Submitted:
11 August 2025
Posted:
13 August 2025
You are already at the latest version
Abstract
Keywords:
1. Raising the Problem
1.1. Research Background
1.2. Literature Review
1.2.1. Community Environment
1.2.2. Quality and Measurement of Community Management
1.2.3. Community Service Quality and Measurement
2. Hypothesis, Data and Method
2.1. Research Hypothesis
| Category | Variable name | Construction Method | Mean | Standard |
|---|---|---|---|---|
| Community Management and Service quality |
Community management and service quality |
No effect, not very good, fair, fairly good, very good, on a scale of 1 to 5 |
3.68 | 1.05 |
| Overall appearance |
Community planning(sqgh) |
The value ranges from 1 to 5: very poor, poor, fair, good, very good |
3.81 | 0.99 |
| Community health (sqws) |
The value ranges from 1 to 5: very poor, poor, fair, good, very good |
3.70 | 1.03 | |
| Community Civilization (sqwm) |
Same as above | 3.88 | 0.94 | |
| Governance Democracy (glmz) |
Same as above | 3.78 | 1.00 | |
| Infrastructure | Through Optical Network (gxwl) |
Same as above | 3.62 | 1.22 |
| Parking Conditions (tctj) |
Same as above | 3.31 | 1.15 | |
| Property Management (wygl) |
Same as above | 3.24 | 1.23 | |
| Security Monitoring (abjk) |
Same as above | 3.52 | 1.12 | |
| Living facilities |
kindergarten (yey) | Same as above | 3.12 | 1.36 |
| Nursing home (yly) | Same as above | 2.53 | 1.29 | |
| Hypermarket (dxcs) | Same as above | 2.98 | 1.34 | |
| Community Health Station (sqylz) |
Same as above | 3.47 | 1.15 | |
| Community Room (sqhds) |
Same as above | 3.56 | 1.10 | |
| Cultural environment |
Neighborhood Relations (llgx) |
Same as above | 3.84 | 0.87 |
| Social Participation of Residents (shcy) |
Same as above | 3.78 | 0.92 | |
| Community Organization Leadership (zzld) |
Same as above | 3.88 | 0.88 | |
| Self-government of the population (zzqk) |
Same as above | 3.75 | 0.90 | |
| Resident and Community Relations (sqgx) |
Same as above | 3.68 | 1.05 |
2.2. Research Methods
2.2.1. Random Forest Model
2.2.2. Mlogit Model
2.2.3. Ordered Logit Model
3. Empirical Analysis
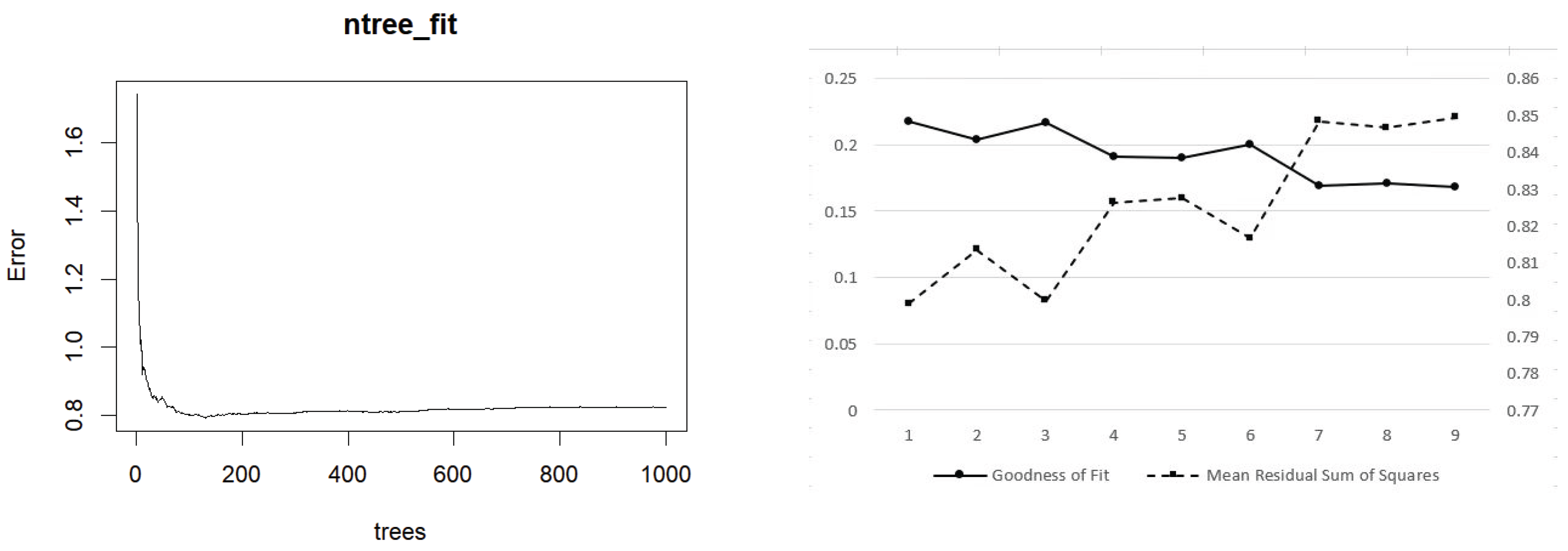
3.1. Parameter Setting of Random Forest Model
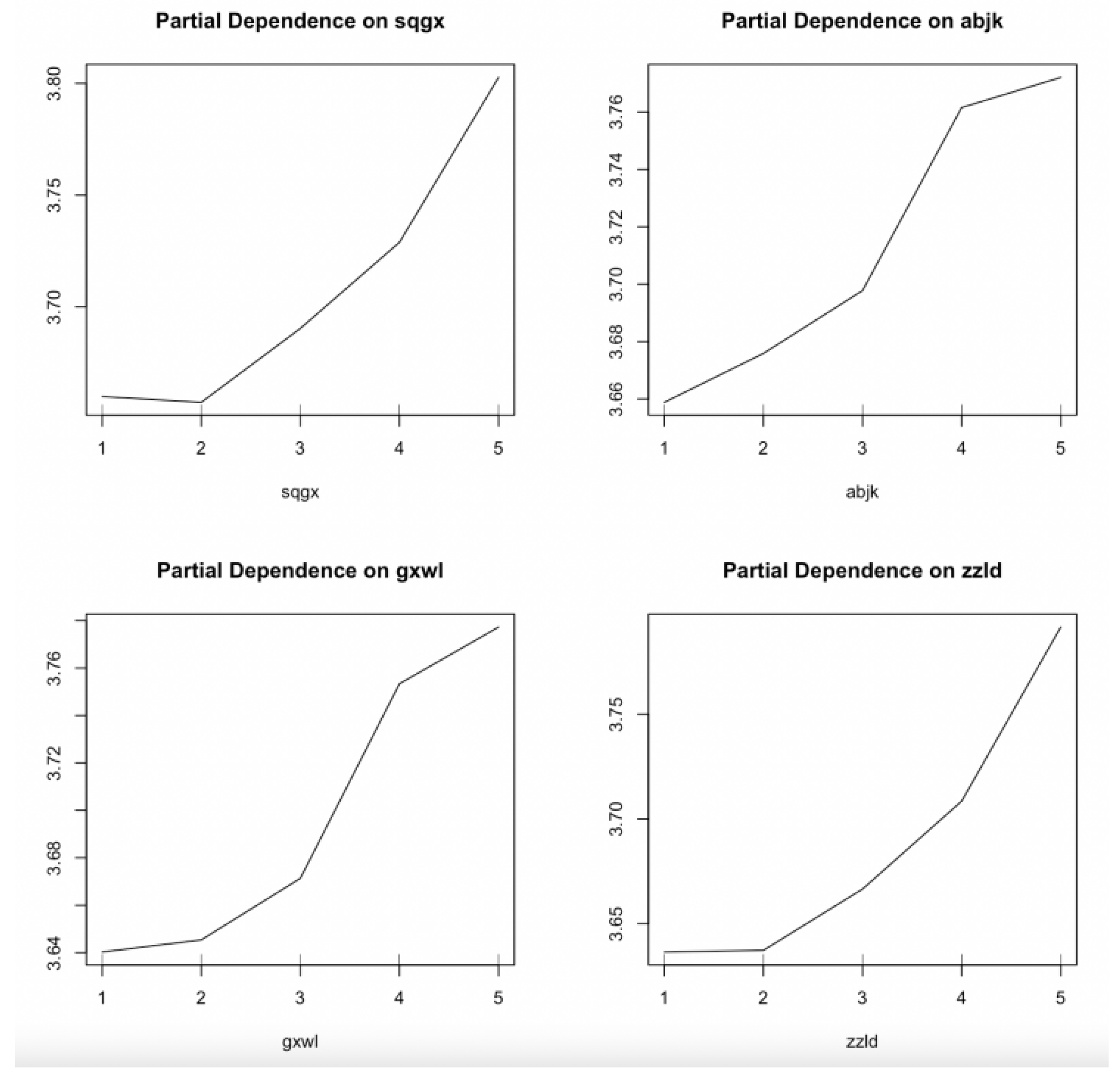
