Preprint Article Version 1 Preserved in Portico This version is not peer-reviewed

Microwave-assisted Synthesis, Structural Characterization of Amino Pyridines, Pyrrolidine, Piperidine, Morpholine, Acetamides, and Assessment of Their Antibacterial Activity

Version 1 : Received: 28 September 2020 / Approved: 5 October 2020 / Online: 5 October 2020 (11:51:12 CEST)

A peer-reviewed article of this Preprint also exists.

Alsamarrai, A.S.H.; Abdulghani, S.S. Microwave-Assisted Synthesis, Structural Characterization and Assessment of the Antibacterial Activity of Some New Aminopyridine, Pyrrolidine, Piperidine and Morpholine Acetamides. Molecules 2021, 26, 533. Alsamarrai, A.S.H.; Abdulghani, S.S. Microwave-Assisted Synthesis, Structural Characterization and Assessment of the Antibacterial Activity of Some New Aminopyridine, Pyrrolidine, Piperidine and Morpholine Acetamides. Molecules 2021, 26, 533.

Journal reference: Molecules 2021, 26, 533
DOI: 10.3390/molecules26030533

Abstract

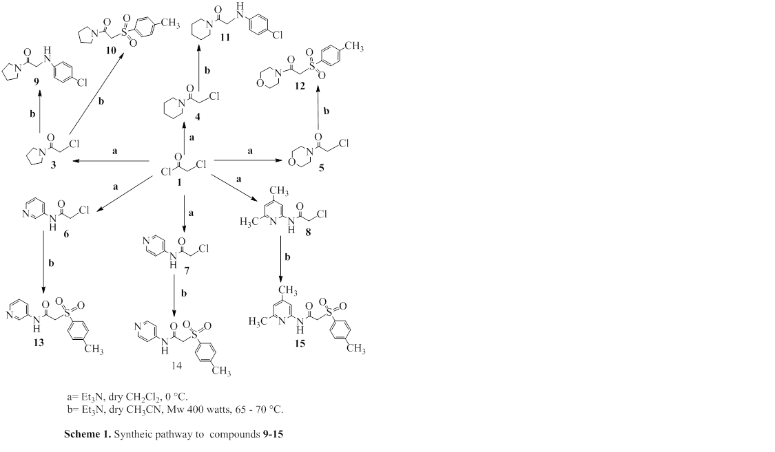
A sequence of new acetamide derivatives 9-15 of primary, secondary amine, and para-toluene sulphinate sodium salt have been synthesized under microwave irradiation and assessed in vitro for their antibacterial activity against one Gram-positive and two Gram-negative bacterial species such as S. pyogenes, E. coli, and P.mirabilis using the Mueller-Hinton Agar diffusion (well diffusion) method. The synthesized compounds with significant differences in inhibition diameters and MICs were compared with those of amoxicillin, ampicillin, cephalothin, azithromycin and doxycycline. All of the evaluated acetamide derivatives were used with varying inhibition concentrations of 6.25, 12.5, 37.5, 62.5, 87.5, 112.5 and 125 µg/ml. The results show that the most important antibacterial properties exercised by the synthetic compounds 9 and 11 bearing para-chlorophenyl moiety incorporated into the 2-position moiety of acetamide 2. The molecular structures of the new compounds were determined using FT-IR, 1H-NMR techniques.

Keywords

acetamide; pyridine; pyrrolidine; piperidine; antibacterial activity; heterocycles

Subject

CHEMISTRY, Analytical Chemistry

Comments (0)

We encourage comments and feedback from a broad range of readers. See criteria for comments and our diversity statement.

Leave a public comment
Send a private comment to the author(s)
Views 0
Downloads 0
Comments 0
Metrics 0


×
Alerts
Notify me about updates to this article or when a peer-reviewed version is published.
We use cookies on our website to ensure you get the best experience.
Read more about our cookies here.