Preprint
Article

This version is not peer-reviewed.

Effects of Vehicle-Induced Vibrations on the Tensile Performance of Early Age PVA-ECC

A peer-reviewed article of this preprint also exists.

Submitted:

01 August 2019

Posted:

05 August 2019

Read the latest preprint version here

Abstract
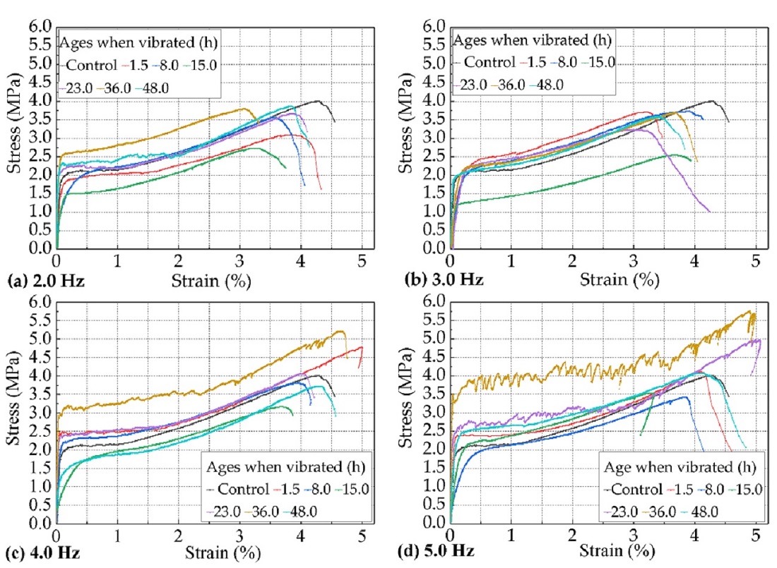
The purpose of this study was to conduct laboratory test programs on how much vehicle-induced vibrations during early ages affected the tensile performance of Polyvinyl alcohol-engineering cementitious composites (PVA-ECC). A self-improved device was used to simulate the vehicle-induced vibrations, and after vibrating with the designed variables, both a uniaxial tensile test and a grey correlation analysis were performed. The results indicated that: the effects of vehicle-induced vibrations on the tensile performance of early age PVA-ECC were significant, and they generally tended to be negative in this investigation. In particular, for all of the vibrated PVA-ECC specimens, the most negative age when vibrated occurred during the period between the initial set and the final set. In this period, the effects of the vibration duration on the tensile performance of the PVA-ECC tended to be negative overall, but the impact trend and the degree varied for the corresponding lengths of duration and levels of frequency. The cracking strength was the most sensitive to the variables in this investigation, and then it followed the ultimate tensile strength and strain. The grey correlation analysis was applicable in analyzing the effects of vehicle-induced vibrations on the tensile performance of early age PVA-ECC.
Keywords: 
;  ;  ;  ;  
Copyright: This open access article is published under a Creative Commons CC BY 4.0 license, which permit the free download, distribution, and reuse, provided that the author and preprint are cited in any reuse.
Prerpints.org logo

Preprints.org is a free preprint server supported by MDPI in Basel, Switzerland.

Subscribe

Disclaimer

Terms of Use

Privacy Policy

Privacy Settings

© 2026 MDPI (Basel, Switzerland) unless otherwise stated