3.2. Importance Identification of Community Management and Service Quality
3.2.1. Benchmark Results
| Variable | Coefficient | IncNodePurity |
|---|---|---|
| sqgh | -0.058 | 11.460 |
| sqws | 0.141 | 9.793 |
| sqwm | 0 | 12.527 |
| glmz | 0 | 10.742 |
| gxwl | 0.225 | 12.298 |
| tctj | -0.152 | 8.644 |
| wygl | -0.025 | 9.448 |
| abjk | 0.097 | 11.582 |
| yey | -0.032 | 9.865 |
| yly | -0.052 | 9.105 |
| dxcs | -0.041 | 9.666 |
| sqylz | 0.091 | 10.101 |
| sqhds | 0 | 10.122 |
| llgx | 0.052 | 9.771 |
| shcy | -0.108 | 9.947 |
| zzld | 0.038 | 13.410 |
| zzqk | 0.080 | 14.148 |
| sqgx | 0.291 | 14.446 |
3.2.2. Heterogeneity Analysis
3.3. Path Analysis of Community Management and Service Quality Optimization
4. Conclusions and Suggestions
4.1. Research Conclusions
4.2. Research Suggestions
Ethics Approval and Consent to Participate
Consent for Publication
Author Contributions
Funding
Acknowledgments
Conflicts of Interest
References
- Frank, L.D.; Schmid, T.L.; Sallis, J.F.; Chapman, J.; Saelens, B.E. Linking objectively measured physical activity with objectively measured urban form: Findings from SMARTRAQ. American Journal of Preventive Medicine 2005, 28, 117–125. [Google Scholar] [CrossRef] [PubMed]
- Yang, X.; Liu, H. Health Resource Geographic Allocation and Health Outcome: An Empirical Analysis Based on Cross-province Data. Chinese Health Economics 2016, 35, 63–65. [Google Scholar]
- Irvine, K.N.; Warber, S.L.; Patrick, D.W.; Gaston, K.J. Understanding urban green space as a health resource: A qualitative comparison of visit motivation and derived effects among park users in Sheffield, UK. International Journal of Environmental Research and Public Health 2013, 10. [Google Scholar] [CrossRef] [PubMed]
- Lin, X.; Yang, J. Built Environment And Public Health Review And Planning In North American Metropolitan Areas. Planners 2015, 31, 12–19. [Google Scholar]
- Zhang, Y.; Liu, N.; Long, Y. Research on Healthy Neighborhood Evaluation System Based on the Combined Perspectives of Urban Planning and Public Health. Landscape Architecture 2020, 27, 96–103. [Google Scholar]
- Bray, D. Building ’community’: New strategies of governance in urban China. Economy and Society 2006, 35, 530–549. [Google Scholar] [CrossRef]
