Preprint
Article

This version is not peer-reviewed.

Evaluation of the Cooling and Pavement Performance of Basic Oxygen Furnaces Slag Used in Asphalt Mixture

A peer-reviewed article of this preprint also exists.

Submitted:

18 September 2017

Posted:

18 September 2017

You are already at the latest version

Abstract
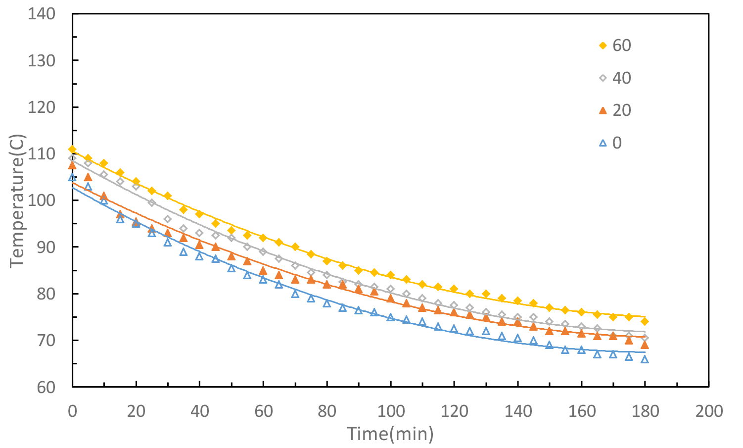
The basic oxygen furnace slag (BOF) was wide used in road construction, but there was a lack of characteristics in different asphalt mixtures. This study investigates the properties of hot-mixed asphalt (HMA) containing stone mastic asphalt (SMA), porous asphalt (PA) and dense-graded BOF as a partial substitution for natural aggregates. The purpose of this study is to evaluate various BOF slag contents in the asphalt mixtures would affect the cooling behavior after compaction. Asphalt mixture specimens contained 0%, 20%, 40% and 60% BOF slag, respectively, as coarse aggregate. Test results showed that BOF slag has a lipophilic property, so it can be adsorbed by asphalt cement, thereby reducing the cost of asphalt. The stability value of all asphalt mixtures increases with the proportion of BOF slag replacement. In addition, the voids in the mineral aggregate (VMA) value variable exhibited significant differences among asphalt mixtures, and could determine the deviation of the cooling trend of asphalt mixtures. Furthermore; it was found that the cooling procedure of the BOF slag used in dense-graded asphalt mixture takes about 100 min, and that the temperature tends to be moderate; however, it took about 120 min of cooling the SMA and PA mixture with BOF slag. In addition, the voids distribution of dense asphalt mixture was not uniform. It would result in various locations of thermal energy temperature on asphalt mixtures that were inconsistent.
Keywords: 
;  ;  
Copyright: This open access article is published under a Creative Commons CC BY 4.0 license, which permit the free download, distribution, and reuse, provided that the author and preprint are cited in any reuse.
Prerpints.org logo

Preprints.org is a free preprint server supported by MDPI in Basel, Switzerland.

Subscribe

Disclaimer

Terms of Use

Privacy Policy

Privacy Settings

© 2026 MDPI (Basel, Switzerland) unless otherwise stated