Submitted:
28 July 2025
Posted:
29 July 2025
Read the latest preprint version here
Abstract
Keywords:
1. Introduction
2. Patients and Methods
2.1. Patient Recruitment
2.2. Micro-RNA Quantification
2.3. Steatosis Quantification
- Grade 1 steatosis (slightly increased echogenicity),
- Grade 2 steatosis (moderately increased echogenicity),
- Grade 3 steatosis (markedly increased echogenicity).
2.4. Statistical Analysis
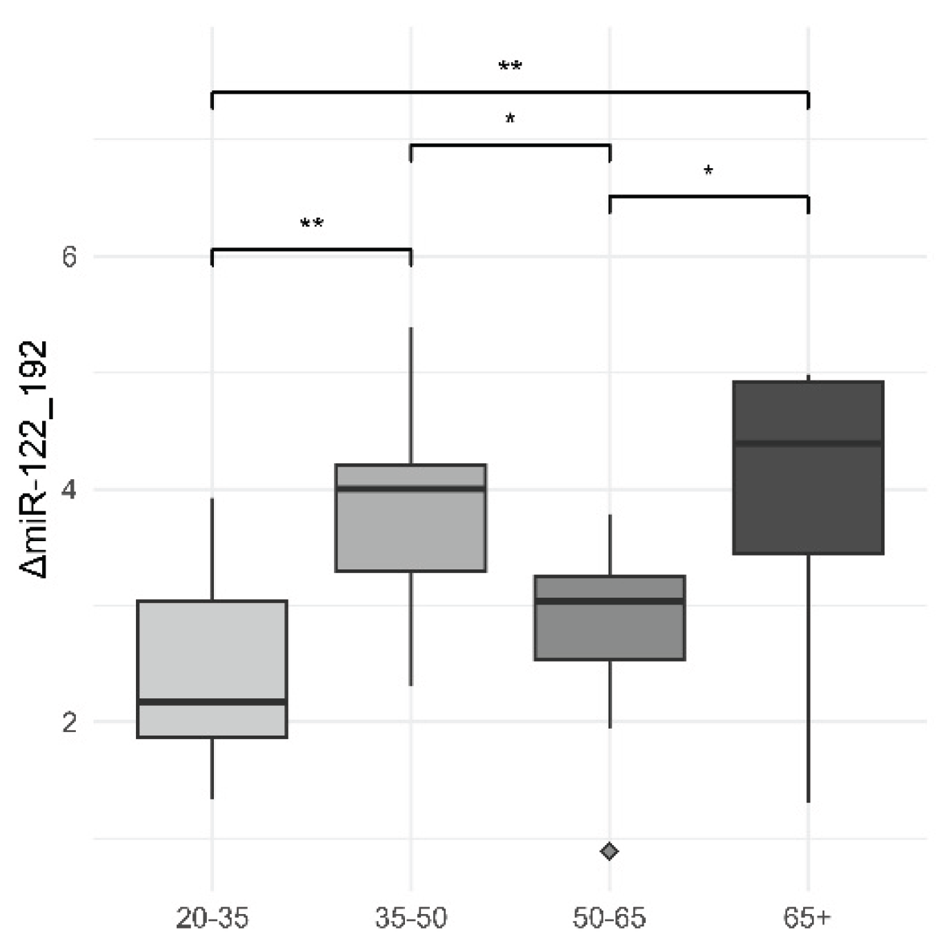
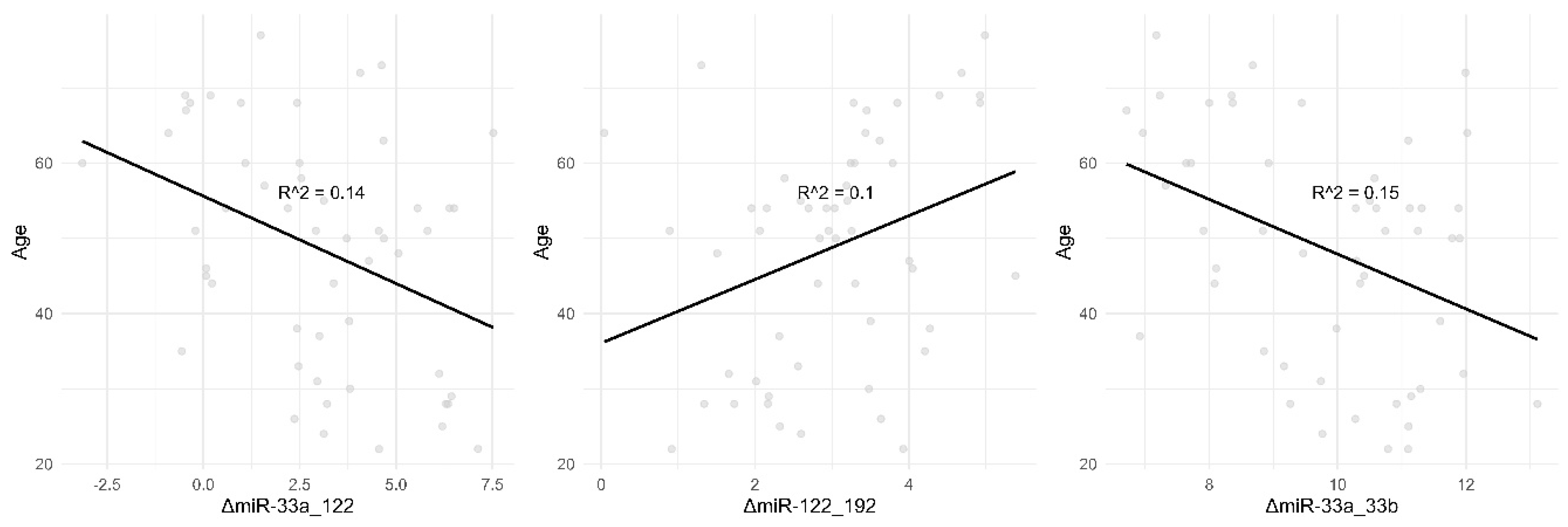
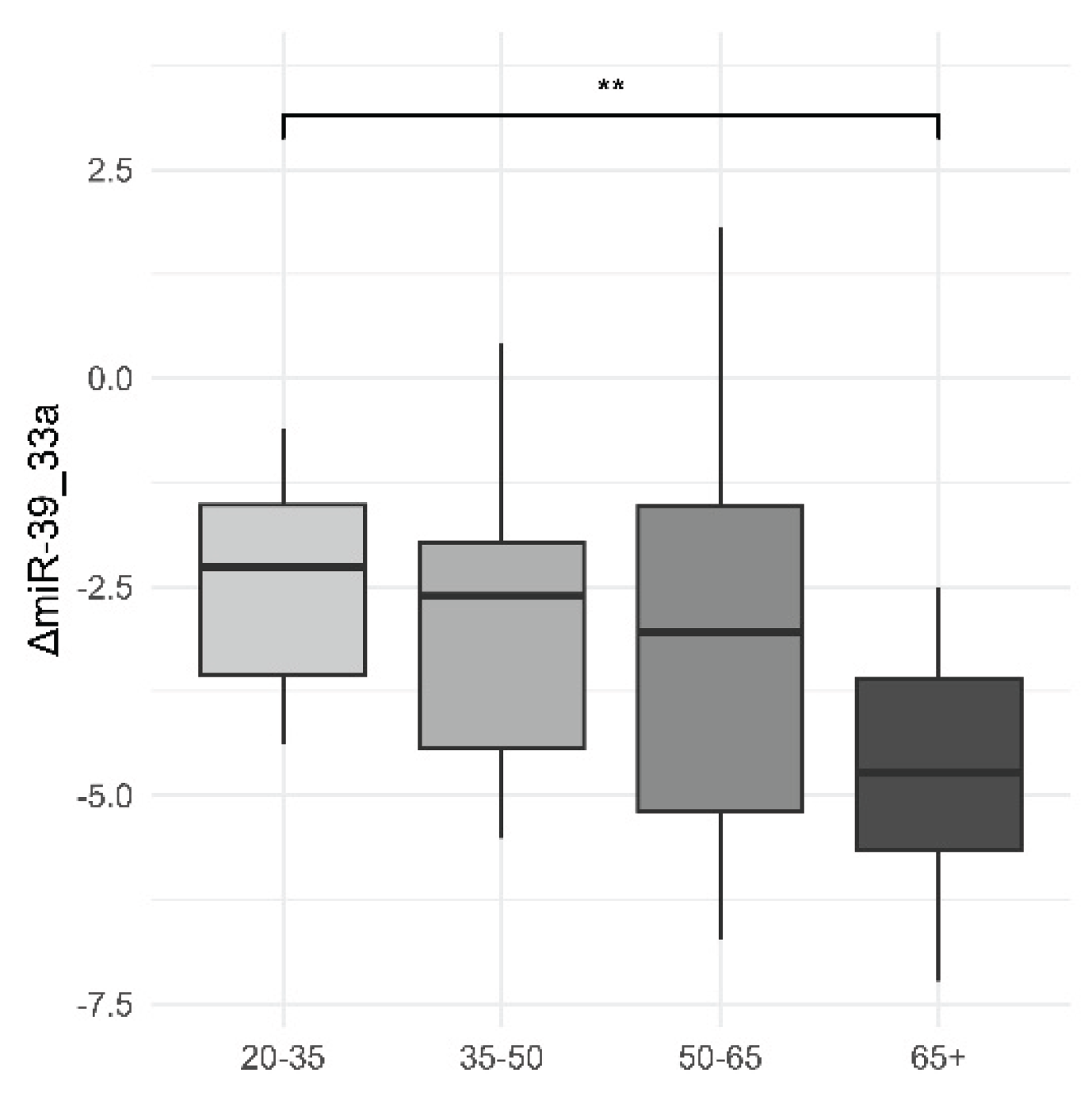
4. Results
- BMI ≥ 25 kg/m² [23 Asia] OR WC ≥ 94 cm (M) 80 cm (F) or ethnicity adjusted
- Fasting serum glucose ≥ 5.6 mmol/L [100 mg/dL] OR 2-hour post-load glucose levels ≥ 7.8 mmol/L [≥ 140 mg/dL] OR HbA1c ≥ 5.7% [39 mmol/mol] OR type 2 diabetes OR treatment for type 2 diabetes
- Blood pressure ≥ 130/85 mmHg OR specific antihypertensive drug treatment
- Plasma triglycerides ≥ 1.70 mmol/L [150 mg/dL] OR lipid lowering treatment
- Plasma HDL-cholesterol ≤ 1.0 mmol/L [40 mg/dL] (M) and 1.3 mmol/L [50 mg/dL] (F) OR lipid lowering treatment
