Submitted:
16 July 2025
Posted:
17 July 2025
You are already at the latest version
Abstract
Keywords:
1. Introduction
2. Materials and Methods
2.1. Data Collection
2.2. Definition of Interdisciplinarity
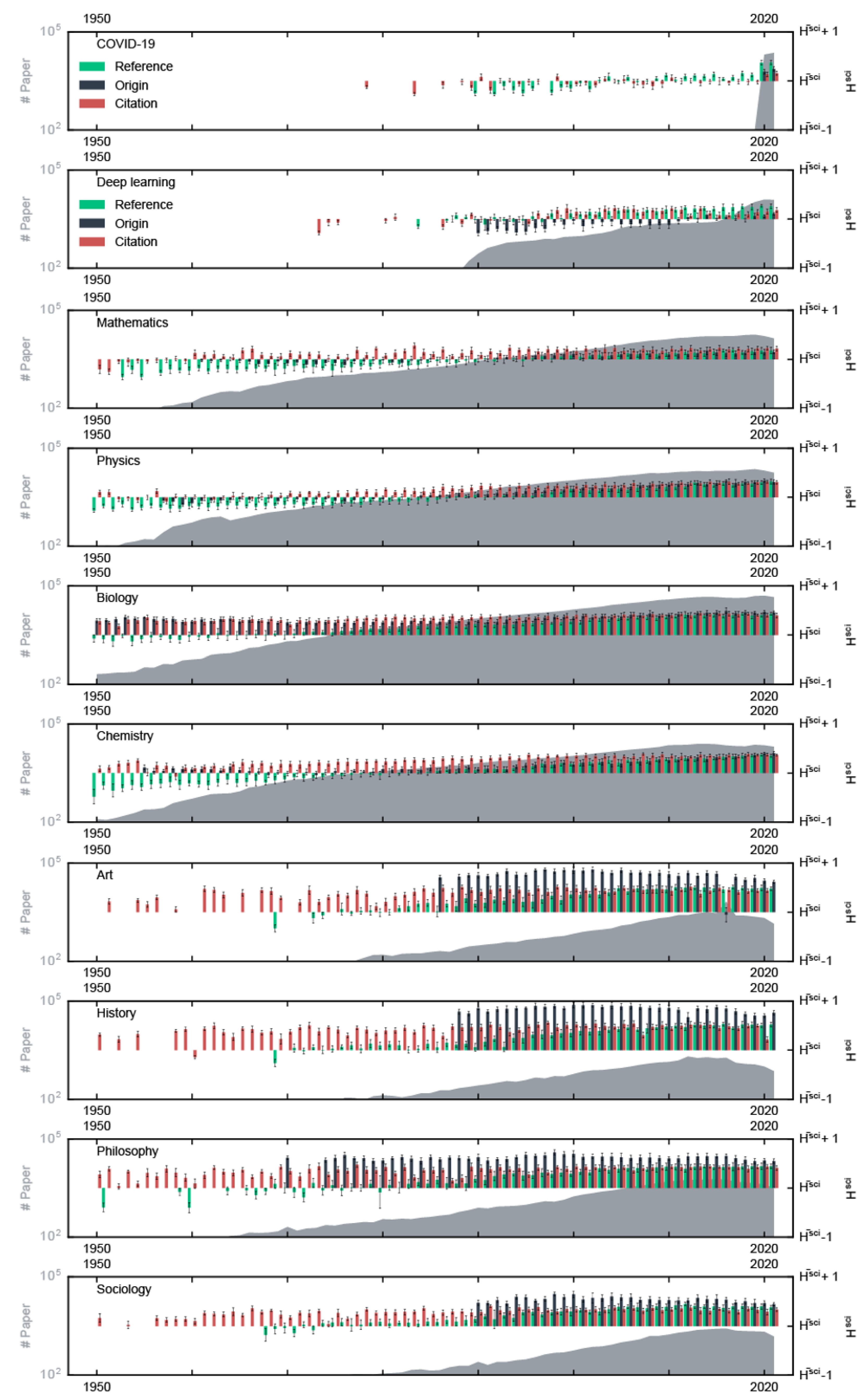
2.3. Definition and Computation of Sci-Entropy
-
Semantic representationWe first extract the title and abstract of each paper and tokenize them into words. Each word is embedded using the pretrained Global Vectors for Word Representation (GloVe) [13], and the article’s semantic vector is computed by averaging all word embeddings:where is the embedding of the i-th word, and N is the number of words in the article.
