Submitted:
23 January 2025
Posted:
23 January 2025
Read the latest preprint version here
Abstract
Keywords:
1. Literature Review
2. Model Establishment
3. A Canonical Representation of ATSMs
4. The Three-Factor Affine Term Structure Models
4.1.
4.2.
5. Estimation for Affine Models
6. Data Collection
7. Scenario Determination
- Evaluate the performance of model and its maximal counterpart from in-sample. Ensure that parameters are admissible and that models meet the canonical form in-sample
- Evaluate the performance of model and its maximal counterpart from in-sample. Ensure that parameters are admissible and that models meet the canonical form in-sample
- Estimate both models and their counterparts out-sample and evaluate their performance.
8. Model Implementation
8.1. Three-Factor Models
9. Analysis of Results
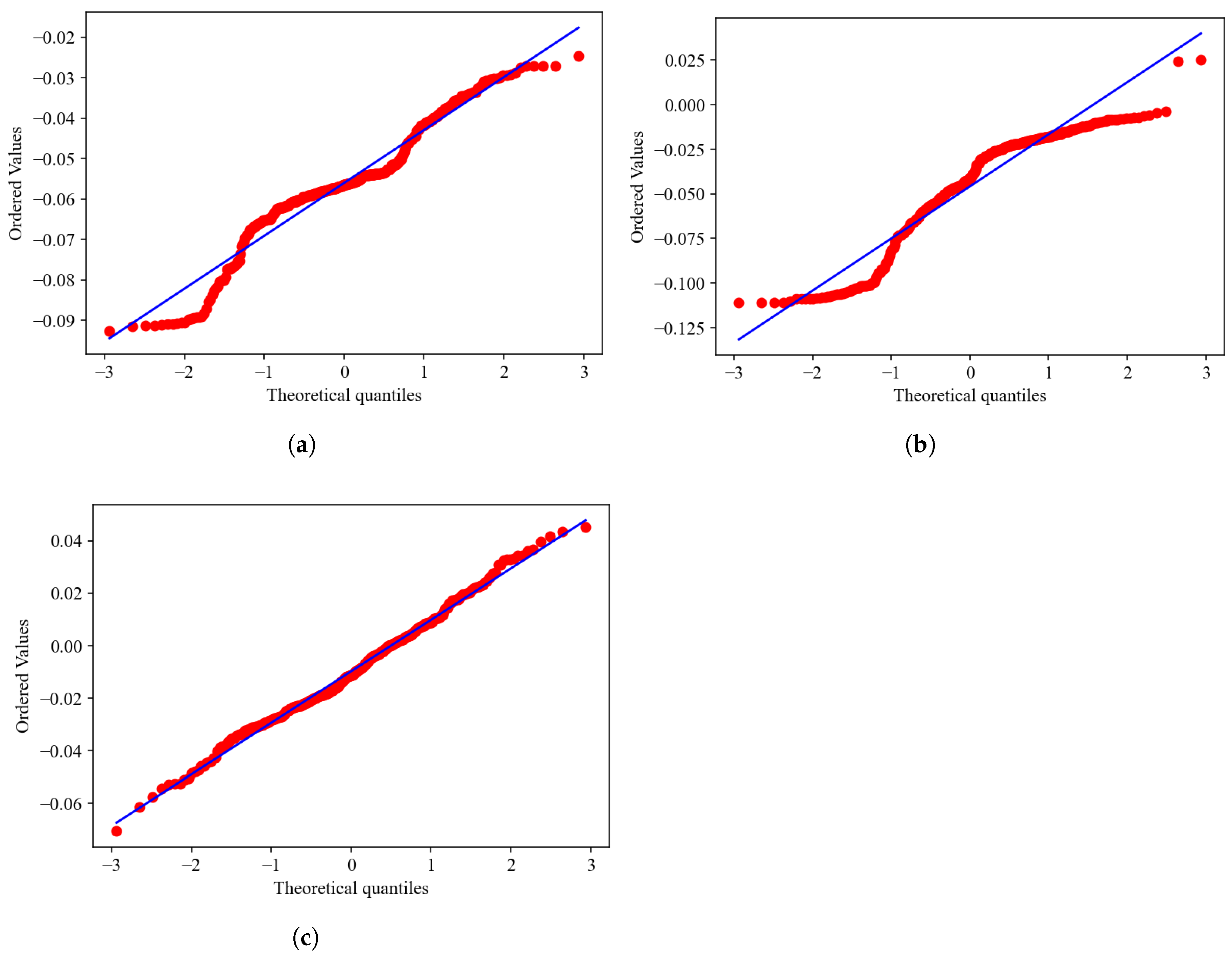
9.1. In-Sample Analysis
9.1.1. and Models
9.1.2. and Models
9.2. Instanteneous Short Rate
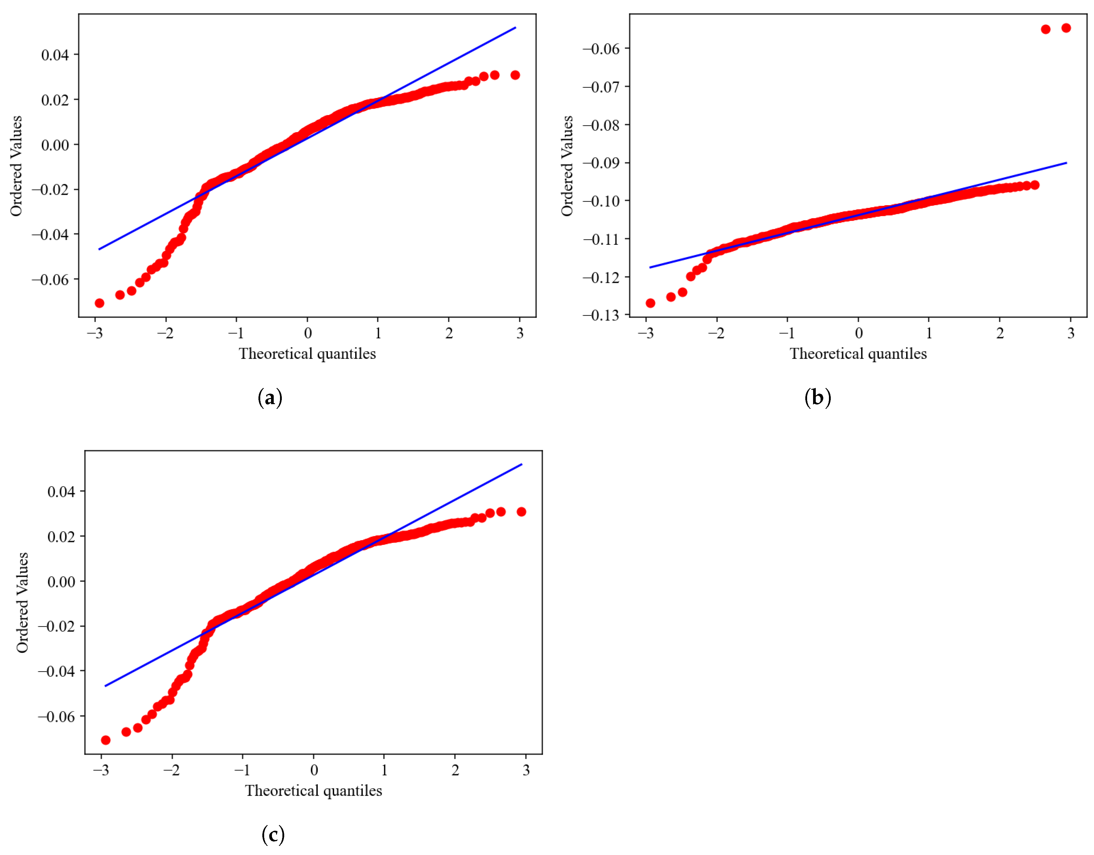
9.3. Out-Sample Analysis
10. Conclusion
Author Contributions
Funding
Institutional Review Board Statement
Informed Consent Statement
Data Availability Statement
Acknowledgments
Conflicts of Interest
Abbreviations
| ATSM | Affine term structure models |
| AIC | Akaike information criterion |
| BIC | Bayesian information criterion |
| BDFS | Balduzzi P, Das SR, Foresi S |
| DTSM | Dynamic term structure models |
| GMM | Generalised method of moments |
| ML-CCF | Maximum likelihood estimator by conditional characteristic function |
| ODE | Ordinary differential equation |
| PCA | Principal component analysis |
| SDE | Stochastic differential equation |
References
- Dai, Q.; Singleton, K.J. Specification analysis of affine term structure models. The journal of finance 2000, 55, 1943–1978. [Google Scholar] [CrossRef]
- Duffie, D.; Filipović, D.; Schachermayer, W. Affine processes and applications in finance. The Annals of Applied Probability 2003, 13, 984–1053. [Google Scholar] [CrossRef]