| MASLD Criteria | Min | Max | Average | SD | No (% of criteria) | Criteria |
|---|---|---|---|---|---|---|
| BMI | 24.9 | 44 | 34.1 | 4.6 | 47 (97.9%) | >25 |
| AC Male | 92 | 147 | 115.1 | 14.3 | 20 (95.2%) | >94 |
| AC Female | 73 | 127 | 105.4 | 13.0 | 25 (92.6%) | >80 |
| Glicemia | 75.4 | 282 | 112.4 | 37.3 | 25 (52.1%) | >100 or DZ |
| Blood pressure | - | - | - | - | 8 (16.7%) | >130/85 OR Treatment |
| Triglycerides | 62 | 440 | 172.8 | 76.8 | 30 (62.5%) | >150 |
| LDL Male | 22.4 | 147 | 115.1 | 43.3 | 2 (9.5%) | <40 |
| LDL Female | 73 | 127 | 105.4 | 12.1 | 3 (11.1%) | <50 |
| Lipid Treatment | - | - | - | - | 2 (4.2%) | Treatment |
| No. of Criteria | 1 | 2 | 3 | 4 | 5 |
|---|---|---|---|---|---|
| Male | 4 (19%) | 7 (33.3%) | 6 (28.6%) | 3 (14.3%) | 1 (4.8%) |
| Female | 4 (14.8%) | 12 (44.4%) | 8 (29.6%) | 2 (7.4%) | 1 (3.7%) |
| Overall | 8 (16.7%) | 19 (39.6%) | 14 (29.2%) | 5 (10.4%) | 2 (4.2%) |
| No. of Criteria | 1 | 2 | 3 | 4 | 5 |
|---|---|---|---|---|---|