- Lian, X.; Li, D.; Di, W.; et al. Research on influential factors of satisfaction for residents in unit Communities—Taking ningbo city as an example. Sustainability 2022, 14, 6687. [Google Scholar] [CrossRef]
- Ye, J. Governance ability of rural-to-residential communities: Dimensions, influencing factors and improvement paths. Zhongzhou Academic Journal 2021, 59–65. [Google Scholar]
- Wang, P.; Li, T. Research on the Interrelationship between Party Organizations and Neighborhood Committees in Chinese Urban Communities—Based on Community Case Analysis in C, N and B Cities. Hebei Journal 2021, 41, 191–199. [Google Scholar]
- Wang, S. Building a community: The Effective Path of Promoting Party Building and Leading Community Autonomy in the New Era. Strives Realism 2021, 42, 110–152. [Google Scholar]
- Wang, K.; Sun, S.; Xu, R. Research on precise supply of community public services: Micro-logic and fine way. Journal of Fuyang Normal University (Social Science) 2020, 109–117. [Google Scholar]
- He, J.; Shao, Y. Three-dimensional model of intelligent supply in community public service and construction of operating mechanism system. Journal of Gansu Administration Institute 2019, 64–75. [Google Scholar]
- Kuo, Y.C.; Chou, J.S.; Sun, K.S. Elucidating how service quality constructs influence resident satisfaction with condominium management. Expert Systems with Applications 2011, 38, 5755–5763. [Google Scholar] [CrossRef]
- Christenson, J.A. Urbanism and Community Sentiment: Extending Wirth’s Model. Social Science Quarterly 1979, 60, 387–400. [Google Scholar]
- van Goethem, A.A.; van Hoof, A.; Orobio de Castro, B.; et al. Quality is Key-The Impact of Community Service, Community Service Quality, and Reflection on Adolescents’ Volunteering Intentions. International Journal of Developmental Science 2014, 8, 137–147. [Google Scholar] [CrossRef]
- Parsons, F. Choosing A Vocation; Houghton Mifflin, 1909.
- Cable, D.M.; DeRue, D.S. The convergent and discriminant validity of subjective fit perceptions. Journal of Applied Psychology 2002, 87, 875. [Google Scholar] [CrossRef] [PubMed]
- Ali, I. Examining the role of person-environment fit in improving teaching satisfaction and subjective wellbeing: Person environment fit and subjective wellbeing. International Journal of Asian Business and Information Management 2017, 8, 1–14. [Google Scholar] [CrossRef]