-
Reference and citation context retrievalFor every target paper, we collect its reference set and citation set. Each paper in these sets is also converted into a semantic vector using the same averaging approach.
-
Estimating semantic distributionsWe apply kernel density estimation (KDE) to the semantic vectors in both the reference and citation sets. This results in two empirical distributions over the semantic space, denoted as and .
-
Entropy calculationAs the true analytical forms of these distributions are unknown, we approximate entropy using a discrete form. Let denote the normalized KDE values over sampled vectors. Then the entropy is approximated by:This yields two entropy values: for the reference distribution and for the citation distribution.
-
Final computation of sci-entropyFinally, we define sci-entropy as the difference between citation entropy and reference entropy:A positive value of indicates that the paper is cited by semantically diverse follow-up research, reflecting a spread-out science pattern. A negative value suggests that the paper integrates semantically diverse prior knowledge, corresponding to merge-in science.
3. Results
3.1. Two Pathways of Scientific Evolution
3.2. Roles in Interdisciplinary Research
3.3. Patterns of Scientific Evolution
4. Discussion
5. Conclusions
Author Contributions
Funding
Institutional Review Board Statement
Informed Consent Statement
Data Availability Statement
Acknowledgments
Conflicts of Interest
Abbreviations
| LLM | Large Language Model |
| DL | Deep Learning |
| SVM | Support Vector Machine |
| PSO | Particle Swarm Optimization |
| DBN | Deep Belief Network |
| CNN | Convolutional Neural Network |
| GloVe | Global Vectors for Word Representation |
| KDE | Kernel Density Estimation |
Appendix A
Appendix A.1



References
- Brown, T.; Mann, B.; Ryder, N.; Subbiah, M.; Kaplan, J.D.; Dhariwal, P.; Neelakantan, A.; Shyam, P.; Sastry, G.; Askell, A.; et al. Language Models are Few-Shot Learners. NeurIPS 2020, 33, 1877–1901. [Google Scholar]
- Else, H. How a torrent of COVID science changed research publishing — in seven charts. Nature 2020, 588, 553. [Google Scholar] [CrossRef]
- Lundervold, A.S.; Lundervold, A. An overview of deep learning in medical imaging focusing on MRI. Z. Med. Phys. 2019, 29, 102–127. [Google Scholar] [CrossRef]
- Young, T.; Hazarika, D.; Poria, S.; Cambria, E. Recent trends in deep learning based natural language processing. IEEE Comput. Intell. Mag. 2018, 13, 55–75. [Google Scholar] [CrossRef]
- Small, H. (1973). Co-citation in the scientific literature: A new measure of the relationship between two documents. Journal of the American Society for Information Science, 24, 265–269. [CrossRef]
- Kessler, M. M. (1963). Bibliographic coupling between scientific papers. American Documentation, 14, 10–25. [CrossRef]
- Boyack, K. W. , van Eck, N. J., & Waltman, L. (2020). Context analysis of highly cited documents. Journal of Informetrics 14(4), 101081.
- He, B. , Shen, Z., Wan, X., Nallapati, R., Xiang, B., & Zhou, B. (2020). Citation as a textual feature for scholarly document understanding. In Findings of the Association for Computational Linguistics: EMNLP 2020 (pp. 2131–2141).
- Shannon, C. E. (1948). A mathematical theory of communication. Bell System Technical Journal, 27, 379–423.
