Submitted:
15 September 2025
Posted:
16 September 2025
Read the latest preprint version here
Abstract
Keywords:
1. Introduction
2. Formulation of the Problem
3. Approximate Solutions
3.1. Finite Parameter Space
3.2. Infinite Parameter Space
4. Bayesian Input Signal Design in Quasi-Linear Control Systems
5. Comparison with Classical Methods of Input Signal Design
6. Examples of Input Signal Design
6.1. Elementary Example
6.2. Optimal Input Design for Atomic Sensor Model
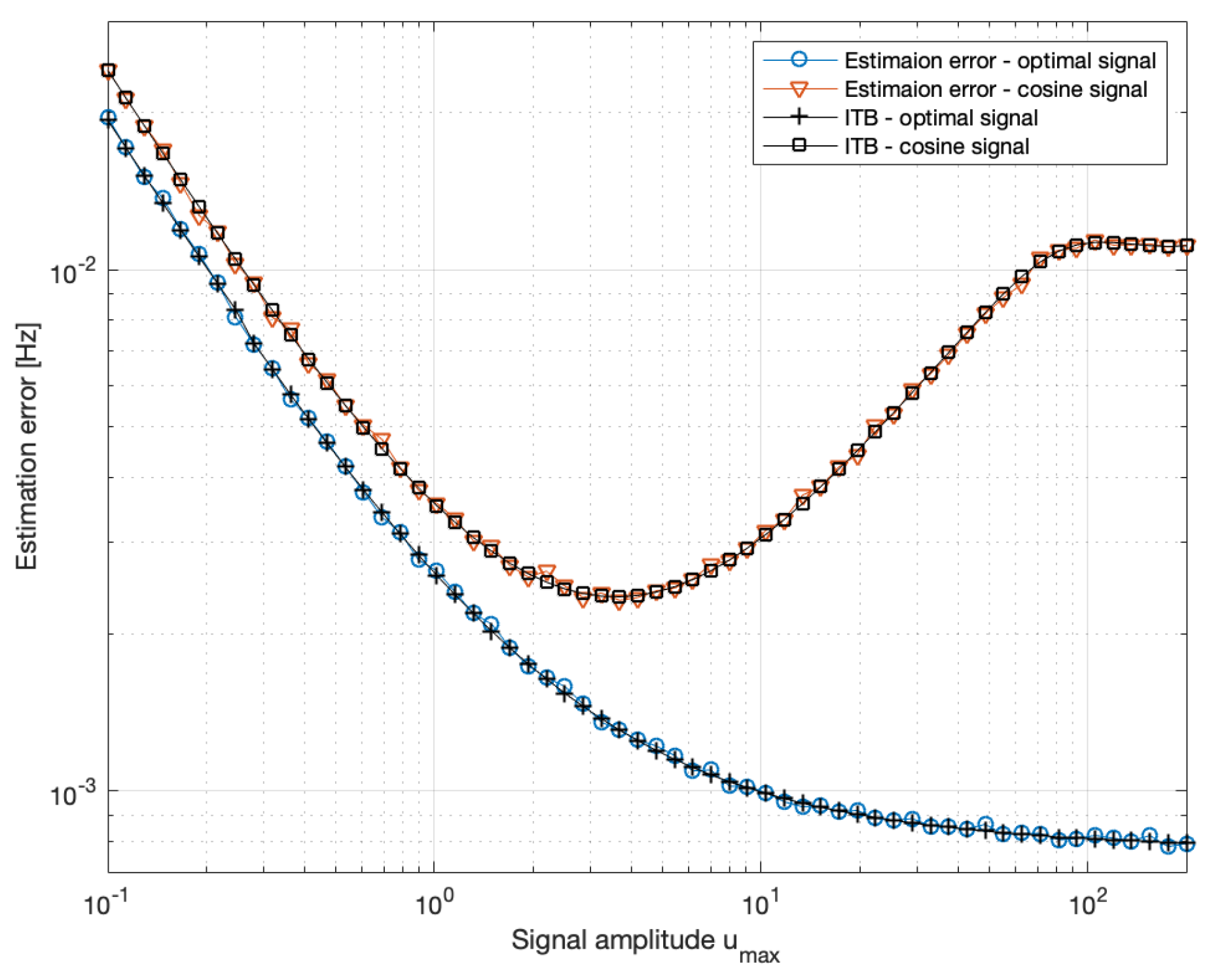
6.3. Bayesian Input Signal Design for Pump Laser in Optically Pumped Magnetometer
7. Discussion and Conclusions
Author Contributions
Funding
Data Availability Statement
Acknowledgments
Conflicts of Interest
Abbreviations
Appendix A. Proofs
Appendix B. An example of the gap between ITB and BCRB
Appendix C. Discretization of linear SDE
References
- Goodwin, G.C.; Payne, R.L. Dynamic System Identification: Experiment Design and Data Analysis; Academic Press: New York, 1977.
