Submitted:
28 June 2025
Posted:
30 June 2025
Read the latest preprint version here
Abstract
Keywords:
1. Introduction
2. Related Work
3. The Proposal Scheme
4. Experiment
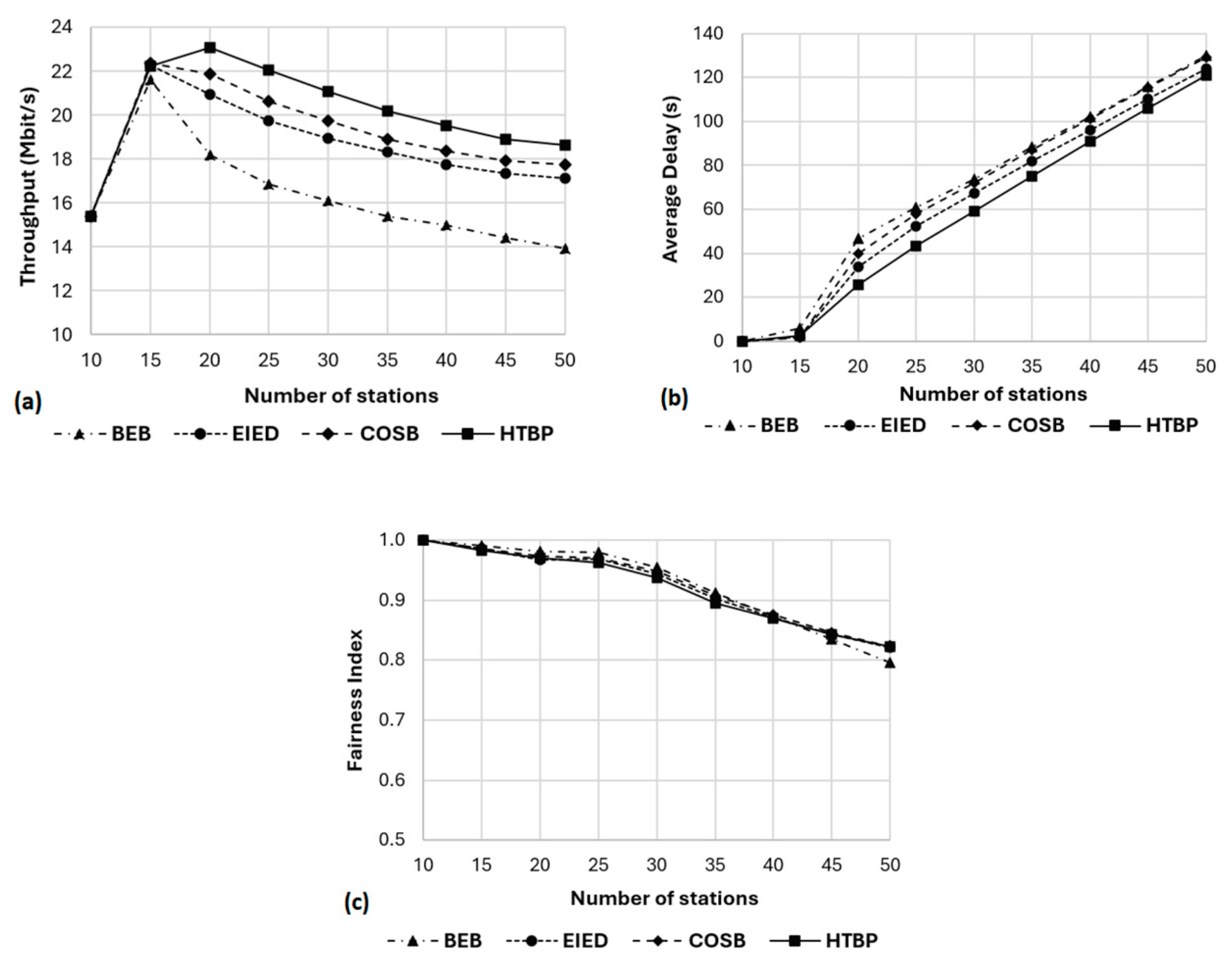
4.1. Simulation Results on an Ad-Hoc Grid Topology
4.2. Simulation Results on a MANET Topology
5. Conclusions
Acknowledgements
Authors Contribution
Conflicts of Interest
References
- The 802.11 Working Group, - Chapter 10 - Part 11: Wireless LAN MAC and PHY Specifications, IEEE Std 802.11TM-2016, (2016) 1296 - 1574.
- Vijay K. Garg, - Chapter 21 – Wireless Communications and Networking, Wireless Communications and Networking, Elsevier Inc., San Francisco: Morgan Kaufmann Publishers, (2007) 713–775.