| 20-35 | 3 (27.3%) | 5 (45.5%) | 2 (18.2%) | 1 (9.1%) | - |
| 35-50 | 2 (22.2%) | 4 (44.4%) | 1 (11.1%) | 2 (22.2%) | - |
| 50-65 | 3 (15.8%) | 4 (21.1%) | 8 (42.1%) | 2 (10.5%) | 2 (10.5%) |
| 65+ | - | 6 (66.7%) | 3 (33.3%) | - | - |


| Subtype_1 | Subtype_2 | Mean_1 | Mean_2 | t_value | df | p_value | low_95th | high_95th |
|---|---|---|---|---|---|---|---|---|
| 20-35 | 35-50 | 2.480 | 3.760 | -3.227 | 16.865 | 0.005 | -2.118 | -0.443 |
| 50-65 | 65+ | 2.840 | 3.977 | -2.653 | 10.635 | 0.023 | -2.085 | -0.190 |
| 35-50 | 50-65 | 3.760 | 2.840 | 2.708 | 12.669 | 0.018 | 0.184 | 1.657 |
| 20-35 | 50-65 | 2.480 | 2.840 | -1.183 | 17.564 | 0.252 | -1.000 | 0.280 |
| 35-50 | 65+ | 3.760 | 3.977 | -0.435 | 14.879 | 0.670 | -1.281 | 0.847 |
| 20-35 | 65+ | 2.480 | 3.977 | -3.151 | 14.178 | 0.007 | -2.515 | -0.479 |
5. Discussion
- Sample Size: The relatively small sample size of 48 patients may limit the generalizability of our findings. Larger studies are necessary to confirm the associations observed and to strengthen the statistical power of the results.
