Preprint
Article

This version is not peer-reviewed.

Designing Spoonable Milk Kefir Gels: From Fermentation Optimization to Clean‑Label Gel Structuring with Psyllium

A peer-reviewed article of this preprint also exists.

Submitted:

29 July 2025

Posted:

30 July 2025

You are already at the latest version

Abstract
Kefir is a fermented dairy product whose structural properties can be tailored to enhance its nutritional and sensory profile. This study aimed to develop spoonable kefir gels by optimizing fermentation conditions and incorporating psyllium and calcium chloride as structuring agents. In a first step, a full factorial design was used to compare whole and skimmed milk during kefir fermentation, evaluating the effects of inoculum level, temperature, and fermentation time on acidification kinetics through pH and total acidity measurements. Skimmed milk exhibited faster acidification under equivalent conditions, supporting its suitability for reduced-fat formulations. In the second phase, kefir obtained under optimized conditions was gelled with varying concentrations of psyllium and calcium chloride. Rheological characterization was carried out through small-amplitude oscillatory shear and steady-shear flow tests to assess gel strength, viscoelastic balance, and resistance to deformation. The results showed that both psyllium and calcium chloride significantly enhanced the gel network, with interactive effects evident in viscoelastic moduli and flow consistency. Response surface methodology allowed the identification of optimal formulation zones and revealed compositional domains in which low-fat kefir gels with desirable textural and processing attributes could be achieved. These findings support the development of synbiotic, functional dairy gels.
Keywords: 
;  ;  ;  

1. Introduction

Milk kefir is a traditional fermented milk beverage produced by inoculating milk with kefir “grains”, a symbiotic consortium of lactic acid bacteria, yeasts, and acetic acid bacteria embedded in a polysaccharide-protein matrix known as kefiran. The fermentation process yields a mildly acidic, slightly effervescent drink with a characteristic flowing consistency (pourable viscosity) rather than a firm gel [1]. Kefir has attracted interest for its probiotic qualities and health benefits; studies have reported improved lactose digestion, modulation of cholesterol metabolism, immune support, and other positive effects from regular kefir consumption [2]. From a nutritional perspective, milk kefir is characterized by its high protein content. The vitamin content of kefir is also significant, with folic acid and B vitamins being particularly noteworthy [3]. In addition to these nutrients, kefir is rich in minerals such as calcium and phosphorus, which are essential for various bodily functions [4]. Notwithstanding the aforementioned benefits, kefir is predominantly consumed in its liquid form, a factor which may constrain its utilization. In order to expand the application of kefir as a functional foodstuff, researchers are exploring methods of transforming kefir into spoonable or gelled products without compromising its probiotic integrity [5,6].
The production of kefir is traditionally accomplished through the fermentation of milk by kefir grains, which consist of a complex symbiotic matrix of lactic acid bacteria (LAB), acetic acid bacteria, and yeasts embedded in a polysaccharide-protein matrix primarily composed of kefiran [7]. This microbial consortium initiates multiple simultaneous metabolic pathways, including glycolysis, proteolysis, and lipolysis, resulting in a wide range of metabolites such as lactic acid, ethanol, carbon dioxide, and various aroma compounds. It is imperative to note that, amongst these factors, the progressive accumulation of organic acids (primarily lactic and acetic acids) assumes particular significance for both the sensory characteristics and the microbiological safety of the final product. Monitoring the pH level is of paramount importance during the fermentation process of kefir, as it undergoes a decline in pH as the process of acid production intensifies [8]. The decline in pH has been demonstrated to play a pivotal role in the process of protein aggregation and the destabilization of casein micelles. These phenomena are of paramount importance in the context of the development of viscosity and the potential gelation that occurs within fermented milk systems. Concurrently, total acidity (TA) is used to estimate the concentration of free and bound protons, thereby functioning as a complementary indicator of the extent of fermentation. Whilst pH is indicative of the present hydrogen ion concentration, TA provides a more comprehensive measure of acid content and buffering capacity. These are both essential for controlling the fermentation process and maintaining microbial viability. The utilization of skimmed milk as a fermentation substrate carries with it specific ramifications for the production of kefir. Skimmed milk, being low in fat, has been shown to possess a reduced buffering capacity in comparison with whole milk. This reduced capacity can result in an accelerated rate of pH decrease during the fermentation process. Furthermore, the absence of milk fat alters the availability of certain substrates and may modulate the metabolic activity of the microbial consortium. Nonetheless, earlier research has demonstrated that LAB and yeasts exhibit a high degree of adaptability in skimmed milk environments [9], achieving adequate acidification and microbial growth to yield a stable and functional kefir product. Despite the fact that the absence of fat may result in kefir with reduced viscosity and diminished creamy mouthfeel, these sensory limitations can be addressed by incorporating dietary fibers or hydrocolloids, which enhance texture and water retention without compromising fermentation [10]. It is important to note that the successful development of kefir gels using skimmed milk offers a promising avenue for creating low-fat, functional fermented products with enhanced nutritional value. In this context, it is imperative to comprehend the acidification kinetics and pH behavior during the fermentation process, as these parameters exert a direct influence on the structural development and the eventual rheological properties of the product.
One way to create a gel-like structure in kefir is to add natural hydrocolloid fibers, which thicken or gel the aqueous phase. Building on this concept, we propose using psyllium husk as a gelling agent in kefir. Psyllium (derived from Plantago ovata seeds) is a soluble dietary fiber renowned for its exceptional water-holding and gel-forming capacity. Psyllium husk is chemically rich in highly branched arabinoxylans (largely composed of xylose and arabinose sugars), which form viscous mucilage when hydrated [11]. Psyllium can create a strong gel network due to its long-chain, cross-linkable polymer structure [12]. This gel-forming property of psyllium is closely tied to its health benefits. In the gastrointestinal tract, psyllium’s viscous gel resists fermentation and remains largely intact, allowing it to modulate digestion and absorption [13]. Clinical studies have demonstrated that psyllium supplementation can significantly lower LDL cholesterol (with reductions of up to 24% in LDL levels) and improve glycemic control by trapping bile acids and slowing carbohydrate absorption respectively. Furthermore, psyllium normalizes bowel function: it relieves constipation by softening stools and alleviates diarrhea by adding bulk. For this reason, psyllium fiber is recommended for managing irritable bowel syndrome and chronic constipation [14]. These multifaceted health effects have earned psyllium recognition as a functional fiber, approved by regulatory agencies for health claims [15]. This study also examines the addition of calcium chloride (CaCl2) to further enhance the gel structure of a kefir–psyllium system. Calcium ions (Ca2+) are well known to strengthen gel networks in various food systems by acting as cross-linking agents. Calcium fortification has also been reported to increase the firmness and viscosity of fermented milk gels such as yoghurt, although the effect can depend on the form and timing of calcium addition [16]. In the context of polysaccharide gels, Ca2+ can interact with negatively charged functional groups on polymer chains, creating cross-links between chains. Psyllium’s chemical structure includes uronic acids or other sites that can bind cations, and the presence of Ca2+ dramatically influences psyllium gel properties [13].
A fundamental element of this research endeavor pertains to the rheological characterization of the kefir formulations, with the objective of quantifying their gel properties and flow behavior. Rheology is a critical tool in the field of food science, as it enables the correlation of composition and microstructure to texture and stability [17]. Researchers have noted that rheological measurements are essential for the development and optimization of food products, given their impact on processing and consumer perception [18]. In this study, we utilize small-amplitude oscillatory shear tests and steady shear flow tests to evaluate the viscoelastic and flow characteristics of kefir with added psyllium and CaCl2. Oscillatory stress sweeps (or strain sweeps) are performed to identify the linear viscoelastic region (LVR) and determine the yield stress/strain at which the gel structure begins to break down. Frequency sweep tests (within the LVR) allow for the measurement of the storage modulus G′ (elastic response) and loss modulus G″ (viscous response) across a range of frequencies. This reveals the material’s gel-like nature and structural stability. In order to form a gel, it is expected that G′ will dominate over G″ (G′ >> G″), and that there will be little frequency dependence, indicating solid-like behavior.
This work is structured around two sequential objectives. Firstly, an attempt was made to optimize kefir fermentation in both whole and skimmed milk by applying a three-factor factorial design (grain inoculum, temperature, and fermentation time) and using pH and total acidity as response variables to quantify acidification kinetics and directly compare the two milk matrices. Secondly, building on the optimized fermentation conditions, the objective was to engineer spoonable kefir-based gels by incorporating psyllium husk and calcium chloride. A central composite design was implemented to map the individual and interactive effects of these factors on small-amplitude viscoelastic properties and on steady-shear flow. The overarching objective was to identify composition domains that maximize gel strength and processing robustness while preserving the characteristic acidity profile. Across both stages, response-surface methodology was used to develop predictive models and to derive practical formulation and processing guidelines. These included a standardized psyllium hydration period prior to rheological testing. This supported the rational design of low-fat, synbiotic kefir gels.