- Piazzesi, M. Affine term structure models. In Handbook of financial econometrics: Tools and Techniques; Elsevier, 2010; pp. 691–766. [Google Scholar]
- Singleton, K.J. Empirical dynamic asset pricing: model specification and econometric assessment; Princeton University Press, 2006. [Google Scholar]
- Vasicek, O. An equilibrium characterization of the term structure. Journal of financial economics 1977, 5, 177–188. [Google Scholar] [CrossRef]
- Cox, J.C.; Ingersoll, J.E.; Ross, S.A. An analysis of variable rate loan contracts. The Journal of Finance 1980, 35, 389–403. [Google Scholar] [CrossRef]
- Langetieg, T.C. A multivariate model of the term structure. The Journal of Finance 1980, 35, 71–97. [Google Scholar]
- Duffie, D.; Kan, R. A yield-factor model of interest rates. Mathematical finance 1996, 6, 379–406. [Google Scholar] [CrossRef]
- Dai, Q.; Le, A.; Singleton, K.J. Discrete-time dynamic term structure models with generalized market prices of risk. 2006. [Google Scholar]
- Darolles, S.; Gourieroux, C.; Jasiak, J. Compound autoregressive processes. Unpublished working paper. CREST 2001. [Google Scholar]
- Aït-Sahalia, Y.; Kimmel, R.L. The Econometrics of Fixed-Income Markets. In Handbook of Fixed-Income Securities; 2016; pp. 265–281. [Google Scholar]
- Balduzzi, P.; Das, S.R.; Foresi, S. A simple approach three-factor affine term structure models. 1996. [Google Scholar]
- Chen, L. Stochastic mean and stochastic volatility: a three-factor model of the term structure of interest rates and its applications in derivatives pricing and risk management; Blackwell publishers, 1996. [Google Scholar]
- Tebaldi, C.; Veronesi, P. Risk-Neutral Pricing: Monte Carlo Simulations. In Handbook of Fixed-Income Securities; 2016; pp. 435–468. [Google Scholar]
- Ikeda, N.; Watanabe, S. Stochastic differential equations and diffusion processes; Elsevier, 2014. [Google Scholar]
