Submitted:
21 April 2025
Posted:
27 April 2025
You are already at the latest version
Abstract
Keywords:
1. Introduction
2. Review of Hawkes Processes
3. Coarse-Grained Hawkes Process
3.1. Motivation
3.2. Definition
3.3. Stationary Process
3.4. Approximation to Hawkes Process
3.5. Parameter Estimation Method
| Algorithm 1: Estimation procedure for Hawkes processes |
|
4. Numerical Experiments
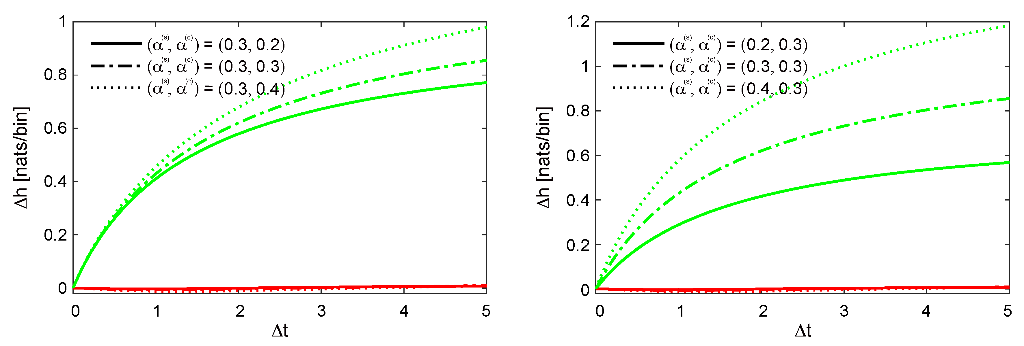
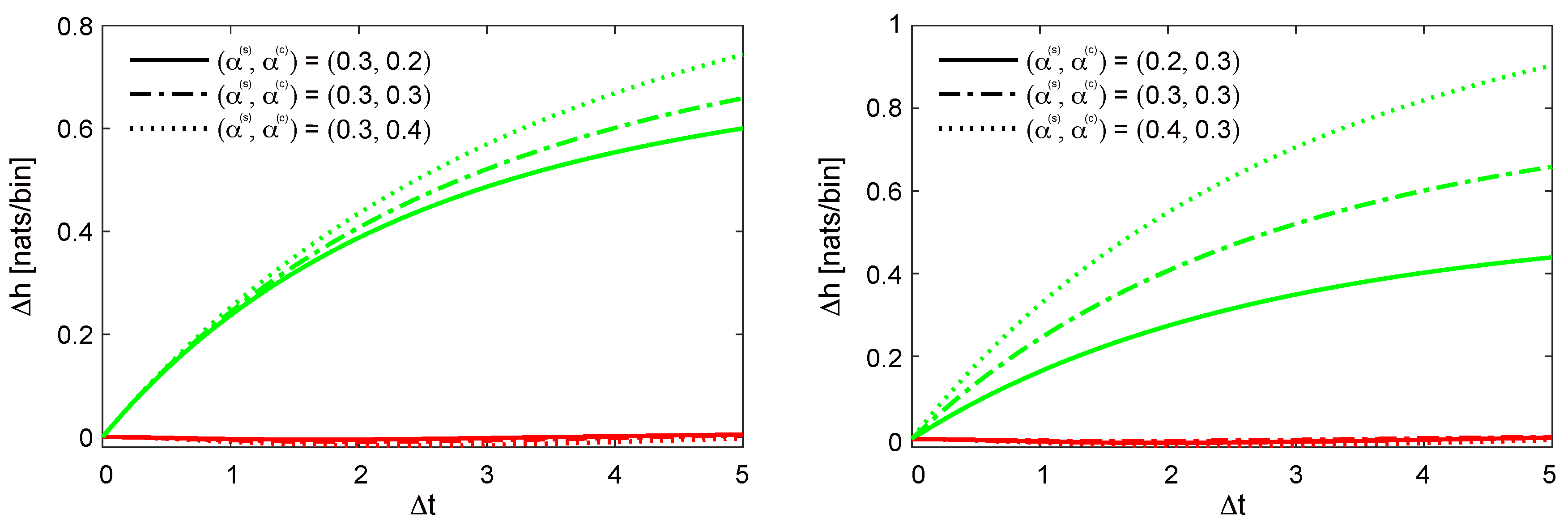
4.1. Assessment of Second-Order Characteristics
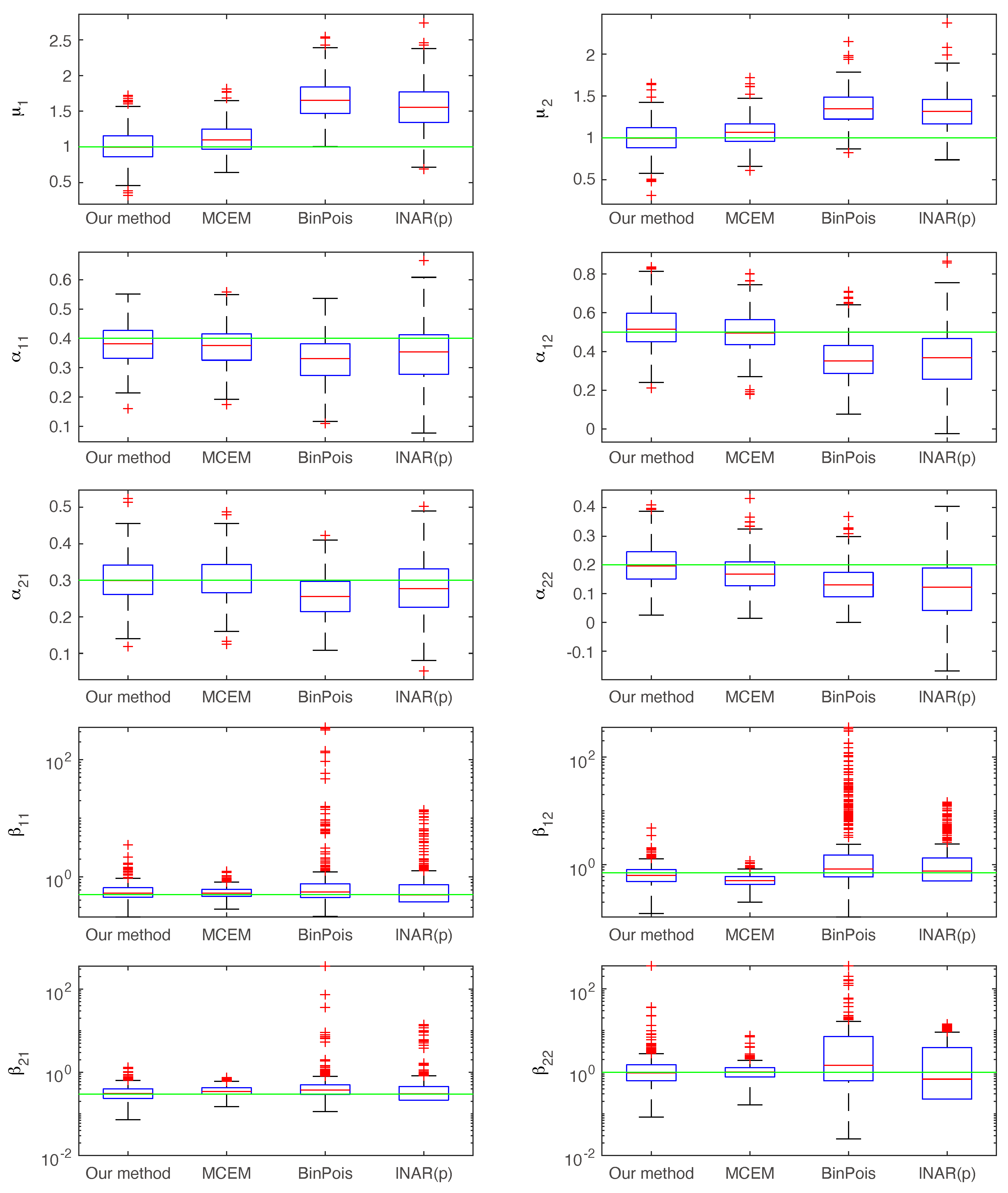
4.2. Parameter Estimation
5. Discussion
Funding
Conflicts of Interest
Appendix A. Proofs
Appendix A.1. Proof of Lemma 1
Appendix A.2. Derivation of (uid28) and (uid29)
Appendix A.3. Proof of Lemma 2
Appendix A.4. AR(∞) and MA(∞) representations
Appendix A.5. Proof of Theorem 1
Appendix A.6. Proof of Theorem 2
Appendix B. Second-order properties of the stationary Hawkes process
- Spectral Density Matrix of the Stationary Hawkes Process:where denotes the Fourier transform of the excitation kernel matrix, andrepresents the stationary (mean) intensity.