2. Results and Discussion

2.1. Optimization of the Fermentation Process

A comparative study was conducted to evaluate the effects of fermentation conditions, namely time (t), temperature (T), and kefir grain concentration (g), on the physicochemical properties of kefir made from whole and skimmed milk. The two response variables were: pH and total acidity (expressed as lactic acid equivalents).
As anticipated, a decline in pH was evident in conjunction with escalating fermentation intensity, characterized by elevated grain percentages, augmented temperatures, and protracted fermentation durations (see Table 1). The lowest pH values were found in experiment 8 (48 h, 26°C, 10 wt.%), indicating intense fermentation, while the highest pH values were observed in experiment 1 (12 h, 20°C, 1 wt.%), under milder fermentation conditions. The pH trajectories exhibited by both skimmed and whole milk kefir samples were comparable, indicating that the fat content does not exert a substantial influence on the acidification kinetics. It is noteworthy that kefir samples attained safe consumption pH values (≤ 4.5) within the initial 24 hours under sufficiently intense fermentation conditions. It is evident from the data that there was a clear upward trend in total acidity, which was concomitant with an increase in fermentation intensity. Experiment 8 yielded the highest acidity values, while Experiment 1 yielded the lowest. Mid-range values were recorded in the two central-point replicates (experiments 9 and 10). A comparative analysis of the acidity profiles revealed that both milk types exhibited comparable outcomes, though a greater degree of variability was observed in whole milk. This variability may be attributed to the complex buffering and particulate nature of the medium. Of particular significance was the observation of a non-linear inverse relationship between pH and total acidity, whereby a modest decrease in pH (~2.6 units) was accompanied by a ~20-fold increase in total acidity. This finding underscores the notion that acidity perception is more closely associated with total acid content than with pH alone. This finding serves to reinforce the feasibility of utilizing skimmed milk in the production of kefir, even in cases where grains have been originally adapted to whole milk. The results suggest that fermentation is predominantly driven by the aqueous phase and its constituents (lactose and proteins), rather than the fat phase.
A full factorial statistical analysis was conducted to quantitatively assess the influence of fermentation parameters on the physicochemical properties of kefir. The models were developed independently for kefir produced with skimmed and whole milk. For skimmed milk kefir, the regression equation for pH indicated that all three variables contributed to its reduction, with fermentation time being the most influential factor, as evidenced by its largest negative coefficient (–0.61). The model demonstrated a robust fit, with an R2 value of 0.903 and an adjusted R2 of 0.854, indicating that the variability in pH was effectively explained by the experimental factors. The response surface plots confirmed this trend: an increase in either fermentation time or temperature resulted in a progressive decrease in pH, reflecting the intensified acidification process. In a similar manner, an increase in kefir grain percentage contributed to further acidification, albeit to a lesser extent.
p H = 4.65 0.32 g 0.39 T 0.61 t
When evaluating whole milk kefir, a similar model was obtained, with fermentation time again emerging as the most significant variable (coefficient = –0.74). The statistical robustness of the model was confirmed by R2 and adjusted R2 values of 0.921 and 0.882, respectively. Response surface analyses revealed a consistent reduction in pH with increasing values of all three independent variables. These findings underscore the observation that, irrespective of the fat content of the milk, fermentation kinetics in terms of acidification exhibit analogous trends. The comparable behavior exhibited by both milk types indicates that milk fat does not significantly influence microbial acid production or metabolic activity during the fermentation process.
p H = 4.68 0.28 g 0.36 T 0.74 t
With regard to total acidity (TA), the regression model for skimmed milk kefir demonstrated that all three variables – fermentation time, temperature, and grain percentage – exerted a positive effect on acidity, with fermentation time once again proving to be the most dominant. The model demonstrated an optimal fit (R2 = 0.990; adjusted R2 = 0.969), signifying elevated predictive reliability. The response surfaces demonstrated that an increase in fermentation time resulted in a significant rise in acid production, with temperature and grain concentration exerting secondary, but nevertheless notable, effects.
T A = 7.50 + 2.28 g + 2.13 + 4.16 t
In the case of kefir produced using whole milk, the acidity model exhibited a comparable structure, with time demonstrating the most significant positive coefficient. In contrast to the findings of the pH models, interaction terms between variables were found to be statistically significant, suggesting a more complex interplay in the development of acidity. The model demonstrated robust performance, evidenced by R2 = 0.992 and adjusted R2 = 0.975. The response surfaces revealed that total acidity increased in proportion to the rise in fermentation time, temperature, and grain concentration. These patterns were consistent with the experimental data and mirrored those observed for skimmed milk kefir, thereby reinforcing the hypothesis that the milk’s fat content does not notably affect microbial acidification dynamics.
T A = 7.77 + 2.38 g + 2.90 T + 4.47 t + 1.03 · g · T + 1.27 · g · t + 1.80 · T · t
The comparison between pH and total acidity models revealed an inverse relationship between these parameters, as would be expected in lactic fermentations. While pH is indicative of the concentration of free protons in the medium, total acidity quantifies both free and bound protons from organic acids. In this context, an observation was made of a gradual decline in pH, attributable to the buffering capacity of milk, which is primarily ascribed to proteins and mineral salts. These substances neutralize a proportion of the acid load in the initial phase. Conversely, total acidity exhibited a more marked and linear increase over time, providing a more sensitive indicator of microbial metabolic activity.
The statistical analysis confirmed that fermentation time is the most critical factor influencing both pH and total acidity of kefir, followed by temperature and kefir grain concentration. Furthermore, the observation that the fermentation behavior of skimmed and whole milk is comparable lends further credence to the hypothesis that the type of milk does not have a substantial effect on fermentation behavior. This finding supports the use of skimmed milk in experimental designs targeting low-fat kefir formulations.

