Submitted:
21 February 2025
Posted:
21 February 2025
You are already at the latest version
Abstract
Keywords:
1. Introduction
2. Materials and Methods
2.1. Principle of Static Shift Effects
2.2. Time-Frequency Electromagnetic Static Shift Correction Method
2.3. Multifractal Analysis of Electromagnetic Anomalies
3. Results
3.1. Example of Static shift Correction in a Theoretical Model
3.2. Example of Static Shift Correction on Measured Data
3.3. Multifractal Spectrum Analysis of Electric Field in a Simple Electrical Model
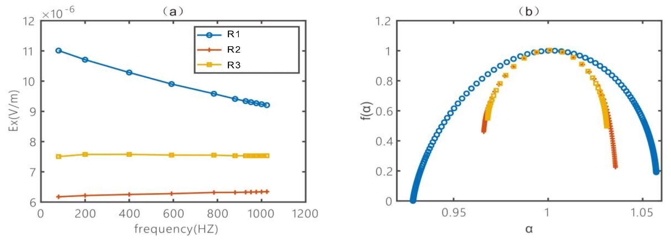
3.4. Multifractal Feature Analysis of Field Data
4. Discussion
5. Conclusions
References
- Andrieux, P.; Wightman, W. Ed. The so-called static corrections in magnetotelluric measurements. In Proceedings of the SEG Technical Program Expanded Abstracts, 1984; 43–44.
- Asrillah, A.; Abdullah, A.; Bauer, K.; Norden, B.; Krawczyk, C. M. Fracture characterisation using 3-D seismic reflection data for advanced deep geothermal exploration in the NE German Basin. Geothermics 2024, 116, 102833.
- Bahr, K. Interpretation of the magnetotelluric impedance tensor: regional induction and local telluric distortion. Journal of Geophysics 1988, 62(1), 119–127.
- Bostick, F.X., Jr. Electromagnetic array profiling (EMAP). In Proceedings of the SEG Technical Program Expanded Abstracts, 1986; 60–61.
- Gaci, S.; Nicolis, O. A grey system approach for estimating the hölderian regularity with an application to Algerian well log data. Fractal and Fractional 2021, 5(3), 86.
- Halsey, T. C.; Jensen, M. H.; Kadanoff, L. P.; et al. Fractal measures and their singularities: The characterization of strange sets. Physical Review A 1986, 33(2), 1141.
- He, Z.; Liu, X.; Qiu, W.; Zhou, H. Mapping reservoir boundary by borehole-surface TFEM: Two case studies. The Leading Edge 2005, 24(9), 896–900.
- Jones, A. G. Static shift of magnetotelluric data and its removal in a sedimentary basin environment. Geophysics 1988, 53(7), 967–978.
- Li, Z. Q.; Fu, G. Q.; Tan, S. Q.; Chen, X. G.; Guo, T.; Xiang, P.; ...; He, Z. X. Calculation and application of apparent resistivity in the frequency domain by TFEM. Applied Geophysics 2024, 21(2), 409–417.
- Ogawa, Y. On two-dimensional modeling of magnetotelluric field data. Surveys in Geophysics 2002, 23, 251–273.
- Pellerin, L.; Hohmann, G. W. Transient electromagnetic inversion: A remedy for magnetotelluric static shifts. Geophysics 1990, 55(9), 1242–1250.
- Schultz, A.; Kurtz, R. D.; Chave, A. D.; Jones, A. G. Conductivity discontinuities in the upper mantle beneath a stable craton. Geophysical Research Letters 1993, 20(24), 2941–2944.
- Singer, B. S. Correction for distortions of magnetotelluric fields: limits of validity of the static approach. Surveys in Geophysics 1992, 13, 309–340.
- Sternberg, B. K.; Washburne, J. C.; Pellerin, L. Correction for the static shift in magnetotellurics using transient electromagnetic soundings. Geophysics 1988, 53(11), 1459–1468.
- Tournerie, B.; Chouteau, M. Analysis of magnetotelluric data along the Lithoprobe seismic line 21 in the Blake River Group, Abitibi, Canada. Earth, Planets and Space 2002, 54, 575–589.
- Tournerie, B.; Chouteau, M.; Marcotte, D. Magnetotelluric static shift: Estimation and removal using the cokriging method. Geophysics 2007, 72(1), F25–F34.
- Torres-Verdin, C.; Bostick, Jr., F. X. Implications of the Born approximation for the magnetotelluric problem in three-dimensional environments. Geophysics 1992, 57(4), 587–602.
- Turcotte, D. L. Fractals and Chaos in Geology and Geophysics, 2nd ed.; Cambridge University Press: Cambridge, UK, 1997.
- Weibin, D.; Xiaoming, Z.; Fang, L.; Guo, Z. The time-frequency electromagnetic method and its application in western China. Applied Geophysics 2008, 5(2), 127–135.
- ZENG, X.; LIU, T.; TAN, X.; ZHANG, Y.; LI, X. Automatic determination of the cut-off wavenumber for downward continuation of potential field based on fractal radial spectrum. Progress in Geophysics 2024, 39(1), 403–411.
- ZHANG, C. H.; LIU, X. J.; HE, L. F.; HE, W. H.; ZHOU, Y. M.; ZHU, Y. S.; ...; KUANG, X. H. A study of exploration organic rich shales using Time-Frequency Electromagnetic Method (TFEM). Chinese Journal of Geophysics 2013, 56(9), 3173–3183.
- Zhang, P.; Chouteau, M.; Mareschal, M.; Kurtz, R.; Hubert, C. High-frequency magnetotelluric investigation of crustal structure in north-central Abitibi, Quebec, Canada. Geophysical Journal International 1995, 120(2), 406–418.
- Zhang, X.; Li, D.; Li, J.; Liu, B.; Jiang, Q.; Wang, J. Signal-noise identification for wide field electromagnetic method data using multi-domain features and IGWO-SVM. Fractal and Fractional 2022, 6(2), 80.
- Zhanxiang, H.; Zhi, Z.; Haiying, L.; Jinchen, Q. TFEM for oil detection: Case studies. The Leading Edge 2012, 31(5),.
- Zhanxiang, H.; Xiaodong, S.; Zuzhi, H.; Yanling, S.; Dongyang, S.; Weibin, D. Time–frequency electromagnetic method for exploring favorable deep igneous rock targets: A case study from north Xinjiang. Journal of Environmental and Engineering Geophysics 2019, 24(2), 215–224.
- Zhao, Z.; He, Z.X.; Li, D.C.; Yang, S.J.; Liu, X.J.; Li, T.B. Detecting favorable oil and gas targets with time-frequency electromagnetic method–case studies. In Proceedings of the 72nd EAGE Conference and Exhibition incorporating SPE EUROPEC 2010, Amsterdam, Netherlands, 23–26 June 2010; cp–161.











Disclaimer/Publisher’s Note: The statements, opinions and data contained in all publications are solely those of the individual author(s) and contributor(s) and not of MDPI and/or the editor(s). MDPI and/or the editor(s) disclaim responsibility for any injury to people or property resulting from any ideas, methods, instructions or products referred to in the content. |
© 2025 by the authors. Licensee MDPI, Basel, Switzerland. This article is an open access article distributed under the terms and conditions of the Creative Commons Attribution (CC BY) license (http://creativecommons.org/licenses/by/4.0/).