- Expected Value of the Binned Stationary Hawkes Process:
- Spectral Density Matrix of the Binned Stationary Hawkes Process:
Appendix C. Power-Law Distribution


References
- Hawkes, A.G. Spectra of some self-exciting and mutually exciting point processes. Biometrika 1971, 58, 83–90. [Google Scholar] [CrossRef]
- Hawkes, A.G. Point spectra of some mutually exciting point processes. Journal of the Royal Statistical Society. Series B (Methodological) 1971, 33, 438–443. [Google Scholar] [CrossRef]
- Adamopoulos, L. Cluster models for earthquakes: Regional comparisons. Journal of the International Association for Mathematical Geology 1976, 8, 463–475. [Google Scholar] [CrossRef]
- Ogata, Y. Statistical models for earthquake occurrences and residual analysis for point processes. Journal of the American Statistical Association 1988, 83, 9–27. [Google Scholar] [CrossRef]
- Chornoboy, E.S.; Schramm, L.P.; Karr, A.F. Maximum likelihood identification of neural point process systems. Biological Cybernetics 1988, 59, 265–275. [Google Scholar] [CrossRef]
- Pernice, V.; Staude, B.; Cardanobile, S.; Rotter, S. How structure determines correlations in neuronal networks. PLoS Computational Biology 2011, 7, e1002059. [Google Scholar] [CrossRef]
- Reynaud-Bouret, P.; Schbath, S. Adaptive estimation for Hawkes processes; application to genome analysis. The Annals of Statistics 2010, 38, 2781–2822. [Google Scholar] [CrossRef]
- Bacry, E.; Mastromatteo, I.; Muzy, J.F. Hawkes processes in finance. Market Microstructure and Liquidity 2015, 1, 1550005. [Google Scholar] [CrossRef]
- Hawkes, A.G. Hawkes processes and their applications to finance: a review. Quantitative Finance 2018, 18, 193–198. [Google Scholar] [CrossRef]
- Fox, E.W.; Short, M.B.; Schoenberg, F.P.; Coronges, K.D.; Bertozzi, A.L. Modeling E-mail Networks and Inferring Leadership Using Self-Exciting Point Processes. Journal of the American Statistical Association 2016, 111, 564–584. [Google Scholar] [CrossRef]
- Kobayashi, R.; Lambiotte, R. TiDeH: time-dependent Hawkes process for predicting retweet dynamics. Proceedings of the International AAAI Conference on Web and Social Media 2016, 10, 191–200. [Google Scholar] [CrossRef]
- Koyama, S.; Shinomoto, S. Statistical physics of discovering exogenous and endogenous factors in a chain of events. Physical Review Research 2020, 2, 043358. [Google Scholar] [CrossRef]
- Mohler, G.; Short, M.B.; Brantingham, P.J.; Schoenberg, F.P.; Tita, G.E. Self-Exciting Point Process Modeling of Crime. Journal of the American Statistical Association 2011, 106, 100–108. [Google Scholar] [CrossRef]
- Zhuang, J.; Mateu, J. A semiparametric spatiotemporal Hawkes-type point process model with periodic background for crime data. Journal of the Royal Statistical Society. Series A (Statistics in Society) 2019, 182, 919–942. [Google Scholar] [CrossRef]
- Lewis, E.; Mohler, G.; Brantingham, P.J.; Bertozzi, A.L. Self-exciting point process models of civilian deaths in Iraq. Security Journal 2012, 25, 244–264. [Google Scholar] [CrossRef]