- Control Group Matching: Although efforts were made to match controls with patients based on demographic characteristics, residual confounding factors may still exist. Further studies with more rigorous matching criteria are recommended.
- Cross-Sectional Design: The cross-sectional nature of this study limits the ability to infer causality between miRNA expression and SLD progression. Longitudinal studies are needed to establish temporal relationships and causative links.
- Single-Center Study: Conducting the study at a single clinical institute may introduce location-specific biases. Multi-center studies are required to enhance the external validity of the findings.
- Measurement Variability: While standardized protocols were used for sample collection and miRNA quantification, there may be inherent variability in measurement techniques. Future studies should aim to replicate findings using different methodologies to ensure robustness.
- Epigenetic Analysis Scope: The study focused on a limited number of miRNAs and did not explore the full spectrum of epigenetic modifications potentially involved in SLD. Comprehensive epigenetic profiling could provide a more holistic understanding of the disease.
- Nutritional History Data: Detailed historical nutritional data were not available for all participants, which could affect the interpretation of the influence of past nutritional imbalances on miRNA expression and SLD risk.
6. Conclusions
Author Contributions
Funding
Institutional Review Board Statement
Informed Consent Statement
Data Availability Statement
Acknowledgments
Conflicts of Interest
References
- A. Morishita et al., “MicroRNAs and Nonalcoholic Steatohepatitis: A Review,” Int. J. Mol. Sci., vol. 24, no. 19, 2023. [CrossRef]
- S. Khanmohammadi, B. Ramos-Molina, and M. S. Kuchay, “NOD-like receptors in the pathogenesis of metabolic (dysfunction)-associated fatty liver disease: Therapeutic agents targeting NOD-like receptors,” Diabetes Metab. Syndr. Clin. Res. Rev., vol. 17, no. 7, p. 102788, Jul. 2023. [CrossRef]
- J. S. Rodríguez-Sanabria, R. Escutia-Gutiérrez, R. Rosas-Campos, J. S. Armendáriz-Borunda, and A. Sandoval-Rodríguez, “An update in epigenetics in metabolic-associated fatty liver disease,” Front. Med., vol. 8, p. 770504, 2022.
- V. C. Stoica et al., “Time for micro-RNAs in steatotic liver disease: a case–control study,” Front. Endocrinol., vol. 15, p. 1349524, 2024.
- Y. Sun, Y. Shen, X. Liang, H. Zheng, and Y. Zhang, “MicroRNAs as Biomarkers and Therapeutic Targets for Nonalcoholic Fatty Liver Disease: A Narrative Review,” Clin. Ther., vol. 45, no. 3, pp. 234–247, Mar. 2023. [CrossRef]
- H. M. Ragab et al., “Significance of MiRNA-34a and MiRNA-192 as a risk factor for nonalcoholic fatty liver disease,” J. Genet. Eng. Biotechnol., vol. 21, no. 1, p. 13, Dec. 2023. [CrossRef]
- S. Miyagawa et al., “Inhibition of microRNA-33b in humanized mice ameliorates nonalcoholic steatohepatitis,” Life Sci. Alliance, vol. 6, no. 8, p. e202301902, Aug. 2023. [CrossRef]
- J. Wang, S. Bao, Q. An, C. Li, and J. Feng, “Roles of extracellular vesicles from different origins in metabolic-associated fatty liver disease: progress and perspectives,” Front. Immunol., vol. Volume 16-2025, 2025, V. Stoica, D. A. Gardan, I. Constantinescu, I. P. Gardan, B. Calenic, and M. Diculescu, “Transgenerational effects of traumatic historical events on the incidence of metabolic syndrome/nonalcoholic fatty liver disease in the romanian population,” J. Med. Life, vol. 13, no. 4, p. 475, 2020.