- Rawat, W.; Wang, Z. Deep convolutional neural networks for image classification: A comprehensive review. Neural Comput. 2017, 29, 2352–2449. [Google Scholar] [CrossRef]
- LeCun, Y.; Bengio, Y.; Hinton, G. Deep learning. Nature 2015, 521, 436–444. [Google Scholar] [CrossRef]
- Guan, W.-j.; Ni, Z.-y.; Hu, Y.; Liang, W.-h.; Ou, C.-q.; He, J.-x.; Liu, L.; Shan, H.; Lei, C.-l.; Hui, D. S. C.; et al. Clinical characteristics of coronavirus disease 2019 in China. N. Engl. J. Med. 2020, 382, 1708–1720. [Google Scholar] [CrossRef]
- Pennington, J.; Socher, R.; Manning, C. D. GloVe: Global Vectors for Word Representation. In Proceedings of the 2014 Conference on Empirical Methods in Natural Language Processing (EMNLP); Association for Computational Linguistics: Doha, Qatar, 2014; pp. 1532–1543. [Google Scholar]
- Cortes, C.; Vapnik, V. Support-vector networks. Machine Learning 1995, 20, 273–297. [Google Scholar] [CrossRef]
- Kennedy, J.; Eberhart, R. Particle swarm optimization. Proceedings of ICNN’95 - International Conference on Neural Networks, Perth, WA, Australia, 27 Nov–1 Dec 1995; IEEE: Piscataway, NJ, USA, 1995; pp. 1942–1948. [Google Scholar] [CrossRef]
- Hinton, G. E.; Osindero, S.; Teh, Y. W. A fast learning algorithm for deep belief nets. Neural Computation 2006, 18, 1527–1554. [Google Scholar] [CrossRef]
- Krizhevsky, A.; Sutskever, I.; Hinton, G. E. ImageNet classification with deep convolutional neural networks. In Advances in Neural Information Processing Systems, 2012, 25, 1097–1105. [Google Scholar] [CrossRef]
- Yan, E. Finding knowledge paths among scientific disciplines. J. Am. Soc. Inf. Sci. Technol. 2013, 64, 541–551. [Google Scholar] [CrossRef]
- Omodei, E.; De Domenico, M.; Arenas, A. Evaluating the impact of interdisciplinary research: A multilayer network approach. Network Science 2017, 5, 235–254. [Google Scholar] [CrossRef]
- Liu, J. S.; Lu, L. Y. Y. An integrated approach for main path analysis: Development of the Hirsch index as an example. J. Am. Soc. Inf. Sci. Technol. 2012, 63, 528–542. [Google Scholar] [CrossRef]
- Bubeck, S.; Chandrasekaran, V.; Eldan, R.; Gehrke, J.; Horvitz, E.; Kamar, E.; et al. Sparks of Artificial General Intelligence: Early experiments with GPT-4. Available from: http://arxiv.org/abs/2303.12712. arXiv, 2303. [Google Scholar]
- National Institutes of Health. Funded COVID-19 Projects. NIH COVID-19 Research 2023. Available from: https://covid19.nih.gov/funding.
- Bianchini, S.; Müller, M.; Pelletier, P. Artificial intelligence in science: An emerging general method of invention. Res Policy 2022, 51(10), 104604. [Google Scholar] [CrossRef]
- Else, H. How a torrent of COVID science changed research publishing — in seven charts. Nature 2020, 588(7839), 553. [Google Scholar] [CrossRef] [PubMed]
- He, K.; Zhang, X.; Ren, S.; Sun, J. Deep Residual Learning for Image Recognition. In: CVPR 2016, pp. 770–778. Available from: https://openaccess.thecvf.com/content_cvpr_2016/html/He_Deep_Residual_Learning_CVPR_2016_paper.
- Vaswani, A.; Shazeer, N.; Parmar, N.; Uszkoreit, J.; Jones, L.; Gomez, A. N.; et al. Attention is All You Need. In: Advances in Neural Information Processing Systems 2017. Available from: https://proceedings.neurips.cc/paper/2017/hash/3f5ee243547dee91fbd053c1c4a845aa-Abstract.
- OpenAI. GPT-4 Technical Report. Available from: http://arxiv.org/abs/2303.0877. arXiv, 2023.
