Preprint
Article

This version is not peer-reviewed.

Smart Police Systems: Enhancing Urban Safety Through AI-Powered Surveillance and Edge Computing

Submitted:

15 February 2025

Posted:

18 February 2025

You are already at the latest version

Abstract

The development of sustainable smart cities and smart police systems is crucial for advancing urban environments, where success depends not only on technological innovation but also on the effective collaboration between key local organizations. This paper proposes a platform that integrates contributions from police departments, universities, provincial authorities, and social associations to implement a high-resolution smart vision system for license plate recognition, edge AI for local vision processing, and cloud-based software for urban cameras. By combining general-purpose cameras with advanced edge AI cameras, the platform reduces data charges by over 90% and crime investigation times by more than 70%. The system includes four license plate cameras, 20 edge AI cameras, and over 100 general cameras, all supported by AI software to reduce software licensing costs across the platform. This collaborative approach enhances law enforcement efficiency and provides a cost-effective, scalable solution for sustainable smart police development.

Keywords: 
;  ;  ;  

1. Introduction

Smart cities and smart policing systems have been developed through various innovative techniques and applications [1,2,3,4,5,6,7]. The "Smart Police" system integrates AI and Deep Learning technologies to enhance crime prevention by analyzing suspect behaviors, vehicle identities, and monitoring high-risk areas through surveillance. By fostering collaboration among local agencies and private organizations, the system enables real-time alerts and rapid responses, ensuring improved public safety and law enforcement efficiency in Chachoengsao Province. In [1], the CNN-LSTM hybrid approach outperforms traditional machine learning models in crime prediction, achieving 91% accuracy with the Denver dataset and 90% with Los Angeles data. By combining Convolutional Neural Networks (CNNs) with Long Short-Term Memory (LSTM) models, the research demonstrates significant improvements in predictive performance, highlighting the role of advanced machine learning in supporting law enforcement. In [2], a crime prediction model using the Chicago crime dataset focuses on forecasting both the occurrence and type of crime based on key features like date, time, and location. Utilizing analytics methods such as LASSO feature selection, Naïve Bayes, and SVM classifiers, the study identifies the most effective models for predicting crime types and severity. The study in [3] emphasizes the potential benefits and risks of big data-driven predictive policing, noting that while the research base is growing, evidence supporting its effectiveness remains limited, with only 6 studies deemed evidence-strong. This points to the need for further research to address issues like algorithmic bias and data concentration in policing. In [4], the potential of large language models (LLMs) such as BART, GPT-3, and GPT-4 in crime prediction within smart policing frameworks is explored. Leveraging advanced techniques like zero-shot and few-shot prompting, LLMs outperform traditional models in crime classification, marking a significant step forward in AI-driven law enforcement strategies. In [5], deep learning techniques like Faster R-CNN and EfficientDet are used for detecting firearms and human faces in smart surveillance systems, significantly improving detection performance through ensemble methods like Weighted Box Fusion. This technology shows promise for faster law enforcement responses and better resource allocation, with applications in broader contexts like social media monitoring. The study in [6] explores the DeepCog framework, which safeguards cognitive privacy in Brain-Computer Interface (BCI) systems used in the Industrial Internet of Things (IIoT), outperforming existing privacy techniques while maintaining classification accuracy. In [7], the DyPARK Pricing and Allocation Scheme (PAS), a machine learning and game theory-based approach, optimizes dynamic pricing and allocation of on-street parking, enhancing revenue generation and reducing congestion. Simulations show the superiority of DyPARK PAS over existing methods, demonstrating its potential in smart city parking management.
Intelligent algorithms are also adopted in various fields like image processing [8,9,10], intelligent control systems and power systems [11,12,13], and intelligent manufacturing [14,15,16], supporting performance across low, medium, and high-level applications, thus driving the enhancement of smart cities in all areas. This paper introduces the development of a "Smart Police" system designed to leverage technology for analyzing the identities of individuals and vehicles involved in criminal activities, aiming to prevent crime in Chachoengsao Province and align with the Eastern Economic Corridor (EEC) initiative. The system is designed to track suspected vehicles, analyze behavior via surveillance cameras, measure vehicle speeds, and monitor traffic conditions at various times, ultimately enhancing crime prevention and supporting collaboration between government, private organizations, and local communities. Public consultations involving King Mongkut’s Institute of Technology Ladkrabang, regional police, and local authorities revealed a strong demand for the system, driven by over 300 criminal cases and delays in law enforcement. This led to the integration of technology into police operations and the creation of a data-sharing network among local agencies to develop innovative solutions. The Smart Police system uses AI and Deep Learning to analyze data, identify suspects, and improve safety, employing surveillance cameras to detect suspicious activities and provide real-time alerts to police. The system can also track fleeing vehicles using characteristics like license plates, enabling timely action to apprehend offenders. This project, involving police authorities, engineering teams, and smart city offices, focuses on strengthening public-private partnerships and enhancing knowledge sharing, aiming for long-term sustainability and increased public safety in Chachoengsao Province, an important economic and tourism hub near Bangkok. Ultimately, the initiative seeks to create a comprehensive system for crime prevention and security, ensuring the well-being of residents and visitors while fostering sustainable benefits for the community.

2. Materials and Methods

The following theories and methods are adopted in this study to implement the "Smart Police" system.

