telko, M.J.; Hickey, A.J. Dry powder inhaler formulation. Respir. Care 2005, 50, 1209–1227. [Google Scholar] [PubMed]
- Toshitsugu, T.; Kimiaki, W. DEM simulation of granular flow (reduction of calculation cost by reducing spring constant). J. Soc. Powder Technol. 2018, 55, 455–460. [Google Scholar] [CrossRef]
- Van Ertbruggen, C.; Hirsch, C.; Paiva, M. Anatomically based three-dimensional model of airways to simulate flow and particle transport using computational fluid dynamics. J. Appl. Physiol. (1985) 2005, 98, 970–980. [Google Scholar] [CrossRef]
- Vulović, A.; Šušteršič, T.; Cvijić, S.; Ibrić, S.; Filipović, N. Coupled in silico platform: Computational fluid dynamics (CFD) and physiologically-based pharmacokinetic (PBPK) modelling. Eur. J. Pharm. Sci. 2018, 113, 171–184. [Google Scholar] [CrossRef]
- Weibel, E.R. Morphometry of the Human Lung; Springer Verlag and Academic Press: New York, NY, USA, 1963. [Google Scholar]
- Zhu, H.P.; Zhou, Z.Y.; Yang, R.Y.; Yu, A.B. Discrete particle simulation of particulate systems: Theoretical developments. Chem. Eng. Sci. 2007, 62, 3378–3396. [Google Scholar] [CrossRef]



















| Parameter | Values |
|---|---|
| Spring-dashpot (n/m) | 100–4000 |
| Spring-dashpot: η | 0.9 |
| Friction-dshf: µstick | 0.5 |
| Friction-dshf: µglide | 0.2 |
| Friction-dshf: µlimit | 0.1 |
| Friction-dshf: vglide (m/s) | 1 |
| Friction-dshf: vlimit (m/s) | 10 |
| Friction-dshf: slopelimit (m/s) | 100 |
| Particle time step size (s) | 0.0001 |
| DEM Edge scale factor | 1.5 |
| Particle maximum velocity (m/s) | 100 |
| Maximum number of steps | 50,000,000 |
| Step length factor | 5 |
| Properties | Air | Aerosol |
|---|---|---|
| Density (kg/m3) | 1.225 | 1100 |
| Viscosity (kg/m-s) | 1.7893 × 10-5 | - |
Disclaimer/Publisher’s Note: The statements, opinions and data contained in all publications are solely those of the individual author(s) and contributor(s) and not of MDPI and/or the editor(s). MDPI and/or the editor(s) disclaim responsibility for any injury to people or property resulting from any ideas, methods, instructions or products referred to in the content. |
© 2023 by the authors. Licensee MDPI, Basel, Switzerland. This article is an open access article distributed under the terms and conditions of the Creative Commons Attribution (CC BY) license (http://creativecommons.org/licenses/by/4.0/).