2.2. Gel formation and Rheological Characterization

The second experimental design sought to evaluate the impact of psyllium and calcium chloride (CaCl2) concentrations on the physicochemical characteristics of skimmed milk kefir. The experimental phase was developed using the fermentation conditions that had been optimized in the preliminary design, which were as follows: 5.5% kefir grains, 26°C, and 24 hours of fermentation. The selection of these conditions was driven by the objective of achieving a balance between sufficient microbial activity and sensory acceptability, thereby avoiding the elevated acidity levels that have been previously associated with extended fermentation times. In order to establish a baseline, the “blank sample” (kefir produced under the aforementioned conditions but without the addition of psyllium or calcium) was evaluated. The blank sample exhibited a pH of 4.08 ± 0.02 and a titratable acidity of 9.99 ± 0.09 g lactic acid·L−1, which is in accordance with the expected values for well-fermented kefir. This finding serves to confirm the suitability and reproducibility of the chosen fermentation conditions. Subsequently, the effect of psyllium and CaCl2 incorporation on the pH of kefir was investigated. pH measurements were conducted both immediately after the addition of the additives (t = 0) and after a two-hour hydration period. Across the three samples analyzed, only minor variations were observed. In two cases, a slight increase in pH was detected (e.g., from 4.10 to 4.20 and from 4.11 to 4.23), whereas the third sample remained essentially stable. The findings indicate that neither psyllium nor CaCl2 caused a substantial acidification or neutralization of the matrix within the two-hour period. This stability is of technological interest, as it implies that the incorporation of these additives does not adversely alter the acidity profile of the final product, thereby maintaining its characteristic sensory attributes.
The rheology of skimmed-milk kefir systems formulated with psyllium and calcium chloride (CaCl2) was investigated to quantify the modulation of small-amplitude structure and flow behavior by these factors. Prior to the comparison of formulations within the experimental design, a robust hydration protocol for psyllium was established, given that its water uptake kinetics strongly influence the reproducibility of viscoelastic measurements. Mechanical spectra, defined as frequency sweeps at constant stress, are shown in Figure 1 for a kefir blank sample (26°C, 24°h, 5.5% grains) containing 0.0375 wt.% CaCl2 and 2 wt.% psyllium. The experiment was conducted in two phases: initially, the kefir base was subjected to stress without the addition of psyllium (t=0); subsequently, the kefir base was subjected to stress after the addition of 2 wt.% psyllium. Tests were conducted at a constant shear stress of 0.2 Pa to ensure operation within the linear viscoelastic region (LVR). In the absence of psyllium, the kefir exhibited liquid-like behavior (G″>G′ across most of the spectrum). It is noteworthy that, in a striking demonstration of rapidity, the ordering underwent an inversion a mere minute following the addition of psyllium (G′’>G″ at all frequencies that were examined), accompanied by a surge in both moduli that exceeded an order of magnitude. The progressive growth of G′ and G″ continued for several tens of minutes; beyond approximately 40 min, the spectra no longer evolved beyond the experimental error. Consequently, a 45-minute rest period was implemented for all subsequent measurements to ensure complete and reproducible hydration of psyllium prior to rheological testing.
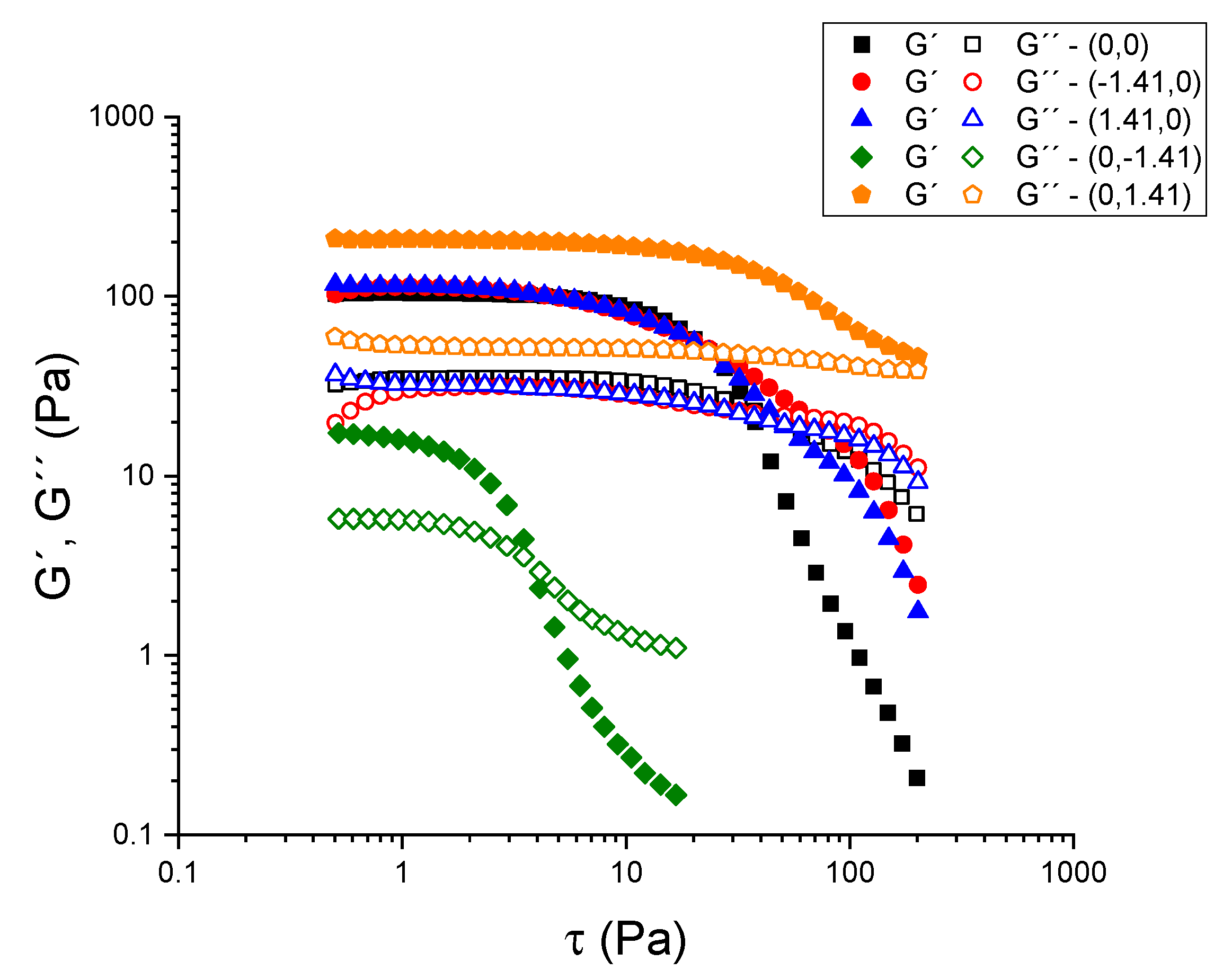
Subsequently, stress sweep tests were performed at 1 Hz to identify the LVR and determine the critical stress (τc) at which the microstructure begins to break down. Figure 2 shows stress scans for selected samples based on calcium chloride and psyllium concentrations, in accordance with the experimental design. In the range of CaCl2 and psyllium concentrations that were examined, all samples exhibited a measurable LVR, wherein G′ and G″ remained virtually constant with increasing stress. This was followed by a sharp decrease in G′, indicating the onset of irreversible structural breakdown. The amplitude of the LVR and the magnitude of τc provide complementary metrics of the robustness of the network under processing-like disturbances (filling, pumping, vibration), while G′ in the LVR (G′LVR) measures the small-deformation stiffness of the gelatinous matrix.
A response surface analysis (RSM) was performed using psyllium and CaCl2 concentrations as independent variables and τc, G′LVR, and the loss tangent at 1 Hz as responses (see Table 2).
The loss tangent (tan δ), is defined as the ratio of the loss to the storage modulus (= G″/G′). It has been demonstrated that this parameter quantifies the balance between viscous dissipation and elastic energy storage. Values below 1 indicate an elastic dominance, and, consequently, predominantly solid-like (gel) behavior. The analysis of the results yielded three empirical equations, based on a quadratic model, which relate these rheological parameters to the concentrations of calcium chloride (CaCl2) and psyllium (Psy):
τ c = 3,54 + 2.98 · P s y + 0.91 · P s y 2
G ' R V L = 128.9 + 72.2 · P s y 57.8 · C a C l 2 · P s y
tan δ = 0,26 0,01 · C a C l 2 0,03 · P s y + 0,02 · C a C l 2 · P s y + 0.01 · C a C l 2 2 + 0.02 · ( P s y ) 2
For a constant concentration of CaCl2, an increase in psyllium resulted in elevated values of both G′LVR and τc. In stress sweeps, this manifested as higher plateau G′ in the LVR and a rightward shift of the yielding point, indicating a denser and more cohesive network capable of withstanding larger imposed stresses before catastrophic softening. The two-dimensional surface for τc shown in Figure 3 corroborates the primacy of psyllium concentration as the main lever to extend the LVR and delay yielding. In practical terms, formulating towards the higher end of the psyllium range systematically enlarged τc, even when CaCl2 was held constant. The physical interpretation is consistent with the high molecular weight and pronounced water-binding capacity of psyllium arabinoxylans, which promote chain entanglement and interparticle bridging in the protein–polysaccharide–fat droplet continuum of kefir.