2.1. Edge AI Camera and Deep Learning

Edge AI refers to the deployment of artificial intelligence algorithms directly on local devices, enabling real-time data processing without relying on cloud-based servers. This technology significantly reduces latency, making it ideal for applications that require immediate decision-making, such as autonomous vehicles or smart surveillance systems. By processing data at the edge, Edge AI also minimizes bandwidth usage and enhances privacy, as sensitive information does not need to be transmitted to remote servers. As the adoption of IoT devices continues to grow, Edge AI is becoming a crucial component in building more efficient, responsive, and secure systems. Deep learning is based on mathematical foundations and ideas that govern the operation of deep neural networks—a subset of machine learning models—commonly referred to as deep learning theory. Deep learning theory spans a wide range of concepts and strategies for training and optimizing deep neural networks for complicated pattern recognition tasks. Deep learning algorithms consist of interconnected layers, including an input layer, hidden layers, and an output layer. These layers form deep neural networks, which process input data by propagating it through a series of interconnected nodes called neurons. The neurons in each layer are connected to neurons in subsequent layers, enabling the flow of information through the network. Figure 1 shows the overview of machine learning and deep learning which differ in terms of features extraction part.
Deep learning is a subset of machine learning that focuses on artificial neural networks with multiple layers. These networks can automatically learn hierarchical representations of data, making them well-suited for tasks such as image recognition, natural language processing, and more. Convolutional Neural Networks (CNNs) are a specialized form of deep learning architecture designed specifically for processing image data by capturing spatial hierarchies in features.
A. Neural Network Forward Propagation
Each neuron in a layer computes a weighted sum of its inputs, followed by an activation function:
z l = W l a l 1 + b l
The activation of the neuron is given by:
a l = σ z l
where:
  • W l W l and b l b l are the weights and biases of layer ll,
  • a l a l is the activation of layer ll,
  • σ σ is the activation function.
Where Activation Functions can be
  • ReLU (Rectified Linear Unit):
    σ z = max 0 , z
  • Sigmoid Activation:
    σ z = 1 1 + e z
  • Tanh Activation:
    σ z = e z e z e z + e z
Loss Functions is the function that the CNN will minimize can be selected from
  • Cross-Entropy Loss (for Classification):
    L = i = 1 N y i log y i ^
  • Mean Squared Error (MSE) (for Regression):
    L = 1 N i = 1 N y i y i ^ 2
B. Backpropagation and Gradient Descent
Through the training data and gradient descent algorithms, the learning or training process called backpropagation can be carried out. Weight and bias updates are performed using gradient descent:
  • Weight update:
    W l = W l η L W l
  • Bias update:
    b l = b l η L b l
where:
  • η is the learning rate,
    L W l L W l a n d L b l L b l
    are gradients of the loss function w.r.t. weights and biases.
C. General Deep Learning Model Representation
A deep learning model with multiple layers can be represented as:
a L = f W L f W 2 f W 1 x + b 1 + b 2 + b L
where L is the total number of layers.

2.2. Object detection

Overall, deep learning leverages the structure of interconnected layers and the iterative adjustment of weights and biases to learn from data and make predictions. It has proven to be a powerful approach in various domains, enabling the development of sophisticated models capable of handling complex tasks. When combined with object detection—a computer vision task that involves recognizing and localizing various items in an image or video—deep learning can perform the inspection task of classifying objects. The goal is to offer precise bounding box coordinates that outline the positions of objects in addition to recognizing their existence. The algorithm of object detection must detect and classify multiple objects simultaneously and precisely locate them within the visual data in the form of images or videos.
Figure 2. Object detection Flow.
Figure 2. Object detection Flow.
Preprints 149486 g002
Human and weapon detection is an algorithm that aims to accurately detect and localize human bodies or weapon parts in images or video frames. These algorithms typically leverage machine learning techniques, particularly deep learning, to learn discriminative features that separate humans from the background or other objects in the frame.The process of human detection involves training labeled data in the form of images or video frames with bounding boxes around the desired object. The training session uses machine learning model, such as deep neural network, to train to learn the discriminative features that differentiate humans from other objects. The model optimizes its parameters based on a defined objective function, aiming to minimize detection errors.
The following are examples of the key concepts in human detection.
A. Feature and Representation
Human detection algorithms rely on the extraction of relevant features or representations from the input data. These traits capture distinguishing human characteristics such as shape, texture, color, and motion. Haar-like features, Histogram of Oriented Gradients (HOG), Scale-Invariant Feature Transform (SIFT), and deep learning-based features produced from Convolutional Neural Networks (CNNs) are examples of commonly used features.
B. Machine learning
Machine learning plays a crucial role in human detection. To learn discriminative patterns that distinguish humans from non-human objects or backgrounds, supervised learning techniques such as Support Vector Machines (SVM), Random Forests, and Neural Networks are often used. These algorithms are trained on labeled datasets in which people are categorized as positive and non-humans as negative.
C. Classifier cascades
Classifier cascades are used to efficiently exclude non-human areas early in the detecting process. Cascades consist of several stages, each with a classifier that filters out non-human areas based on increasing complexity. This hierarchical strategy speeds up the detection process by reducing the number of locations that must be thoroughly analyzed.
D. Metrics of Evaluation
Evaluation metrics are used to measure the performance of human detection algorithms. Precision, recall, and the F1 score are common measures that assess the algorithm's capacity to recognize humans while reducing false positives and false negatives. To assess the accuracy of bounding box localization, additional metrics such as mean Average Precision and Intersection over Union are utilized.
E. COCO dataset
The COCO (Common Objects in Context) dataset is an image recognition dataset to perform various tasks, including object detection, instance segmentation, and image captioning, serving as a dependable resource for training and evaluating various models. Each image within the dataset is annotated with bounding boxes that accurately enclose instances of the object categories shown in the frame. In addition, the dataset includes segmentation masks for each object instance as well as descriptive label that explain the image content.The COCO dataset offers comprehensive annotations, rendering it invaluable or advancing computer vision research.
F. SSD MobileNet V2
SSD MobileNetV2 is a prevalent object detection framework that combines the Single Shot Multi-Box Detector (SSD) architecture with the MobileNetV2 convolutional neural network backbone, which is built to strike a balance between high accuracy and computational efficiency. The primary components of SSD MobileNetV2 are the backbone network and the detection head. The backbone network acts as a feature extractor, extracting relevant features from the input image. Another component, SSD MobileNetV2's detection head, predicts object bounding boxes and their class probabilities. It consists of a set of prediction layers followed by a sequence of convolutional layers with diminishing spatial resolution. These prediction layers provide a set of default bounding boxes with varied aspect ratios and sizes. The advantages of this model lie in its high detection accuracy and compatibility with mobile and embedded devices. SSD MobileNetV2 has made significant inroads into real-time object identification applications such as autonomous driving, mobile robots, and intelligent surveillance systems. Its efficient architecture enables real-time object detection on devices with limited processing resources, making it ideal for deployment in scenarios requiring low latency and high accuracy.