- Yamada, T.; Watanabe, S. On the uniqueness of solutions of stochastic differential equations. Journal of Mathematics of Kyoto University 1971, 11, 155–167. [Google Scholar] [CrossRef]
- Hirsa, A. Computational methods in finance; CRC Press: Boca Raton, FL, 2013; pp. 11–22. [Google Scholar]
- Rouah, F.D. The Heston model and its extensions in Matlab and C; John Wiley & Sons, 2013. [Google Scholar]
- Diebold, F.X.; Piazzesi, M.; Rudebusch, G.D. Modeling bond yields in finance and macroeconomics. American Economic Review 2005, 95, 415–420. [Google Scholar] [CrossRef]
- Andersen, T.G.; Benzoni, L. Can bonds hedge volatility risk in the US treasury market? A specification test for affine term structure models; Technical report, Working paper; Kellogg School of Management, Northwestern University, 2005. [Google Scholar]
- Bikbov, R.; Chernov, M. Term structure and volatility: Lessons from the Eurodollar markets. Available at SSRN 562454 2004. [Google Scholar] [CrossRef]
- Singleton, K.J. Estimation of affine asset pricing models using the empirical characteristic function. Journal of Econometrics 2001, 102, 111–141. [Google Scholar] [CrossRef]
- Carrasco, M.; Chernov, M.; Ghysels, E.; Florens, J.P. Efficient estimation of jump diffusions and general dynamic models with a continuum of moment conditions. Available at SSRN 338961 2002. [Google Scholar] [CrossRef]
- Duffie, D.; Pan, J.; Singleton, K. Transform analysis and asset pricing for affine jump-diffusions. Econometrica 2000, 68, 1343–1376. [Google Scholar] [CrossRef]
- Shu, H.C.; Chang, J.H.; Lo, T.Y. Forecasting the term structure of South African government bond yields. Emerging Markets Finance and Trade 2018, 54, 41–53. [Google Scholar] [CrossRef]
- Litterman, R.B.; Scheinkman, J.; Weiss, L. Volatility and the yield curve. The Journal of Fixed Income 1991, 1, 49–53. [Google Scholar] [CrossRef]
- Carrasco, M.; Chernov, M.; Florens, J.P.; Ghysels, E. Efficient estimation of jump diffusions and general dynamic models with a continuum of moment conditions. 2000. [Google Scholar]