- Voulodimos, A.; Doulamis, N.; Doulamis, A.; Protopapadakis, E. Deep Learning for Computer Vision: A Brief Review. Comput Intell Neurosci, 2018; 2018, e7068349. [Google Scholar] [CrossRef]
- Otter, D. W.; Medina, J. R.; Kalita, J. K. A Survey of the Usages of Deep Learning for Natural Language Processing. IEEE Trans Neural Netw Learn Syst 2021, 32(2), 604–624. [Google Scholar] [CrossRef]
- Wainberg, M.; Merico, D.; Delong, A.; Frey, B. J. Deep learning in biomedicine. Nat Biotechnol 2018, 36(9), 829–838. [Google Scholar] [CrossRef]
- Choudhary, K.; DeCost, B.; Chen, C.; Jain, A.; Tavazza, F.; Cohn, R.; et al. Recent advances and applications of deep learning methods in materials science. NPJ Comput Mater 2022, 8(1), 1–26. [Google Scholar] [CrossRef]
- Chu, D. K.; Akl, E. A.; Duda, S.; Solo, K.; Yaacoub, S.; Schünemann, H. J.; et al. Physical distancing, face masks, and eye protection to prevent person-to-person transmission of SARS-CoV-2 and COVID-19: a systematic review and meta-analysis. The Lancet 2020, 395(10242), 1973–1987. [Google Scholar] [CrossRef]
- Al-Aly, Z.; Xie, Y.; Bowe, B. High-dimensional characterization of post-acute sequelae of COVID-19. Nature 2021, 594(7862), 259–264. [Google Scholar] [CrossRef]
- Viana, R.; Moyo, S.; Amoako, D. G.; Tegally, H.; Scheepers, C.; Althaus, C. L.; et al. Rapid epidemic expansion of the SARS-CoV-2 Omicron variant in southern Africa. Nature 2022, 603(7902), 679–686. [Google Scholar] [CrossRef]
- Cockburn, I. M.; Henderson, R. M.; Stern, S. The Impact of Artificial Intelligence on Innovation. SSRN 2018. Available from: https://papers.ssrn.com/abstract=3154213.
- Tang, Z.; Kong, N.; Zhang, X.; Liu, Y.; Hu, P.; Mou, S.; et al. A materials-science perspective on tackling COVID-19. Nat Rev Mater 2020, 5(11), 847–860. [Google Scholar] [CrossRef]
- Betsch, C. How behavioural science data helps mitigate the COVID-19 crisis. Nat Hum Behav 2020, 4(5), 438–438. [Google Scholar] [CrossRef]
- Bragazzi, N. L.; Dai, H.; Damiani, G.; Behzadifar, M.; Martini, M.; Wu, J. How Big Data and Artificial Intelligence Can Help Better Manage the COVID-19 Pandemic. Int J Environ Res Public Health 2020, 17(9), 3176. [Google Scholar] [CrossRef]
- Riccaboni, M.; Verginer, L. The impact of the COVID-19 pandemic on scientific research in the life sciences. PLOS ONE 2022, 17(2), e0263001. [Google Scholar] [CrossRef]
- Moradian, N.; Moallemian, M.; Delavari, F.; Sedikides, C.; Camargo, C. A.; Torres, P. J.; et al. Interdisciplinary Approaches to COVID-19. In: Rezaei, N., Ed. Coronavirus Disease – COVID-19. In Rezaei, N., Ed. Coronavirus Disease – COVID-19; Springer International Publishing: Cham, 2021; pp. 923–936. [Google Scholar] [CrossRef]
- Wagner, C. S.; Cai, X.; Zhang, Y.; Fry, C. V. One-year in: COVID-19 research at the international level in CORD-19 data. PLOS ONE 2022, 17(5), e0261624. [Google Scholar] [CrossRef]
- Maher, B.; Van Noorden, R. How the COVID pandemic is changing global science collaborations. Nature 2021, 594(7863), 316–319. [Google Scholar] [CrossRef]
- Chen, X. W.; Lin, X. Big Data Deep Learning: Challenges and Perspectives. IEEE Access 2014, 2, 514–525. [Google Scholar] [CrossRef]
- Vespignani, A.; Tian, H.; Dye, C.; Lloyd-Smith, J. O.; Eggo, R. M.; Shrestha, M.; et al. Modelling COVID-19. Nat Rev Phys 2020, 2(6), 279–281. [Google Scholar] [CrossRef]
- Feng, S.; Kirkley, A. Mixing Patterns in Interdisciplinary Co-Authorship Networks at Multiple Scales. Sci Rep 2020, 10(1), 7731. [Google Scholar] [CrossRef] [PubMed]
- Okamura, K. Interdisciplinarity revisited: evidence for research impact and dynamism. Palgrave Commun 2019, 5(1), 1–9. [Google Scholar] [CrossRef]