2.3. People Centric Development

The development of an intelligent police system in Chachoengsao Province is based on a community-centered research approach that involves active participation from various stakeholders. The methodology comprises four primary phases:
A. Community Engagement and Data Collection
The community engagement process is designed to ensure that the system addresses local needs and concerns effectively.
  • Survey Design:
Structured questionnaires, consisting of open-ended and closed-ended questions, were developed to gather comprehensive feedback. Open-ended questions allowed participants to freely express opinions and provide detailed insights, while closed-ended questions facilitated quantifiable data collection. Sampling and Participant Selection:Data collection targeted a diverse group of at least 200 participants from 19 subdistricts in Chachoengsao Province. The sampling process ensured representation from key stakeholders, including residents in high-crime areas, law enforcement officials, and local business owners. The sample size and confidence level (95-97%) ensured statistical reliability.
  • ▪ Data Analysis:
Multiple statistical methods were employed to analyze survey results:
  • ▪ Descriptive statistics (e.g., percentage, frequency, mean, and standard deviation) provided an overview of public needs.
  • ▪ Inferential statistics, such as t-tests and ANOVA, identified differences across demographic groups (e.g., gender, age, income, and education level).
  • ▪ Chi-square tests were used to evaluate relationships between variables, while hypothesis testing methods validated findings.
B. Development of Collaborative Networks
A network of stakeholders was established to facilitate data collection and system development. Collaborative efforts involved local government agencies, law enforcement, private organizations, and community groups. Stakeholders provided insights on:
  • Identifying high-risk areas for theft and other crimes.
  • Proposing system functionalities tailored to the specific needs of the community.
  • Ensuring transparency and trust through regular consultations and information sharing.
C. System Development and Prototype Testing
The intelligent police system was developed based on the data collected and analyzed. Key steps included:
  • Infrastructure Design:
High-risk areas were identified based on crime statistics and community feedback. These areas were equipped with advanced technology such as intelligent CCTV systems and weapon detection sensors.
  • Technology Integration:
Artificial intelligence (AI) algorithms were incorporated to enable real-time analysis and alert generation. For example, the system could identify suspicious behaviors, vehicles, or individuals carrying weapons.
  • Prototype Deployment:
The prototype Edge AI cameras as shown in Figure 3(a) were installed at 20 high-priority locations. During the pilot phase, alerts generated by the system were sent to law enforcement and local stakeholders via digital communication platforms (e.g., Line). Feedback from these trials was used to refine system performance and functionality. An intelligent modular system for crime detection in Chachoengsao City has been developed. It is designed to communicate with the cloud and perform AI-based processing autonomously, enabling it to send alerts to relevant individuals independently. Additionally, the system includes functionality for recording data on an SD card integrated into the module. The system is capable of detecting weapons (e.g., knives, guns) and helmets. The AI technology in this project integrates embedded cameras with an Edge AI system, which processes data directly on a specially developed board. The processed data is then transmitted to the cloud and subsequently to a server. This design distributes AI analysis responsibilities between the embedded system and the cloud system, significantly reducing data transmission volume compared to traditional systems. This approach ensures timely notifications to users, reduces operational costs, and enhances the overall effectiveness of the intelligent policing system.
The system's working principle is illustrated in Figure 3(b). The system database is connected to the website of the Smart City Office, ensuring seamless integration and accessibility. The only necessary data or captured event image is transferred to the cloud to inform the police/authorized or member persons. Figure 3(c) and (d) show the outdoor hardware of the license plate cameras and the developed software for the license plate detection, respectively. In Figure 3(c) there are 6 cameras for the license plate detection, IR license plate detection (for detection with low light intensity condition) and over viewing.
The Smart Police System consists of two main components: the Theft Alert System and the Vehicle Analysis System for road surveillance. These two systems are interconnected and accessible through dedicated websites for each system.
Theft Alert System (Weapon Detection) 