Furthermore, Figure 4 demonstrates the two-dimensional surface area for G’LVR, illustrating the impact of both variables, particularly psyllium. The resulting increase in junction density and network connectivity has been shown to boost elastic energy storage under small deformations and to delay the strain-amplified rupture processes that define τc. From a product perspective, higher G′LVR implies firmer spoonable texture, and higher τc suggests improved resilience during handling, transport, and oral processing. The influence of CaCl2 was contingent upon the psyllium level. The response surfaces indicated that the maximum G′LVR occurred at elevated psyllium contents and comparatively low CaCl2 levels. Further increases in CaCl2 tended to reduce G′LVR, despite the presence of substantial polysaccharide. A mechanistic explanation for this process is that divalent Ca2+ screens the negatively charged arabinoxylan side chains and competes for hydration water, thereby compressing swollen coils and promoting micro-aggregation. In circumstances where calcium levels are elevated, the system may undergo a transition from a percolated, space-filling network to a cluster-based network, with ionic bridges serving as the primary interconnections. This transition results in a less efficient integration of the network, leading to a more heterogeneous and dissipative gel. Consequently, the G′ parameter within the LVR experiences a decline, indicating a reduction in the system’s ability to resist deformation. Comparable behaviors have been described in the literature, where excess ionic strength has been shown to collapse polysaccharide networks and depress viscoelastic moduli [19]. However, with other stabilizers at lower concentrations, the opposite effect has been observed [20].
The loss tangent integrates the elastic and viscous contributions into a single, dimensionless descriptor of “gel character.” In the context of food science, low tan δ values (less than 0.1) are indicative of strong, highly elastic gels, while values approaching unity suggest weak gels or paste-like materials. In the present study, tan δ values were found to be comparatively low and concentrated within a narrow window (0.24–0.33), with the lowest values being observed at high psyllium/low CaCl2 levels (see Figure 5). This region coincided with the peak of G′LVR. This alignment of low tan δ with high G′LVR is consistent with the formation of a well-connected, elastic network. While the tan δ surface was mathematically more complex than those of G’LVR and τc, its limited spread underscores that, within the design space explored, all formulations behaved as gels rather than viscous suspensions. These interpretations are in accordance with standard rheological practice, whereby tan δ is utilized as a rapid indicator of gel strength and water-holding ability in structured foods.
As illustrated in Figure 6, a series of frequency sweeps were conducted on specific formulations (selected to ascertain the impact of psyllium at constant CaCl2 and vice versa). Methodologically, the stress amplitude in the frequency sweeps was kept constant within the LVR identified for each sample, following the protocol validated in the hydration-time study (constant-stress frequency sweeps after ensuring the LVR by a prior stress sweep). This ensured that the frequency dependence of G′ and G″ reflected material structure rather than progressive damage during testing. Across all compositions that were analyzed, the storage modulus exceeded the loss modulus throughout the explored frequency window (G′>G″), and G′ demonstrated only a weak frequency dependence, which is characteristic of weak-gel behavior. In accordance with the earlier determination of tan δ at 1 Hz surface, the spectra position the formulations towards the ‘elastic-dominant’ side of viscoelasticity, with reduced tan δ (and consequently augmented gel character) systematically observed at elevated levels of psyllium and reduced levels of CaCl2. These mechanical spectra thus corroborate the hypothesis that the formulations form percolated networks at small deformations, and that increasing psyllium primarily strengthens the network. Conversely, Ca2+ additions in the studied range tend to attenuate the elastic response.
The analysis of flow curves illustrated in Figure 7 (apparent viscosity versus shear rate) revealed pronounced shear-thinning behavior in all samples. This behavior is dominated by progressive chain disentanglement and structural alignment under flow. The Cross model provided a comprehensive description of all datasets, whereby the transition of viscosity between a zero-shear plateau (η0) and a high-shear plateau (η) occurred, accompanied by a characteristic time constant t (1/t marking the initiation of the power-law regime) and a shear-thinning index m determining the gradient of the intermediate region:
η = η + η 0 η 1 + ( t · γ ˙ ) m
The favorable agreement with Cross suggests that the primary compositional effects are captured by the manner in which formulations set η0 and the extent and position of the shear-thinning regime.
In the context of the analysis, psyllium content emerged as the predominant factor influencing zero-shear viscosity as shown in the following equation:
η 0 = 333 210 · C a C l 2 + 484 · P s y 210 · C a C l 2 · P s y + 291 · P s y 2
The incorporation of psyllium resulted in an increase in apparent viscosity across the entire range of shear rates. This observation is indicative of a psyllium-induced densification and cohesion within the network, thereby enhancing its structural integrity. Conversely, the role of CaCl2 was secondary. In the context of a constant psyllium level (the coded center for psyllium), it was demonstrated that 0 wt.% CaCl2 and 2 wt.% psyllium exhibited higher viscosity than their counterparts with 0.0375 wt.% or 0.075 wt.% CaCl2, which showed very similar flow curves to each other. Consequently, within the experimental domain, the addition of Ca2+ appeared to decrease viscosity in comparison to the Ca-free formulation, irrespective of the psyllium level (see Figure 8). The response surface of the η0 mapped over the Central Composite Design (CCD) exhibited a clear maximum in the region of high psyllium and low CaCl2, thereby mirroring the qualitative trends seen in the flow curves. The fitted coefficients indicated a strong positive effect of psyllium and a negative effect of Ca2+ on η0 within the studied ranges, placing the ridge of highest zero-shear viscosity towards the upper-psyllium/lowest-calcium corner of the design space. This topography corresponds with the previously established viscoelastic maps, with the maximum viscosity, η0, coinciding with the compositional region exhibiting higher G′ in the LVR and lower tan δ (indicating a stronger gel-like character). This suggests an internal consistency between the small-amplitude (structure-dominated) and steady-shear (flow-dominated) descriptions of the same microstructure.
From a physical-stability standpoint, the combination of a finite critical stress at rest (τc, established from stress sweeps) with a high η0 is advantageous for suppressing sedimentation or phase separation during storage. Formulations with higher psyllium (and particularly the Ca-free variants at a given psyllium dose) therefore offer the most favorable baseline for shelf stability. Despite the fact that the four parameters of Cross’s model were mathematically adjusted to a quadratic model using the response surface methodology, only the adjustment of zero Newtonian viscosity (η0) to calcium chloride and psyllium concentrations demonstrated an acceptable regression coefficient greater than 0.80 [21], specifically R2 = 0.94.