- Shi, F.; Evans, J. Surprising combinations of research contents and contexts are related to impact and emerge with scientific outsiders from distant disciplines. Nat Commun 2023, 14(1), 1641. [Google Scholar] [CrossRef] [PubMed]
- Bromham, L.; Dinnage, R.; Hua, X. Interdisciplinary research has consistently lower funding success. Nature 2016, 534(7609), 684–687. [Google Scholar] [CrossRef]
- Tan, Z.; Liu, C.; Mao, Y.; Guo, Y.; Shen, J.; Wang, X. AceMap: A Novel Approach towards Displaying Relationship among Academic Literatures. In Proceedings of the 25th International Conference Companion on World Wide Web (WWW ’16 Companion); International World Wide Web Conferences Steering Committee: Republic and Canton of Geneva, CHE, 2016; pp. 437–442. [Google Scholar] [CrossRef]
- Nielsen, F. Hierarchical Clustering. In Nielsen, F., Ed. Introduction to HPC with MPI for Data Science; Springer International Publishing: Cham, 2016; pp. 195–211. [Google Scholar] [CrossRef]
- Wu, L.; Wang, D.; Evans, J. A. Large teams develop and small teams disrupt science and technology. Nature 2019, 566(7744), 378–382. [Google Scholar] [CrossRef]
- Garfield, E. (1972). Citation analysis as a tool in journal evaluation. Science, 178, 4060, 471–479. [CrossRef]
- Freeman, L. C. (1977). A set of measures of centrality based on betweenness. Sociometry, 40, 1, 35–41. [CrossRef]
- Park, M.; Leahey, E.; Funk, R. J. Papers and patents are becoming less disruptive over time. Nature 2023, 613(7942), 138–144. [Google Scholar] [CrossRef]
- Grand, G.; Blank, I. A.; Pereira, F.; Fedorenko, E. Semantic projection recovers rich human knowledge of multiple object features from word embeddings. Nature Human Behaviour 2022, 6, 975–987. [Google Scholar] [CrossRef]
- Bracewell, R.N. The Fourier Transform and Its Applications, 3rd ed.; McGraw-Hill: New York, 2000. [Google Scholar]
- Metropolis, N.; Ulam, S. The Monte Carlo method. J. Am. Stat. Assoc. 1949, 44, 335–341. [Google Scholar] [CrossRef]
- Von Neumann, J.; Morgenstern, O. Theory of Games and Economic Behavior; Princeton University Press: Princeton, NJ, 1944. [Google Scholar]
- Horby, P.; Lim, W.S.; Emberson, J.R.; Mafham, M.; Bell, J.L.; Linsell, L.; et al. Dexamethasone in hospitalized patients with Covid-19. New Engl. J. Med. 2021, 384, 693–704. [Google Scholar] [CrossRef]
- Collins, F.S.; Stoffels, P. Accelerating COVID-19 therapeutic interventions and vaccines (ACTIV): an unprecedented partnership for unprecedented times. JAMA 2020, 323, 2455–2457. [Google Scholar] [CrossRef]
- Wymant, C.; Ferretti, L.; Tsallis, D.; Charalambides, M.; Abeler-Dörner, L.; Bonsall, D.; et al. The epidemiological impact of the NHS COVID-19 app. Nature 2021, 594, 408–412. [Google Scholar] [CrossRef]
- Park, Y.J.; Choe, Y.J.; Park, O.; Park, S.Y.; Kim, Y.M.; Kim, J.; et al. Contact tracing during coronavirus disease outbreak, South Korea, 2020. Emerging Infect. Dis. 2020, 26, 2465–2468. [Google Scholar] [CrossRef]
- Bergstrom, T.C.; Courant, P.N.; McAfee, R.P.; Williams, M.A. The economics of scholarly publishing. Journal of Economic Perspectives 2004, 18, 183–198. [Google Scholar]
- Gao, Y.; Zhao, L. Pricing academic journals: How cost impacts citation and diffusion. SSRN 2024. [Google Scholar] [CrossRef]







Disclaimer/Publisher’s Note: The statements, opinions and data contained in all publications are solely those of the individual author(s) and contributor(s) and not of MDPI and/or the editor(s). MDPI and/or the editor(s) disclaim responsibility for any injury to people or property resulting from any ideas, methods, instructions or products referred to in the content. |
© 2025 by the authors. Licensee MDPI, Basel, Switzerland. This article is an open access article distributed under the terms and conditions of the Creative Commons Attribution (CC BY) license (http://creativecommons.org/licenses/by/4.0/).