The theft alert system is installed in locations prone to theft, such as convenience stores, gold shops, temples, schools, and hospitals. It is typically set up within the premises or at entrances to detect abnormal events, such as carrying weapons (e.g., knives or firearms), wearing helmets within restricted areas, or unauthorized access during off-hours (this feature can be enabled or disabled as needed). The system can also limit access based on different levels of authorization. Alerts are sent via Line Notify, accompanied by images of unusual activities.
Access to the system is divided into two levels:
  • User Level: Regular users who can receive alerts.
  • Admin Level: Administrators with more comprehensive access to system management.
Access to the database system is restricted exclusively to the Super Admin Level to ensure data security and integrity.
Vehicle Analysis System for Road Surveillance 
This system utilizes AI-powered computer processing to analyze vehicle data collected from license plate cameras installed in specific areas. It compiles information on passing vehicles and allows for data retrieval through a web-based platform. Users can search for license plate information related to stolen vehicles to track escape routes and apprehend suspects.
Access to this system is strictly limited to System Administrators to comply with the Personal Data Protection Act (PDPA).
The interconnection between these systems is illustrated in Figure 4.
The operational process of the Theft Alert System is divided into five main steps, as illustrated in Figure 5. The details of each step are as follows:
  • Image Acquisition
This step involves obtaining images or video footage from CCTV cameras.
  • Image Preprocessing
This step prepares the images for subsequent processing, which may include noise removal, light balance adjustment, and image resizing.
  • Weapon Detection
This step detects weapons, helmets, and intruders during off-hours or specified times. The intruder alert mode can be toggled on or off based on predefined schedules.
  • Notify Data
This step sends alerts via the Line Notify system to users and administrators.
  • Inserts into Database
This step stores the recorded events into a database for further investigation. Access to this system is restricted to administrators only.
Figure 5. Operational Process of the Theft Alert System.
Figure 5. Operational Process of the Theft Alert System.
Preprints 149486 g005
For the development of the license plate recognition system, an AI-based processing system was created in conjunction with License Plate Recognition (LPR) technology. This technology is used to identify the location and read vehicle license plates from images or video footage captured by CCTV cameras. The operational process of the developed system allows for rapid verification, as illustrated in Figure 6.
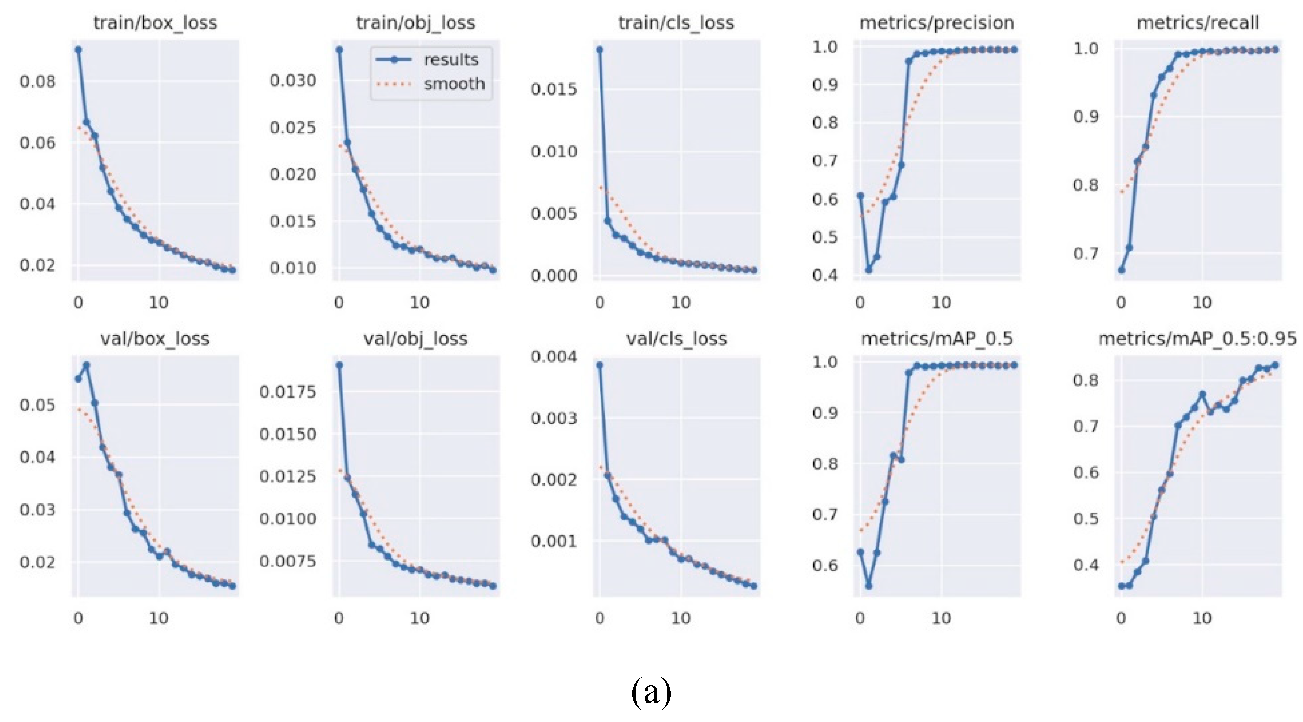
The Vehicle License Plate Training generated the training data results shown in Figure 7(a). The Smart Police System Training results are depicted in Figure 7(b). The figures illustrate key metrics such as accuracy, recall, mean average precision, and three distinct types of loss: box, objectness, and classification. Box loss measures the algorithm's ability to locate the center of an object and its effectiveness in covering the object with a bounding box. Additionally, the validation data for Vehicle License Plates demonstrates a significant reduction in box, objectness, and classification losses up to approximately epoch 5.
D. Knowledge Transfer and Capacity Building
The final phase focused on ensuring the sustainability of the system through knowledge transfer and capacity building:
  • Community Training:
Training sessions were conducted for local users to familiarize them with system operations and basic troubleshooting.
  • Professional Development:
Law enforcement officials and IT staff received advanced training on maintaining and upgrading the system. These efforts aimed to enable local stakeholders to independently manage and further develop the system over time.
By integrating community participation, advanced statistical analysis, collaborative networks, and innovative technology, this methodology ensures the development of a robust and sustainable intelligent police system tailored to the needs of Chachoengsao Province.
As shown in Figure 8, some examples of the test of weapon and thief detection has been shown. Clearly, the notification via the platform LINE has been successfully done. The vehicle license plate detection system is illustrated in Figure 9. Additionally, a "Practical AI on Smart City" training program was conducted in collaboration with Provincial Police Region 2, as shown in the infographic for calling the training applicants in Figure 10. The professional training aims to equip the police with the skills to develop programs involving embedded AI and license plate recognition, enabling the community to adjust to and manage intelligent devices in the future, thereby contributing to the sustainability of the smart city. The developed field prototype has been tested for criminal tracking and has undergone continuous improvements. At present, it has successfully been utilized to assist in capturing some criminals.