- Ljung, L. System Identification: Theory for the User, second ed.; Prentice Hall PTR, 1999.
- Söderström, T.; Stoica, P. System Identification; Prentice-Hall international series in systems and control engineering, Prentice-Hall, 1989.
- Pronzato, L. Optimal experimental design and some related control problems. Automatica 2008, 44, 303–325. [Google Scholar] [CrossRef]
- Huan, X.; Jagalur, J.; Marzouk, Y. Optimal experimental design: Formulations and computations. Acta Numerica 2024, 33, 715–840. [Google Scholar] [CrossRef]
- Rainforth, T.; Foster, A.; Ivanova, D.R.; Bickford Smith, F. Modern Bayesian Experimental Design. Statistical Science 2024, 39, 100–114. [Google Scholar] [CrossRef]
- Fedorov, V.V.; Hackl, P. Model-oriented design of experiments; Vol. 125, Springer, 1997.
- Lindley, D.V. On a Measure of the Information Provided by an Experiment. The Annals of Mathematical Statistics 1956, 27, 986–1005. [Google Scholar] [CrossRef]
- Arimoto, S.; Kimura, H. Optimum input test signals for system identification - An information-theoretical approach. International Journal of Systems Science 1971, 1, 279–290. [Google Scholar] [CrossRef]
- Chaloner, K.; Verdinelli, I. Bayesian Experimental Design: A Review. Statistical Science 1995, 10, 273–304. [Google Scholar] [CrossRef]
- Ryan, E.; Drovandi, C.; McGree, J.; Pettitt, A. A Review of Modern Computational Algorithms for Bayesian Optimal Design. International Statistical Review 2015, 84. [Google Scholar] [CrossRef]
- Kolchinsky, A.; Tracey, B.D. Estimating Mixture Entropy with Pairwise Distances. Entropy 2017, 19. [Google Scholar] [CrossRef]
- Kolchinsky, A.; Tracey, B.D. Estimating Mixture Entropy with Pairwise Distances. arXiv preprint arXiv:1706.02419, v4, 22 August 2018. 2017; arXiv:1706.02419. [Google Scholar]
- Altafini, C.; Ticozzi, F. Modeling and Control of Quantum Systems: An Introduction. IEEE Transactions on Automatic Control 2012, 57, 1898–1917. [Google Scholar] [CrossRef]
- Dong, D.; Petersen, I.R. Quantum control theory and applications: A survey. IET Control Theory & Applications 2010, 4, 2651–2671. [Google Scholar] [CrossRef]
- Friedly, J.C. Dynamic Behavior of Processes; Prentice-Hall International Series in the Physical and Chemical Engineering Sciences, Prentice-Hall: Englewood Cliffs, NJ, 1972; p. 590.
- Lorenz, S.; Diederichs, E.; Telgmann, R.; Schütte, C. Discrimination of Dynamical System Models for Biological and Chemical Processes. Journal of Computational Chemistry 2007, 28, 1384–1399. [Google Scholar] [CrossRef] [PubMed]
- Bania, P. Bayesian Input Design for Linear Dynamical Model Discrimination. Entropy 2019, 21, 351. [Google Scholar] [CrossRef]
- Blackmore, L.; Williams, B. Finite Horizon Control Design for Optimal Model Discrimination. In Proceedings of the 44th IEEE Conference on Decision and Control, Seville, Spain, 2005. [CrossRef]
- Bania, P.; Baranowski, J. Field Kalman Filter and its approximation. In Proceedings of the 2016 IEEE 55th Conference on Decision and Control (CDC), 2016, pp. 2875–2880. [CrossRef]
- Bania, P.; Baranowski, J. Bayesian estimator of a faulty state: Logarithmic odds approach. In Proceedings of the Proc. of 22nd Int. Conf. on Methods and Models in Automation and Robotics (MMAR), Międzyzdroje, Poland, 2017; pp. 253–257.