- M. E. Rinella et al., “A multisociety Delphi consensus statement on new fatty liver disease nomenclature,” Hepatology, vol. 78, no. 6, pp. 1966–1986, 2023.
- World Health Organization, “Prevalence of obesity among adults, BMI ≥ 30 (age-standardized estimate),” World Health Organization, 2024. Accessed: Jul. 13, 2025. M. Kalligeros, A. Vassilopoulos, S. Vassilopoulos, D. W. Victor, E. Mylonakis, and M. Noureddin, “Prevalence of Steatotic Liver Disease (MASLD, MetALD, and ALD) in the United States: NHANES 2017–2020,” Clin. Gastroenterol. Hepatol., Nov. 2023. [CrossRef]
- A. Trifan et al., “Simultaneously Screening for Liver Steatosis and Fibrosis in Romanian Type 2 Diabetes Mellitus Patients Using Vibration-Controlled Transient Elastography with Controlled Attenuation Parameter,” Diagnostics, vol. 12, no. 7, 2022. [CrossRef]
- N. W. S. Chew, X. Hui Pan, B. Chong, C. Chandramouli, M. Muthiah, and C. S. P. Lam, “Type 2 diabetes mellitus and cardiometabolic outcomes in metabolic dysfunction-associated steatotic liver disease population,” Diabetes Res. Clin. Pract., p. 111652, Apr. 2024. [CrossRef]
- A. Vaiserman and O. Lushchak, “Prenatal famine exposure and adult health outcomes: an epigenetic link,” Environ. Epigenetics, vol. 7, no. 1, p. dvab013, Nov. 2021. [CrossRef]
- E. Capobianco and I. Pirrone, “Paternal programming of fetoplacental and offspring metabolic disorders,” Trophobl. Res. - Vol. 41 2023, vol. 141, pp. 71–77, Sep. 2023. [CrossRef]
- M. E. Rinella et al., “A multisociety Delphi consensus statement on new fatty liver disease nomenclature,” Ann. Hepatol., vol. 29, no. 1, p. 101133, Jan. 2024. [CrossRef]
- Bhattacharya et al., “MicroRNA: A Novel Class of Potential Biomarkers and Therapeutic Target for Non-Alcoholic Fatty Liver Disease/Nonalcoholic Steatohepatitis,” MicroRNA, 2025. [CrossRef]
- F. Mahdizadeh, P. Sobhi, and S. Banaei, “A class of MicroRNAs as diagnostic biomarkers and therapeutic strategies in non-alcoholic fatty liver disease: A review,” Clin. Res. Hepatol. Gastroenterol., vol. 49, no. 4, p. 102547, Apr. 2025. [CrossRef]
- Q.-Y. Huang, Z.-Y. Zhou, Y.-L. Zhang, Y. Zhou, S.-W. Duan, and J.-Y. Dong, “Transfer RNA-derived small RNAs in liver disease,” Hepatobiliary Pancreat. Dis. Int., Jul. 2025. [CrossRef]
- H. Y. R. S. Huang Kai Markus; Schneider, Carolin, “Big Data Analytics in Large Cohorts: Opportunities and Challenges for Research in Hepatology,” Semin. Liver Dis., no. EFirst, May 2025. [CrossRef]


Disclaimer/Publisher’s Note: The statements, opinions and data contained in all publications are solely those of the individual author(s) and contributor(s) and not of MDPI and/or the editor(s). MDPI and/or the editor(s) disclaim responsibility for any injury to people or property resulting from any ideas, methods, instructions or products referred to in the content. |
© 2025 by the authors. Licensee MDPI, Basel, Switzerland. This article is an open access article distributed under the terms and conditions of the Creative Commons Attribution (CC BY) license (http://creativecommons.org/licenses/by/4.0/).