3. Results and Discussion

3.1. Survey Responses

The sample group responded to 212 questionnaires out of a total of 248 participants. This group is representative of the overall participants, consisting of 59.6% male and 40.4% female, with these percentages closely matching the overall gender distribution.
  • Factors Influencing the Selection of Smart Police System Installation Locations
    Based on over 200 survey responses, the most frequently mentioned factors are as follows:
    • Areas where crimes occur frequently
    • Areas for crime prevention benefits
    • Areas with high foot traffic
  • Installation Locations
During the meeting, various opinions were presented, with the majority favoring camera installation in community areas, particularly along isolated alleyways. Regarding the installation site and setup, the most frequently mentioned opinions are as follows:
Installation Locations
Possible installation locations include in front of schools, at public bus stops, public areas, and tourist attractions.
b. Suggested Installation Areas
It is recommended to install cameras in community areas, schools, and daycare centers.
c. Connecting Data for Public Viewing
There is a suggestion to link the system to a large TV screen so that the public can view it in community areas.
d. System Interface Feedback
The most common opinions on the system interface, ranked by frequency, are as follows:
  • The interface should be clearer and more user-friendly, with improved clarity and ease of use.
  • The cameras should provide sharp images, and as observed, the cameras already offer clear visuals.
  • There should be an automatic system to call the police, and the system should send alerts to the public.
Based on the survey results, the proposed system was installed at locations that matched the recommendations. The installation of both the Theft Alert System and the Vehicle License Plate Analysis System was carried out using feedback from organizational representatives, meetings with local police stations, and input from the public. The systems were installed in high-risk areas, including 6 convenience stores, 8 gold shops, 2 temples, 2 pawnshops, and 2 police stations (as shown in Figure 11). These locations were chosen due to their vulnerability to theft, with some having previously experienced incidents—specifically, 2 convenience stores and 1 temple. The examples of installed edge AI cameras are shown in Figure 12. In addition, the waring and results of notification of our developed Edge AI system is shown in Figure 13, where the users can receive the Suspicious images via LINE notification.
The Vehicle License Plate Analysis System is designed to track vehicles that may have fled the scene by processing data from license plate cameras to identify and filter vehicles involved in criminal activities or with previous offenses. This system communicates with the cloud and processes AI data through a computer. It is accessed via a dedicated website provided by the Smart City Office in Chachoengsao Province, and efforts are ongoing to coordinate with the office to expand system access. For the installation of this system, coordination was made with Saen Phudat Police Station to integrate license plate cameras at a total of 3 locations, as shown in Figure 13. The newly added installation sites (marked with red pins) are at positions 1 and 2, while the existing camera location (marked with yellow pins) is at position 3. This setup ensures coverage of escape routes used during theft incidents within the jurisdiction of Saen Phudat Police Station. The installation locations were selected based on surveys and aligned with feedback from the target community, as shown in the 3 locations in Figure 14.

3.2. Results of the Developed Smart Police System

To access the website and search for license plates, users must log in. Access is restricted to Super Admin-level users only. This group includes individuals or system developers assigned by Saen Phudat Police Station, ensuring compliance with the Personal Data Protection Act (PDPA). Details of access rights are as follows:
  • Super Admin Level
Super Admins are individuals assigned by the Saen Phudat Police Station and system developers specifically designated by the same station. They can access the following data:
  • System Access and Information:
  • Access to the database for all 6-license plate camera with 3-installation locations in the project.
  • Access via the Smart City Office website for Chachoengsao Province.
  • Data includes captured images, date, time, license plate number, province, vehicle type, location, and coordinates.
  • Super Admins can download all data and images from the past 15 days or more.
An example of the UX/UI database is shown in Figure 15.
The results presented in Figure 16, Figure 17 and Figure 18 are the results of license plate detecting. Login and data access depend on the user's role and responsibilities. For example, general public users can view data in text format, while police officers can access images, videos, and other relevant information. Figure 16 displays the vehicle count recorded at different times, which the developed software can report. Figure 17 illustrates the analysis of license plates when vehicles pass by installed cameras. Additionally, Figure 18 shows the ability to track the movements of vehicles with specific license plates.
The integration of artificial intelligence (AI) into surveillance and security systems has significantly enhanced public safety. AI-powered image detection and processing systems, particularly closed-circuit television (CCTV) cameras, have gained widespread popularity due to their capabilities in detecting individuals, monitoring motion, and reading vehicle license plates. However, the cost of AI cameras remains a major consideration, with prices typically ranging between 1,000 and 5,000 USD. Furthermore, many commercially available AI cameras are designed to support only predefined functions and do not allow for software upgrades, thereby limiting their long-term usability and efficiency
Detection Accuracy: The embedded system successfully identified people with high accuracy across various scenarios, achieving an overall detection accuracy of 88.796% and ensuring reliable intruder detection capabilities. Weapon and human detection were tested for one month prior to launch via LINE notifications. More than 10,000 frames containing humans and weapons were verified. Accuracy is calculated using the following equation:
  • TP (True Positive): The model correctly predicts the positive class.
  • TN (True Negative): The model correctly predicts the negative class.
  • FP (False Positive): The model incorrectly predicts the positive class when it's actually negative.
  • FN (False Negative): The model incorrectly predicts the negative class when it's actually positive.
A c c u r a c y = T P + T N T P + F P + F N + T N