- Baranowski, J.; Bania, P.; Prasad, I.; Cong, T. Bayesian fault detection and isolation using Field Kalman Filter. EURASIP Journal on Advances in Signal Processing 2017, 2017. [Google Scholar] [CrossRef]
- Bania, P. An Information Based Approach to Stochastic Control Problems. International Journal of Applied Mathematics and Computer Science 2020, 30, 23–34. [Google Scholar] [CrossRef]
- Bania, P. Information-Theoretic Lower Bounds of the Quadratic Cost in Stochastic Control with Partial Observation. In Advanced, Contemporary Control; Lecture Notes in Networks and Systems, Springer, 2023; pp. 66–75. [CrossRef]
- Bania, P. Information-Theoretic Lower Bounds of the Quadratic Cost in Stochastic Control with Partial Observation. In Advanced, Contemporary Control: Proceedings of the XXI Polish Control Conference, Gliwice, Poland, 26–29 June 2023, Volume 2; Springer Nature Switzerland, 2023; Vol. 709, Lecture Notes in Networks and Systems, pp. 66–75. [CrossRef]
- Cover, T.M.; Thomas, J.A. Elements of Information Theory, 2 ed.; John Wiley & Sons, Inc.: Hoboken, New Jersey, 2006. [Google Scholar]
- Lee, K.Y. New Information Inequalities with Applications to Statistics. Phd thesis, University of California, Berkeley, 2022. EECS Department, UC Berkeley Technical Report.
- van Trees, H.L. Detection, Estimation and Modulation Theory; Vol. I, Wiley, 1968.
- Efroimovich, S.Y. Information Contained in a Sequence of Observations. Problemy Peredachi Informatsii 1979, 15, 24–39. [Google Scholar]
- Bayesian Bounds for Parameter Estimation and Nonlinear Filtering/Tracking; Van Trees, H.L., Bell, K.L., Eds.; Wiley-IEEE Press: Hoboken, NJ, 2007. [Google Scholar]
- Jiménez-Martínez, R.; Kołodyński, J.; Troullinou, C.; Lucivero, V.G.; Kong, J.; Mitchell, M.W. Signal Tracking Beyond the Time Resolution of an Atomic Sensor by Kalman Filtering. Phys. Rev. Lett. 2018, 120, 040503. [Google Scholar] [CrossRef]
- Truullinou, C.; Shah, V.; Lucivero, V.G.; Mitchell, M.W. Squeezed-Light Enhancement and Backaction Evasion in a High-Sensitivity Optically Pumped Magnetometer. Phys. Rev. Lett. 2021, 127, 193601. [Google Scholar] [CrossRef]
- Bobrovsky, B. Z.; Mayer–Wolf, E.; Zakai, M. Some Classes of Global Cramér–Rao Bounds. The Annals of Statistics 1987, 15, 1421–1438. [Google Scholar] [CrossRef]
- Davis, P.J.; Rabinowitz, P. Methods of Numerical Integration, 2nd ed.; Academic Press: Orlando, FL, 1984. [Google Scholar]
- Stroud, A.H. Approximate Calculation of Multiple Integrals; Prentice Hall: Englewood Cliffs, NJ, 1971. [Google Scholar]
- Smolyak, S.A. Quadrature and interpolation formulas for tensor products of certain classes of functions. Soviet Mathematics Doklady 1963, 4, 240–243. [Google Scholar]
- Jansson, H. Experiment Design with Applications in Identification for Control; Royal Institute of Technology (KTH), 2004.
- Annergren, M.; Larsson, C.A. MOOSE2—A toolbox for least-costly application-oriented input design. SoftwareX 2016, 5, 96–100. [Google Scholar] [CrossRef]
- Fabricant, A.; Novikova, I.; Bison, G. How to build a magnetometer with thermal atomic vapor: A tutorial. New Journal of Physics 2023, 25, 025001. [Google Scholar] [CrossRef]
- Budker, D.; Jackson Kimball, D.F., Eds. Optical Magnetometry; Cambridge University Press, 2013. [CrossRef]
- Särkkä, S. Bayesian Filtering and Smoothing; Vol. 3, Institute of Mathematical Statistics Textbooks, Cambridge University Press, 2013. [CrossRef]







| Parameter | Abbreviation | Typical value |
|---|---|---|
| Number of atoms | ||
| Spin number | F | 1 |
| Larmor frequencies | kHz | |
| Parameter | 600 Hz | |
| Parameter | 550 Hz | |
| Typical relaxation time | 0.87 ms | |
| Typical relaxation rate | 1149 Hz | |
| Pumping rate | P | 0-100 kHz |
| Measurement noise level | ||
| Sampling time |
Disclaimer/Publisher’s Note: The statements, opinions and data contained in all publications are solely those of the individual author(s) and contributor(s) and not of MDPI and/or the editor(s). MDPI and/or the editor(s) disclaim responsibility for any injury to people or property resulting from any ideas, methods, instructions or products referred to in the content. |
© 2025 by the authors. Licensee MDPI, Basel, Switzerland. This article is an open access article distributed under the terms and conditions of the Creative Commons Attribution (CC BY) license (http://creativecommons.org/licenses/by/4.0/).