3. Conclusions

This work demonstrates that the structure and functionality of kefir can be rationally engineered by integrating fermentation optimization with formulation design. Utilizing a factorial design, the study ascertained the role of inoculum level, temperature, and time in regulating acidification kinetics in whole and skimmed milk. The research identified operating conditions that consistently achieve target pH/TA endpoints, exhibiting discernible matrix-dependent effects between the two milks. Utilizing these conditions as a foundation, a response-surface approach was employed to delineate the individual and interactive roles of psyllium and calcium chloride on small-amplitude viscoelasticity and steady-shear behavior. This approach resulted in the identification of compositional windows that facilitate a balance between gel strength, viscoelastic balance, and processability. Within the explored ranges, psyllium was found to primarily determine network stiffness and zero-shear viscosity, while calcium chloride modulated the gel through ionic interactions, yielding synergistic enhancements only in specific regions of the design space. The resulting low-fat kefir gels exhibited shear-thinning profiles compatible with mixing, pumping, and filling, thereby supporting their technological feasibility. The proposed strategy is notable for its use of a clean-label approach, the employment of statistically grounded models to guide formulation, and its capacity for direct comparability across milk matrices. The limitations of the present study are as follows: firstly, the bounded factor ranges; secondly, the need to validate long-term stability, microstructure–rheology relationships, and sensory attributes under storage and post-processing conditions. The study as a whole provides actionable guidelines for the development of synbiotic, spoonable kefir gels.