3.3. Cost-Effectiveness and Technological Advancements in AI Cameras and the Smart Police System

The integration of artificial intelligence (AI) into surveillance and security systems has significantly enhanced public safety. AI-powered image detection and processing systems—particularly closed-circuit television (CCTV) cameras—have become popular due to their capabilities in detecting individuals, monitoring motion, and reading vehicle license plates. However, the cost of AI cameras remains a major consideration, with prices typically ranging between 1,000 and 5,000 USD. Furthermore, many commercially available AI cameras are designed to support only predefined functions and do not allow for software upgrades, limiting their long-term usability and efficiency.
In contrast, the "Smart Police" system, developed at a cost of only 600 USD, offers a more cost-effective and versatile solution. The system is designed to perform essential security functions such as weapon detection and vehicle license plate recognition, both of which are critical for crime prevention. Additionally, the Smart Police system is future-proof, allowing for software updates to ensure continued relevance and adaptability to evolving security needs.
From a cost perspective, the Smart Police system is priced at approximately half the cost of high-end AI cameras available on the market, yet it delivers superior performance in multiple aspects, including flexibility, adaptability to diverse scenarios, and customization according to specific user requirements. Furthermore, its design enables seamless integration with emerging technologies, thereby minimizing future expenses while maximizing long-term security efficiency.
Compared to the previous surveillance system, which relied on 5G SIM technology to transmit full video data to a central server for analysis, the Smart Police system employs a more efficient data management approach. Instead of transmitting entire video streams, the system stores full video footage locally on an SD card within the camera. Only images related to significant events are transmitted to the central server, allowing the use of a low-cost communication SIM with data charges reduced by a factor of ten.
To assess the practical effectiveness of the Smart Police system, a survey was conducted with eight police officers at Saenphudat Police Station. The findings revealed a substantial reduction in preliminary investigation time, from an average of 14–20 hours to less than one hour. This represents an improvement of over 70% in investigation efficiency, attributed to the integration of Edge AI cameras and license plate recognition technology, both developed by the research team. These findings underscore the system's potential to enhance law enforcement efficiency while reducing operational costs.
In conclusion, the Smart Police system presents a highly cost-effective and efficient alternative to conventional AI cameras. By combining affordability, functionality, and scalability, it stands out as an ideal investment for modern security applications, ensuring both immediate and long-term benefits for law enforcement and public safety initiatives.
When considering the features and prices of AI cameras and the Smart Police System, technology plays a crucial role in ensuring safety. AI-powered image detection and processing systems have become highly popular, especially CCTV cameras with the capability to analyze data such as detecting individuals, motion, and reading vehicle license plates. The Smart Police system is designed to cover essential functions such as weapon detection and vehicle license plate reading, which are key components of crime prevention. Additionally, the system is future-proof and can be updated to stay modern and meet evolving needs.
In terms of cost, the Smart Police system is only half the price of high-quality AI cameras on the market but provides superior results in several areas, including versatility, adaptability to various situations, and the ability to be customized according to user-specific needs. The system can also evolve to support new technologies in the future, reducing potential additional costs over time, while enhancing long-term safety effectiveness.
When considering both cost and capability, the Smart Police system proves to be a more suitable choice, especially considering its greater value for money. It not only reduces expenses but also covers all aspects of security management with its diverse features, cost-efficiency, and capacity for future development. This makes it an ideal investment in security technology, both for the present and future.
In addition, compared to the previous system that used 5G SIM technology to transmit full video data to a central computer for evaluation, our system stores full video locally on an SD card within the camera, which can be accessed remotely at any time. However, only the captured image data of significant events are sent to the central computer, allowing us to use a low-cost communication SIM with data charges reduced by a factor of ten. A survey conducted with 8 police officers at Saenphudat Police Station to evaluate the system revealed that the preliminary investigation time was reduced from approximately 14–20 hours to less than 1 hour. This represents a reduction of over 70% in investigation time, achieved by combining the Edge AI camera and the license plate camera—both developed by our research team.