- Padmasiri, M.D.; Kailasapathy, P.; Jayawardana, A. Development of the person–family fit construct: An extension of person–environment fit into the family domain. South Asian Journal of Human Resources Management 2019, 6, 156–176. [Google Scholar] [CrossRef]
- Inoue, M.; Kunie, K.; Takemura, Y.; et al. The influence of learning circumstances and on-the-job opportunities for professional growth on perceived person–environment fit among hospital nurses: A longitudinal study. Journal of Nursing Management 2021, 29, 776–784. [Google Scholar] [CrossRef] [PubMed]
- Breiman, L. Random forests. Machine learning 2001, 45, 5–32. [Google Scholar] [CrossRef]





| Variable | %IncMSE | IncNodePurity |
|---|---|---|
| sqgh | 4.567 | 11.460 |
| sqws | 5.067 | 9.793 |
| sqwm | 7.300 | 12.527 |
| glmz | 5.207 | 10.742 |
| gxwl | 6.610 | 12.298 |
| tctj | 4.136 | 8.644 |
| wygl | 4.122 | 9.448 |
| abjk | 6.760 | 11.582 |
| yey | 3.248 | 9.865 |
| yly | 2.759 | 9.105 |
| dxcs | 4.067 | 9.666 |
| sqylz | 3.600 | 10.101 |
| sqhds | 2.542 | 10.122 |
| llgx | 3.327 | 9.771 |
| shcy | 6.044 | 9.947 |
| zzld | 6.431 | 13.410 |
| zzqk | 9.382 | 14.148 |
| sqgx | 7.819 | 14.446 |
| (1) | (2) | (3) | (4) | (OLS) | |
|---|---|---|---|---|---|
| 1/5 | 2/5 | 3/5 | 4/5 | ||
| sqgh | -1.942** | -2.197*** | -1.833** | -1.932** | -0.053 |
| (0.893) | (0.820) | (0.812) | (0.846) | (0.083) | |
| sqws | 0.651 | 1.661** | 1.479** | 1.824** | 0.164** |
| (0.812) | (0.747) | (0.733) | (0.767) | (0.082) | |
| gxwl | -0.399 | 0.305 | 0.705 | 1.194** | 0.272*** |
| (0.609) | (0.551) | (0.546) | (0.578) | (0.056) | |
| tctj | 0.714 | 0.016 | -0.199 | -0.474 | -0.180*** |
| (0.865) | (0.732) | (0.717) | (0.728) | (0.065) | |
| wygl | -1.236 | -0.970 | -0.556 | -1.009 | 0.014 |
| (0.931) | (0.849) | (0.841) | (0.858) | (0.061) | |
| abjk | 0.521 | 0.625 | 0.574 | 1.264** | 0.115* |
| (0.627) | (0.576) | (0.572) | (0.607) | (0.060) | |
| yey | 0.185 | -0.363 | -0.236 | -0.201 | -0.022 |
| (0.470) | (0.404) | (0.397) | (0.413) | (0.046) | |
| yly | 0.528 | 0.502 | 0.307 | 0.134 | -0.062 |
| (0.543) | (0.470) | (0.460) | (0.475) | (0.048) | |