4. Materials and Methods

4.1. Materials

In all experiments, whole and skimmed cow’s milk (Hacendado brand, Spain) were used as the base for kefir production. As indicated by the manufacturer’s label, the fat content of whole and skimmed milk are 3.6 and 0.3 g/100 mL respectively. The carbohydrate content is 4.9 g, of which 4.9 g are sugars. The protein content is 3.2 g, and the salt content is 0.13 g. The calcium content is 120 mg. The kefir grains used in this study were obtained from a commercial supplier, Kefiralia (Spain). The granules are composed of a symbiotic consortium of lactic acid bacteria and yeasts embedded in a polysaccharide-protein matrix (primarily kefiran). Prior to experimentation, the grains were acclimatized separately to skimmed milk environment over six fermentation cycles at room temperature (18–20°C), with milk renewals every 36 hours, until stable pH values were achieved in each system. Psyllium husk powder was used as a thickening and prebiotic agent. The commercial product employed was Psyllium Bio El Granero Integral (El Granero, Spain), which is derived from the milled outer husk of Plantago ovata seeds. The product has been certified as both organic and gluten-free, and is marketed for use in culinary applications. The composition of the substance under scrutiny is primarily soluble fiber, with arabinoxylans being of particular note due to their gelling properties. Calcium chloride dihydrate (CaCl2 · 2 H2O) was utilized as a structural enhancer and purchased from PanReac AppliChem (ITW Reagents, Spain).

4.2. Methods

4.2.1. Kefir Development and Optimization of the Fermentation Process

The initial phase of the study aimed to determine the optimal fermentation conditions for producing kefir from commercial whole and skimmed cow’s milk. Three experimental variables were evaluated: kefir grain inoculum concentration (g) fermentation temperature (T) and fermentation time (t). A factorial design with three variables and three levels (-1, 0, and +1) was employed to assess the individual and interactive effects of these variables on key physicochemical parameters of the final product: pH and total acidity (TA). A total of 10 experimental runs were carried out (see Table 3) All fermentations were conducted in 250 mL glass containers filled with 180 g of commercial skimmed milk, previously brought to ambient temperature. The appropriate amount of kefir grains was added to each container, and samples were then incubated in a thermostatic water bath (JP Selecta, Frigiterm) under static conditions at the target fermentation temperature for the designated time.
Following fermentation, kefir grains were separated from the fermented matrix using a sterile stainless-steel sieve. The pH of the resulting kefir was measured immediately using a calibrated bench pH meter (XS Instruments pH 50 VioLab, Spain). Total acidity was determined by titrating 10 mL of each sample with 0.1 M NaOH until reaching pH 8.4, and results were expressed as g·L-1 lactic acid. All measurements were performed in triplicate. The experimental data were fitted to second-order polynomial models to describe the influence of the three variables on pH and TA. The response surfaces generated allowed for the identification of fermentation conditions that yielded a kefir product with a desirable balance of acidity and microbial activity, which were subsequently used in the second phase of the study focused on rheological analysis.

4.2.2. Gel Formation and Rheological Characterization

To evaluate the influence of psyllium and calcium chloride on the rheological properties of skimmed milk kefir, a central composite design (CCD) was applied. This second design was based on fermentation parameters optimized in a previous stage (fermentation temperature of 26 ± 0.3 °C, 24-hour duration, and 5.5 wt.% kefir grains), which yielded kefir samples with suitable pH and acidity values for subsequent analysis.
The CCD included ten experimental runs, varying two independent variables: psyllium concentration (0.5–3.5 wt.% of kefir) and calcium chloride concentration (0.01–0.075 wt.% of CaCl2). A total of five levels (-1.41, -1, 0, +1, and +1.41) were tested for each factor, including axial and central points, to allow second-order modeling of the responses. The coded and real values of the design are shown below:
Table 4. Values of independent variables for the experimental design used in the gelification and rheological characterization.
Table 4. Values of independent variables for the experimental design used in the gelification and rheological characterization.
Experiment CaCl2 ж concentration (wt.%) Psyllum ж concentration (wt.%)
1 0.0375 2.00
2 0.0375 2.00
3 0.0000 2.00
4 0.0750 2.00
5 0.0375 0.50
6 0.0375 3.50
7 0.0110 0.94
8 0.0110 3.06
9 0.0640 0.94
10 0.0640 3.06
Each formulation was prepared by fermenting 180 g of commercial skimmed milk with 9.9 g of pre-acclimatized kefir grains (5.5 wt.%) for 24 hours at 26 °C in a thermostatic water bath. After fermentation, the grains were removed, and 150 g of kefir were collected for analysis. Psyllium and CaCl2 were added to each sample at the designated concentrations. Psyllium was incorporated gradually under continuous stirring to avoid lump formation, followed by addition of calcium chloride. Samples were then allowed to hydrate for 45 minutes at room temperature to ensure complete water absorption by psyllium before testing. To ensure consistent rheological behavior, preliminary tests were conducted to identify the minimum hydration time required after psyllium addition. A frequency sweep was performed at different time intervals on a sample containing 2 wt.% psyllium and 0.0375 wt.% of CaCl2. The test was conducted at a constant shear stress of 0.2 Pa, within the linear viscoelastic region (LVR). No significant changes in viscoelastic parameters (G′ and G″) were observed after 45 minutes, confirming that this hydration period was sufficient for all subsequent samples.
Rheological measurements were performed using a controlled-stress rotational rheometer (Thermo Scientific™ Haake MARS, Germany) equipped with parallel plate geometry (35 mm diameter, 1 mm gap), operating at a constant temperature of 25 ± 0.1 °C. Prior to each test, all samples were gently homogenized and allowed to rest to eliminate air bubbles. Three types of tests were conducted to characterize the viscoelastic and flow behavior of kefir samples enriched with psyllium and calcium chloride. First, stress sweep tests were carried out at a fixed angular frequency of 1 Hz to determine the linear viscoelastic region (LVR). The applied shear stress was gradually increased from 0.01 Pa up to values that caused a breakdown in structure. The end of the LVR was defined as the point at which the storage modulus (G′) began to decrease significantly, indicating the critical stress (τc) at which the gel network starts to fail irreversibly. This parameter was used as an indicator of the structural robustness of each formulation.
Subsequently, frequency sweep tests were performed within the LVR, using a constant shear stress of 0.2 Pa. Angular frequency ranged from 0.1 to 10 Hz. For each sample, the elastic modulus (G′), viscous modulus (G″), and loss tangent (tan δ = G″/G′) were recorded. The values of G′ and tan δ provided insight into the gel-like behavior of the samples, with tan δ < 0.1 indicative of strong gels, intermediate values suggesting weak gels or viscoelastic pastes, and values greater than 1 denoting a predominantly viscous behavior. Additionally, flow behavior was assessed through steady shear tests in which shear rate was increased in steps up to 30 s−1. Flow curves (viscosity vs. shear rate) were fitted to the Cross model to describe the non-Newtonian, shear-thinning behavior observed. The Cross model parameters, that are zero-shear viscosity (η0), consistency index, and flow index, were calculated to quantify and compare the flow profiles between samples.
All rheological measurements were carried out in duplicate for each formulation. Moreover, the central point of the was replicated three times to evaluate experimental variability and ensure model robustness. The rheological parameters obtained (G′ within the LVR, critical stress τc, tan δ, and flow curve fit data) were analyzed using response surface methodology (RSM) to assess the individual and interactive effects of both variables. Statistical modeling was conducted using Echip software (Experimentation by Design, Wilmington, DE, USA), and the quality of fit and significance of effects were evaluated at the 95% confidence level. Surface plots and predictive models were generated to identify optimal conditions for gel strength, viscoelasticity, and flow resistance.