4. Conclusions

The Smart Police System for crime prevention in Chachoengsao integrates intelligent analysis to detect vehicles and firearms. The system was tested in key locations, such as the Huanon Intersection and the Saenphudat Police Station, accurately and quickly analyzing vehicle license plates. A database with two levels of access was developed: one for system administrators to search for images and license plate data, and another for general users who receive crime detection alerts. The prototype system significantly improved investigation efficiency, reduced processing time, and provided preventative effects on crime. The project also emphasizes collaboration with agencies such as the Smart City Innovation Office and the Provincial Police, with plans for knowledge transfer to personnel in June 2024.
The development of sustainable smart cities and smart police systems is crucial for advancing urban environments. Success depends not only on technological innovation but also on effective collaboration between key local organizations. This project proposes a platform that integrates contributions from police departments, universities, provincial authorities, and social associations to implement high-resolution smart vision license plate recognition, edge AI for local vision processing, and cloud-based software for urban cameras. By combining general-purpose cameras with advanced edge AI cameras, the platform reduces data charges by over 90% and crime investigation times by more than 70%. The system includes four license plate cameras, 20 edge AI cameras, and over 100 general cameras, all supported by AI software designed to reduce software licensing costs across the platform. This collaborative approach enhances law enforcement efficiency and provides a cost-effective, scalable solution for sustainable smart police development.
The project began with consultations involving over 70 participants from 25 agencies, gathering public feedback on safety technology and crime prevention. This data, combined with crime statistics, helped identify high-risk areas, such as secluded communities and tourist sites. Key factors for the system's installation included traffic patterns and behaviors related to vehicles and weapons.
During development, the system was installed in real locations and tested, successfully detecting vehicles and weapons at 20 points. It can now analyze vehicle license plates quickly, reducing investigation time from days to hours. The system's impact includes a reduction in serious crime rates, as criminals become aware of its effectiveness, thereby improving the police's investigative capabilities and increasing public trust, particularly in high-risk communities.
The project also established two databases: one for administrators to investigate crimes and license plates, and another for general users to receive alerts. These databases streamline data processing and simplify operations. Collaboration with the Smart City Innovation Office and the Provincial Police ensures long-term system development. The system's installation fosters public confidence in Chachoengsao, enhancing safety and improving the police's image as a transparent, effective agency that uses technology to serve the public.

Acknowledgements

This research was supported by the Program Management Unit on Area-Based Development (PMU-B) under Grant No. A13F660161.