- R. Ali, N. Shahin, Y. -T. Kim, B. -S. Kim, and S. W. Kim, - Channel observation-based scaled backoff mechanism for high-efficiency WLANs, Electron Lett, 54 (10), (2018) 663–665. [CrossRef]
- L. Dai and X. Sun, - A Unified Analysis of IEEE 802.11 DCF Networks: Stability, Throughput, and Delay, IEEE Trans Mob Comput, 12 (8), (2013) 1558–1572. [CrossRef]
- Nab-Oak Song, Byung-Jae Kwak, Jabin Song, and L. E. Miller, - Enhancement of IEEE 802.11 distributed coordination function with exponential increase exponential decrease backoff algorithm. The 57th IEEE Semiannual Vehicular Technology Conference, IEEE, (2003) 2775–2778. [CrossRef]
- Nafaa, A. Ksentini, and A. Mehaoua, - SCW: sliding contention window for efficient service differentiation in IEEE 802.11 networks, in IEEE Wireless Communications and Networking Conference, IEEE, 3, (2005) 1626-1631. [CrossRef]
- M. Bharatiya and S. Prasad, - MILD based sliding contention window mechanism for QoS in Wireless LANs, Fourth International Conference on Wireless Communication and Sensor Networks, IEEE, (2008) 105–110. [CrossRef]
- Q. Nasir and M. Albalt, - History Based Adaptive Backoff (HBAB) IEEE 802.11 MAC Protocol, the 6th Annual Communication Networks and Services Research Conference, IEEE, (2008) 533–538. [CrossRef]
- S. Manaseer and F. Badwan, - History-Based Backoff Algorithms for Mobile Ad Hoc Networks, Journal of Computer and Communications, 04 (11), (2016) 37–46. [CrossRef]
- C.-H. Lin, M.-H. Cheng, W.-S. Hwang, C.-K. Shieh, and Y.-H. Wei, - A Rapidly Adaptive Collision Backoff Algorithm for Improving the Throughput in WLANs, Electronics (Basel), 12 (15), (2023) 3324. [CrossRef]
- H.-M. Liang, S. Zeadally, N. K. Chilamkurti, and C.-K. Shieh, - A Novel Pause Count Backoff Algorithm for Channel Access in IEEE 802.11 Based Wireless LANs, International Symposium on Computer Science and its Applications, IEEE, (2008) 163–168. [CrossRef]
- Zanella and F. De Pellegrini, - Statistical characterization of the service time in saturated IEEE 802.11 networks, IEEE Communications Letters, 9 (3), (2005) 225–227. [CrossRef]
- Banchs, P. Serrano, and A. Azcorra, - End-to-end delay analysis and admission control in 802.11 DCF WLANs, Comput Commun, 29 (7), (2006) 842–854. [CrossRef]
- M. E. Rivero-Angeles, D. Lara-Rodriguez, and F. A. Cruz-Perez, - Gaussian approximations for the probability mass function of the access delay for different backoff policies in S-ALOHA, IEEE Communications Letters, 10 (10), (2006) 731–733. [CrossRef]
- T. Sakurai and H. Vu, - MAC Access Delay of IEEE 802.11 DCF, IEEE Trans Wirel Commun, 6 (5), (2007) 1702–1710. [CrossRef]
- ns-3 simulator, “https://www.nsnam.org/.
- D. M. C. and W. H. R. Jain, - A quantitative measure of fairness and discrimination for resource allocation in shared computer system, (1984), DEC Research Report TR-301.



| States | fi | ||
| Small | Medium | Large | |
| T00 | |||
| T10 | |||
| T01 | |||
| T11 | |||
| Parameters | Values | Parameters | Values |
|---|---|---|---|
| Operating Frequency | 5 GHz | CWmin | 31 |
| Bandwidth | 20 MHz | CWmax | 1023 |
| Packet size | 1024 bytes | Stations | From 5 to 50 |
| aSlottime | 9 μs | PropagationLossModel | LogDistance |
| Datarate | 54Mbps | Distance between stations | From 20 to 25 m |
| Packet rate | 300 kbps | Routing Protocol | OLRS |
Disclaimer/Publisher’s Note: The statements, opinions and data contained in all publications are solely those of the individual author(s) and contributor(s) and not of MDPI and/or the editor(s). MDPI and/or the editor(s) disclaim responsibility for any injury to people or property resulting from any ideas, methods, instructions or products referred to in the content. |
© 2025 by the authors. Licensee MDPI, Basel, Switzerland. This article is an open access article distributed under the terms and conditions of the Creative Commons Attribution (CC BY) license (http://creativecommons.org/licenses/by/4.0/).