Author Contributions

Conceptualization, M.C. and A.C.; methodology, J.S. and M.M.D.B.; software, L.A.T.C.; validation, M.C, A.C., J.S., M.M.D.B and L.A.T.C; formal analysis, M.C. and A.C.; investigation, M.C., M.M.D.B. and L.A.T.C..; resources, J.S and M.M.D.B.; data curation, A.C. and M.M.D.B.; writing—original draft preparation, M.C., J.S. and L.A.T.C; writing—review and editing, M.M.D.B; visualization, A.C.; supervision, M.M.D.B.; project administration, L.A.T.C.; funding acquisition, J.S.. All authors have read and agreed to the published version of the manuscript.

Funding

This research was funded by Programa Ramón y Cajal (Ministerio de Innovación y Ciencia, Gobierno de España).

Institutional Review Board Statement

Not applicable.

Data Availability Statement

The raw data supporting the conclusions of this article will be made available by the authors on request.

Conflicts of Interest

The authors declare no conflicts of interest.

Abbreviations

The following abbreviations are used in this manuscript:
TA Total acidity
LVR Linear viscoelastic range
RSM Response Surface Methodology
CCD Central Composite Design

References

  1. Saygili, D.; Döner, D.; İçier, F.; Karagözlü, C. Rheological Properties and Microbiological Characteristics of Kefir Produced from Different Milk Types. Food Science and Technology 2021, 42, e32520. [Google Scholar] [CrossRef]
  2. Glibowski, P.; Kowalska, A. Rheological, Texture and Sensory Properties of Kefir with High Performance and Native Inulin. Journal of Food Engineering 2012, 111, 299–304. [Google Scholar] [CrossRef]
  3. Muñoz-Bas, C.; Muñoz-Tebar, N.; Viuda-Martos, M.; Lucas-González, R.; Pérez-Álvarez, J.Á.; Fernández-López, J. Quality Properties of Innovative Goat Milk Kefir Enriched with Date Paste (Phoenix Dactylifera L.) and Whey Derived from Goat Cheese Production. Foods 2025, 14, 1655. [Google Scholar] [CrossRef]
  4. Ahmed, Z.; Wang, Y.; Ahmad, A.; Khan, S.T.; Nisa, M.; Ahmad, H.; Afreen, A. Kefir and Health: A Contemporary Perspective. Critical reviews in food science and nutrition 2013, 53, 422–434. [Google Scholar] [CrossRef] [PubMed]
  5. Yiğitvar, İ.; Hayaloğlu, A.A. Incorporation of Aloe Vera Gel Into Kefir: Impact on Volatile Composition, Rheological, Techno-Functional, and Microbiological Properties. Journal of Food Science 2025, 90, e70292. [Google Scholar] [CrossRef] [PubMed]
  6. Bensmira, M.; Jiang, B. Effect of Some Operating Variables on the Microstructure and Physical Properties of a Novel Kefir Formulation. Journal of Food Engineering 2012, 108, 579–584. [Google Scholar] [CrossRef]
  7. Farag, M.A.; Jomaa, S.A.; Abd El-Wahed, A.; El-Seedi, H.R. The Many Faces of Kefir Fermented Dairy Products: Quality Characteristics, Flavour Chemistry, Nutritional Value, Health Benefits, and Safety. Nutrients 2020, 12, 346. [Google Scholar] [CrossRef]
  8. Putri, Y.D.; Setiani, N.A.; Warya, S. The Effect of Temperature, Incubation and Storage Time on Lactic Acid Content, pH and Viscosity of Goat Milk Kefir. Current Research on Biosciences and Biotechnology 2020, 2, 101–104. [Google Scholar] [CrossRef]
  9. Shen, H.-W.; Yu, R.-C.; Chou, C.-C. Acid Adaptation Affects the Viability of Salmonella Typhimurium during the Lactic Fermentation of Skim Milk and Product Storage. International Journal of Food Microbiology 2007, 114, 380–385. [Google Scholar] [CrossRef]
  10. Ertekin, B.; Guzel-Seydim, Z.B. Effect of Fat Replacers on Kefir Quality. Journal of the Science of Food and Agriculture 2010, 90, 543–548. [Google Scholar] [CrossRef]
  11. McRorie Jr, J.W.; Gibb, R.D.; Sloan, K.J.; McKeown, N.M. Psyllium: The Gel-Forming Nonfermented Isolated Fiber That Delivers Multiple Fiber-Related Health Benefits. Nutrition Today 2021, 56, 169–182. [Google Scholar] [CrossRef]
  12. Vela-Albarrán, M.; Santos, J.; Calero, N.; Carrillo, F.; Trujillo-Cayado, L.A. Phycocyanin-Psyllium Gel Systems: Rheological Insights and Functional Applications in Algae Oil Emulgels. Food Bioprocess Technol 2025. [Google Scholar] [CrossRef]
  13. Guo, Q.; Cui, S.W.; Wang, Q.; Goff, H.D.; Smith, A. Microstructure and Rheological Properties of Psyllium Polysaccharide Gel. Food Hydrocolloids 2009, 23, 1542–1547. [Google Scholar] [CrossRef]
  14. Shulman, R.J.; Hollister, E.B.; Cain, K.; Czyzewski, D.I.; Self, M.M.; Weidler, E.M.; Devaraj, S.; Luna, R.A.; Versalovic, J.; Heitkemper, M. Psyllium Fiber Reduces Abdominal Pain in Children with Irritable Bowel Syndrome in a Randomized, Double-Blind Trial. Clinical Gastroenterology and Hepatology 2017, 15, 712–719. [Google Scholar] [CrossRef] [PubMed]
  15. Belorio, M.; Gómez, M. Psyllium: A Useful Functional Ingredient in Food Systems. Critical Reviews in Food Science and Nutrition 2022, 62, 527–538. [Google Scholar] [CrossRef]
  16. Ramasubramanian, L.; Restuccia, C.; Deeth, H. Effect of Calcium on the Physical Properties of Stirred Probiotic Yogurt. Journal of Dairy Science 2008, 91, 4164–4175. [Google Scholar] [CrossRef]
  17. Fischer, P.; Windhab, E.J. Rheology of Food Materials. Current Opinion in Colloid & Interface Science 2011, 16, 36–40. [Google Scholar] [CrossRef]
  18. Joyner, H.S. Explaining Food Texture through Rheology. Current Opinion in Food Science 2018, 21, 7–14. [Google Scholar] [CrossRef]
  19. Ball, V. Specific Ion Effects in Hydrogels. Molecules 2024, 29, 5990. [Google Scholar] [CrossRef]