| dxcs | -0.347 | 0.099 | -0.039 | 0.111 | -0.008 |
| (0.495) | (0.428) | (0.425) | (0.447) | (0.050) | |
| sqylz | 0.126 | 0.253 | 0.488 | 0.222 | 0.050 |
| (0.583) | (0.518) | (0.511) | (0.537) | (0.059) | |
| llgx | 0.514 | 0.587 | 0.561 | 0.252 | 0.043 |
| (0.997) | (0.929) | (0.921) | (0.960) | (0.089) | |
| 1/5 | 2/5 | 3/5 | 4/5 | ||
| shcy | -0.072 | -0.948 | -0.784 | -1.478* | -0.129 |
| (0.784) | (0.738) | (0.728) | (0.776) | (0.088) | |
| zzld | -0.247 | 0.926 | 1.328 | 1.434** | 0.043* |
| (0.989) | (0.932) | (0.921) | (0.934) | (0.022) | |
| zzqk | -0.603 | -1.074 | -1.151 | -0.307 | 0.099 |
| (1.043) | (0.996) | (0.986) | (1.051) | (0.110) | |
| sqgx | 0.299 | 0.774 | 0.998 | 1.964** | 0.283*** |
| (0.861) | (0.877) | (0.869) | (0.972) | (0.0105) | |
| changshuxiang | 7.830* | 5.476 | -0.329 | -8.095* | 1.331*** |
| (4.414) | (3.975) | (3.960) | (4.277) | (0.418) | |
| N | 312 0.364 0.314 7.177*** (df = 23; 288) |
||||
| R2 | |||||
| F | |||||
| Variable | Cofficient | Variable | Cofficient |
|---|---|---|---|
| sqgh | 0.035 (0.191) |
dxcs | -0.081 (0.117) |
| sqws | 0.257 (0.191) |
sqylz | 0.182 (0.144) |
| gxwl | 0.662*** (0.132) |
llgx | 0.014 (0.212) |
| tctj | -0.465*** (0.157) |
shcy | -0.403* (0.213) |
| wygl | 0.014 (0.149) |
zzld | 0.477* (0.262) |
| abjk | 0.285** (0.140) |
zzqk | 0.409 (0.263) |
| yey | -0.102 (0.109) |
sqgx | 0.481* (0.249) |
| yly | -0.133 (0.111) |
| Important feature ranking |
Mlogit model, | Ordered logit model |
Random forest model |
|---|---|---|---|
| 1 | sqgx | gxwl | zzqk |
| 2 | gxwl | abjk | sqgx |
| 3 | sqws | sqgx | sqwm |
| 4 | zzld | zzld | abjk |
| 5 | abjk | zzqk | gxwl |
Disclaimer/Publisher’s Note: The statements, opinions and data contained in all publications are solely those of the individual author(s) and contributor(s) and not of MDPI and/or the editor(s). MDPI and/or the editor(s) disclaim responsibility for any injury to people or property resulting from any ideas, methods, instructions or products referred to in the content. |
© 2025 by the authors. Licensee MDPI, Basel, Switzerland. This article is an open access article distributed under the terms and conditions of the Creative Commons Attribution (CC BY) license (http://creativecommons.org/licenses/by/4.0/).