- Kalair, K.; Connaughton, C.; Loro, P.A.D. A non-parametric Hawkes process model of primary and secondary accidents on a UK smart motorway. Journal of the Royal Statistical Society Series. C (Applied Statistics) 2021, 70, 80–97. [Google Scholar] [CrossRef]
- Kirchner, M. Hawkes and INAR(∞) processes. Stochastic Processes and their Applications 2016, 126, 2494–2525. [Google Scholar] [CrossRef]
- Kirchner, M. An estimation procedure for the Hawkes process. Quantitative Finance 2017, 17, 571–595. [Google Scholar] [CrossRef]
- Shlomovich, L.; Cohen, E.A.K.; Adams, N.; Patel, L. Parameter estimation of binned Hawkes processes. Journal of Computational and Graphical Statistics 2022, 31, 990–1000. [Google Scholar] [CrossRef]
- Shlomovich, L.; Cohen, E.A.K.; Adams, N. A parameter estimation method for multivariate binned Hawkes processes. Statistics and Computing 2022, 32, 98. [Google Scholar] [CrossRef]
- Chen, F.; Kwan, T.K.J.; Stindl, T. Estimating the Hawkes Process From a Discretely Observed Sample Path. Journal of Computational and Graphical Statistics 2025, 0, 1–13. [Google Scholar] [CrossRef]
- Cheysson, F.; Lang, G. Spectral estimation of Hawkes processes from count data. The Annals of Statistics 2022, 50, 1722–1746. [Google Scholar] [CrossRef]
- Daley, D.; Vere-Jones, D. An Introduction to the Theory of Point Processes Volume II: General Theory and Structure, 2nd ed.; Springer: New York, 2008. [Google Scholar]
- Mark, B.; Raskutti, G.; Willett, R. Network estimation from point process data. IEEE Transactions on Information Theory 2019, 65, 2953–2975. [Google Scholar] [CrossRef]
- Shlomovich, L. https://github.com/lshlomovich/MCEM_Multivariate_Hawkes.
- Durbin, J.; Koopman, S. Time series analysis by state space methods; Oxford University Press, 2001.
- Kitagawa, G. Introduction to Time Series Modeling; Chapman and Hall/CRC, 2010.
- Bacry, E.; Dayri, K.; Muzy, J.F. Non-parametric kernel estimation for symmetric Hawkes processes. Application to high frequency financial data. The European Physical Journal B 2012, 85, 157. [Google Scholar] [CrossRef]
- Bacry, E.; Muzy, J.F. First- and second-order statistics characterization of Hawkes processes and non-parametric estimation. IEEE Transactions on Information Theory 2016, 62, 2184–2202. [Google Scholar] [CrossRef]






Disclaimer/Publisher’s Note: The statements, opinions and data contained in all publications are solely those of the individual author(s) and contributor(s) and not of MDPI and/or the editor(s). MDPI and/or the editor(s) disclaim responsibility for any injury to people or property resulting from any ideas, methods, instructions or products referred to in the content. |
© 2025 by the authors. Licensee MDPI, Basel, Switzerland. This article is an open access article distributed under the terms and conditions of the Creative Commons Attribution (CC BY) license (http://creativecommons.org/licenses/by/4.0/).