  20. Luo, J.; Liu, S.; Lu, H.; Wang, Y.; Chen, Q.; Shi, Y. Improvement of Kefir Fermentation on Rheological and Microstructural Properties of Soy Protein Isolate Gels. Food Research International 2023, 174, 113489. [Google Scholar] [CrossRef]
  21. Pérez-Mosqueda, L.M.; Trujillo-Cayado, L.A.; Carrillo, F.; Ramírez, P.; Muñoz, J. Formulation and Optimization by Experimental Design of Eco-Friendly Emulsions Based on d-Limonene. Colloids and Surfaces B: Biointerfaces 2015, 128, 127–131. [Google Scholar] [CrossRef]
Figure 1. Mechanical spectra for a kefir sample with 0.0375 wt.% CaCl2 and 2 wt.% psyllium as a function of gelation time.
Figure 1. Mechanical spectra for a kefir sample with 0.0375 wt.% CaCl2 and 2 wt.% psyllium as a function of gelation time.
Preprints 170283 g001
Figure 2. Stress sweeps for selected kefir samples as a function of psyllium and CaCl2 concentration.
Figure 2. Stress sweeps for selected kefir samples as a function of psyllium and CaCl2 concentration.
Preprints 170283 g002
Figure 3. Two-dimensional response surface of critical stress (τc) values as a function of CaCl2 concentration and psyllium.
Figure 3. Two-dimensional response surface of critical stress (τc) values as a function of CaCl2 concentration and psyllium.
Preprints 170283 g003
Figure 4. Two-dimensional response surface of elastic modulus at linear viscoelastic range (G’LVR) values as a function of CaCl2 concentration and psyllium.
Figure 4. Two-dimensional response surface of elastic modulus at linear viscoelastic range (G’LVR) values as a function of CaCl2 concentration and psyllium.
Preprints 170283 g004
Figure 5. Two-dimensional response surface of tan δ values as a function of CaCl2 concentration and psyllium.
Figure 5. Two-dimensional response surface of tan δ values as a function of CaCl2 concentration and psyllium.
Preprints 170283 g005
Figure 6. Frequency sweeps for selected kefir samples as a function of psyllium and CaCl2 concentration.
Figure 6. Frequency sweeps for selected kefir samples as a function of psyllium and CaCl2 concentration.
Preprints 170283 g006
Figure 7. Flow curves for selected kefir samples as a function of psyllium and CaCl2 concentration.
Figure 7. Flow curves for selected kefir samples as a function of psyllium and CaCl2 concentration.
Preprints 170283 g007
Figure 8. Two-dimensional response surface of zero-shear viscosity (η0) values as a function of CaCl2 concentration and psyllium.
Figure 8. Two-dimensional response surface of zero-shear viscosity (η0) values as a function of CaCl2 concentration and psyllium.
Preprints 170283 g008
Table 1. Total acidity (TA) and pH values for all experiments performed as a function of fermentation time and temperature and kefir nodule concentration.
Table 1. Total acidity (TA) and pH values for all experiments performed as a function of fermentation time and temperature and kefir nodule concentration.
Experiment Skimmed milk Whole milk
pH TA (g/L) pH TA (g/L)
1 5.94 1.56 6.12 1.5
2 5.60 2.64 5.67 2.73
3 5.26 4.05 5.47 2.73
4 4.60 5.92 4.84 5.92
5 5.04 5.99 4.78 5.40
6 3.93 12.11 3.99 9.55
7 3.98 10.03 3.87 11.65
8 3.56 19.34 3.54 22.1
9 4.27 6.85 4.28 7.81
10 4.27 6.46 4.23 8.32
Table 2. Values of crticial stress (τc), elastic modulus at the linear viscoelastic range (G’LVR), tan δ at 1 Hz and zero-shear viscosity (η0) for the experimental design used in the rheological characterization.
Table 2. Values of crticial stress (τc), elastic modulus at the linear viscoelastic range (G’LVR), tan δ at 1 Hz and zero-shear viscosity (η0) for the experimental design used in the rheological characterization.
Experiment CaCl2 ж concentration (wt.%) Psyllum ж concentration (wt.%) tc ж (Pa) G’LVR ж (Pa) tan d h0 ж (Pa·s)
1 0.0375 2.00 1.07 26.7 0.35 104
2 0.0375 2.00 1.74 95.6 0.29 655
3 0.0000 2.00 6.95 294.7 0.27 1740
4 0.0750 2.00 5.85 132.3 0.27 607
5 0.0375 0.50 2.89 113.4 0.28 347
6 0.0375 3.50 3.01 113.8 0.28 491
7 0.0110 0.94 0.64 17.3 0.33 163
8 0.0110 3.06 10.42 209.6 0.25 1589
9 0.0640 0.94 3.68 132.6 0.26 342
10 0.0640 3.06 3.39 125.6 0.27 312
Table 3. Values of independent variables for the experimental design used in the optimisation of the fermentation process.
Table 3. Values of independent variables for the experimental design used in the optimisation of the fermentation process.
Experiment Kefir grain inoculum ж concentration (wt.%) Fermentation ж temperature (°C) Fermentation time (h)
1 1 20 12
2 10 20 12
3 1 26 12
4 10 26 12
5 1 20 48
6 10 20 48
7 1 26 48
8 10 26 48
9 5.5 23 30
10 5.5 23 30
Disclaimer/Publisher’s Note: The statements, opinions and data contained in all publications are solely those of the individual author(s) and contributor(s) and not of MDPI and/or the editor(s). MDPI and/or the editor(s) disclaim responsibility for any injury to people or property resulting from any ideas, methods, instructions or products referred to in the content.
Copyright: This open access article is published under a Creative Commons CC BY 4.0 license, which permit the free download, distribution, and reuse, provided that the author and preprint are cited in any reuse.
Prerpints.org logo

Preprints.org is a free preprint server supported by MDPI in Basel, Switzerland.

Subscribe

Disclaimer

Terms of Use

Privacy Policy

Privacy Settings

© 2026 MDPI (Basel, Switzerland) unless otherwise stated