References

  1. Vijayalakshmi, M. and Rigzen Norbu. “Smart Police: A Hybrid Deep Learning Model for Crime Proactivity Assessment.” 2023 14th International Conference on Computing Communication and Networking Technologies (ICCCNT) (2023): 1-7.
  2. Nitta, Gnaneswara Rao et al. “LASSO-based feature selection and naïve Bayes classifier for crime prediction and its type.” Service Oriented Computing and Applications 13 (2019): 187 - 197.
  3. Lee, Youngsub, Ben Bradford, and Krisztian Posch. 2024. “The Effectiveness of Big Data-Driven Predictive Policing: Systematic Review.” Justice Evaluation Journal 7 (2): 127–60. [CrossRef]
  4. P. Sarzaeim, Q. H. P. Sarzaeim, Q. H. Mahmoud and A. Azim, "A Framework for LLM-Assisted Smart Policing System," in IEEE Access, vol. 12, pp. 74915-74929, 2024.
  5. R. Chatterjee, A. Chatterjee, M. R. Pradhan, B. Acharya and T. Choudhury, "A Deep Learning-Based Efficient Firearms Monitoring Technique for Building Secure Smart Cities," in IEEE Access, vol. 11, pp. 37515-3 7524, 2023. [CrossRef]
  6. F. Schiliro, N. F. Schiliro, N. Moustafa, I. Razzak and A. Beheshti, "DeepCog: A Trustworthy Deep Learning-Based Human Cognitive Privacy Framework in Industrial Policing," in IEEE Transactions on Intelligent Transportation Systems, vol. 24, no. 7, pp. 20 July 7485; 23. [Google Scholar] [CrossRef]
  7. S. Saharan, N. S. Saharan, N. Kumar and S. Bawa, "DyPARK: A Dynamic Pricing and Allocation Scheme for Smart On-Street Parking System," in IEEE Transactions on Intelligent Transportation Systems, vol. 24, no. 4, pp. 20 April 4217; 23. [Google Scholar] [CrossRef]
  8. A Saenthon, S Kaitwanidvilai, “Development of new edge-detection filter based on genetic algorithm: an application to a soldering joint inspection”, The International Journal of Advanced Manufacturing Technology 46, 1009-1019, 2010.
  9. K. P, P. K. P, P. S, T. S and V. S, "Enhancing Campus Security Through Smart Surveillance System," 2024 10th International Conference on Advanced Computing and Communication Systems (ICACCS), Coimbatore, India, 2024, pp. [CrossRef]
  10. Sison, H. , Konghuayrob, P., Kaitwanidvilai, S.: A convolutional neural network for segmentation of background texture and defect on copper clad lamination surface. In: 2018 International Conference on Engineering, Applied Sciences, and Technology (ICEAST), pp. 1–4. 2018. [Google Scholar]
  11. J. A. J. Alsayaydeh, Irianto, M. F. Ali, M. N. M. Al-Andoli and S. G. Herawan, "Improving the Robustness of IoT-Powered Smart City Applications Through Service-Reliant Application Authentication Technique," in IEEE Access, vol. 12, pp. 19405-1 9417, 2024. [CrossRef]
  12. A. N. Cuk Supriyadi, I. Ngamroo, S. Kaitwanidvilai, A. Kunakorn, T. Hashiguchi and T. Goda, "Robust Pitch Controller Design in Hybrid Wind-Diesel Power Generation System," 2008 3rd IEEE Conference on Industrial Electronics and Applications, Singapore, 2008, pp. 1054-1059. [CrossRef]
  13. S. Yanyong, R. Parichatprecha, P. Chaisiri, S. Kaitwanidvilai, and P. Konghuayrob, “Sensor Fusion of Light Detection and Ranging and iBeacon to Enhance Accuracy of Autonomous Mobile Robot in Hard Disk Drive Clean Room Production Line,” Sensors and Materials, Vol. 35, No. 4 (2023) 1473–1486.
  14. M. Ryalat, N. Almtireen, H. Elmoaqet and M. Almohammedi, "The Integration of Two Smarts in the Era of Industry 4.0: Smart Factory and Smart City," 2024 IEEE Smart Cities Futures Summit (SCFC), Marrakech, Morocco, 2024, pp. 9-12. [CrossRef]
  15. L. Ren et al., "Industrial Metaverse for Smart Manufacturing: Model, Architecture, and Applications,"in IEEE Transactions on Cybernetics, vol. 54, no. 5, pp. 2683-2695, May 2024. [CrossRef]
  16. Y. Feng, F. Gao, X. Tao, S. Ma and H. V. Poor, "Vision-Aided Ultra-Reliable Low-Latency Communications for Smart Factory," in IEEE Transactions on Communications, vol. 72, no. 6, pp. 3439-3453, June 2024,. [CrossRef]
Figure 1. Deep learning Model.
Figure 1. Deep learning Model.
Preprints 149486 g001
Figure 3. Proposed System Development: (a) Edge AI Camera, (b) Edge AI Camera System, (c) License Plate Camera, and (d) Our developed License Plate Camera Software.
Figure 3. Proposed System Development: (a) Edge AI Camera, (b) Edge AI Camera System, (c) License Plate Camera, and (d) Our developed License Plate Camera Software.
Preprints 149486 g003aPreprints 149486 g003b
Figure 4. Overview of the Operation of the Two Smart Police Systems.
Figure 4. Overview of the Operation of the Two Smart Police Systems.
Preprints 149486 g004
Figure 6. Operational Process of the License Plate Recognition System.
Figure 6. Operational Process of the License Plate Recognition System.
Preprints 149486 g006
Figure 7. Plots of box loss, objectless loss, classification loss, precision, recall and mean average precision (mAP) over the training epochs for the training and validation set. (a) Vehicle License Plate (b) Smart Police System.
Figure 7. Plots of box loss, objectless loss, classification loss, precision, recall and mean average precision (mAP) over the training epochs for the training and validation set. (a) Vehicle License Plate (b) Smart Police System.
Preprints 149486 g007aPreprints 149486 g007b
Figure 8. the prototype for thief alarm detection.
Figure 8. the prototype for thief alarm detection.
Preprints 149486 g008
Figure 9. the prototype for license plate detection.
Figure 9. the prototype for license plate detection.
Preprints 149486 g009
Figure 10. the "Practical AI on Smart City" training program collaboration with Provincial Police Region 2 is illustrated.
Figure 10. the "Practical AI on Smart City" training program collaboration with Provincial Police Region 2 is illustrated.
Preprints 149486 g010
Figure 11. Installation Locations of the Smart Police System. (a) Area under the jurisdiction of Saen Phudat Police Station. (b) Area under the jurisdiction of Sanam Chai Khet Police Station.
Figure 11. Installation Locations of the Smart Police System. (a) Area under the jurisdiction of Saen Phudat Police Station. (b) Area under the jurisdiction of Sanam Chai Khet Police Station.
Preprints 149486 g011
Figure 12. Example of Installation of the Smart Police System in the Jurisdiction Areas of Saen Phudat Police Station and Sanam Chai Khet Police Station.
Figure 12. Example of Installation of the Smart Police System in the Jurisdiction Areas of Saen Phudat Police Station and Sanam Chai Khet Police Station.
Preprints 149486 g012
Figure 13. Smart police System via Line notification.
Figure 13. Smart police System via Line notification.
Preprints 149486 g013
Figure 14. 3 Installation Locations of the Vehicle License Plate Analysis System (Red and Yellow dots).
Figure 14. 3 Installation Locations of the Vehicle License Plate Analysis System (Red and Yellow dots).
Preprints 149486 g014
Figure 15. Login Page for System Access.
Figure 15. Login Page for System Access.
Preprints 149486 g015
Figure 16. Statistical Data on Vehicle Detection (Collected Hourly).
Figure 16. Statistical Data on Vehicle Detection (Collected Hourly).
Preprints 149486 g016
Figure 17. Sample Data of License Plates Detected by the Road Vehicle Analysis System.
Figure 17. Sample Data of License Plates Detected by the Road Vehicle Analysis System.
Preprints 149486 g017
Figure 18. Example of Access Screening by License Plate.
Figure 18. Example of Access Screening by License Plate.
Preprints 149486 g018
Disclaimer/Publisher’s Note: The statements, opinions and data contained in all publications are solely those of the individual author(s) and contributor(s) and not of MDPI and/or the editor(s). MDPI and/or the editor(s) disclaim responsibility for any injury to people or property resulting from any ideas, methods, instructions or products referred to in the content.
Copyright: This open access article is published under a Creative Commons CC BY 4.0 license, which permit the free download, distribution, and reuse, provided that the author and preprint are cited in any reuse.
Prerpints.org logo

Preprints.org is a free preprint server supported by MDPI in Basel, Switzerland.

Subscribe

Disclaimer

Terms of Use

Privacy Policy

Privacy Settings

© 2026 MDPI (Basel, Switzerland) unless otherwise stated