| 1 | A condition is met when ; where represents the mean reversion speed, and the mean reversion rate. It ensures that the drift is sufficiently large to guarantee a positive variance. |
| 2 | The state variable Y is a Markov process, therefore the future state at time s depends only on the current state at time t and not on the history before time t. Y satisfies the Markov property; see definition 5.1 in [4]. |
| 3 | Continuous-time SDE are better treated in discrete form using methods such as the Euler approach. A discretised version also ensures a positive truncation for the variance; We approximate as ; where is the approximation of at time ; is a standard normal variable. Several authors discuss these discretisation schemes; see [17] : page 229 and [18] : page 177. |
| 4 | The parameters we used as initial guesses are based on the estimates according to [1]. We find these parameters to be the best starting point as they have empirically been tested to result in convergence. The same approach was also applied in the case of our and models |






| 3 mths | 5 yrs | 10 yrs | 12 yrs | 20 yrs | 25 yrs | 30 yrs | |
|---|---|---|---|---|---|---|---|
| count | 418 | 418 | 418 | 418 | 418 | 418 | 418 |
| mean | 0.066 | 0.084 | 0.094 | 0.098 | 0.103 | 0.104 | 0.104 |
| std | 0.013 | 0.007 | 0.006 | 0.007 | 0.011 | 0.009 | 0.009 |
| min | 0.035 | 0.066 | 0.084 | 0.085 | 0.000 | 0.088 | 0.088 |
| 25% | 0.058 | 0.080 | 0.090 | 0.093 | 0.097 | 0.097 | 0.097 |
| 50% | 0.069 | 0.085 | 0.092 | 0.096 | 0.101 | 0.101 | 0.101 |
| 75% | 0.074 | 0.089 | 0.096 | 0.101 | 0.110 | 0.111 | 0.110 |
| max | 0.094 | 0.105 | 0.117 | 0.122 | 0.127 | 0.127 | 0.127 |
| skew | -0.406 | -0.361 | 1.162 | 0.939 | -3.232 | 0.561 | 0.583 |
| kurtosis | -0.278 | 0.116 | 1.349 | 0.633 | 30.693 | -0.536 | -0.457 |
| 3 mths | 5 yrs | 10 yrs | 12 yrs | 20 yrs | 25 yrs | 30 yrs | |
|---|---|---|---|---|---|---|---|
| 3 mths | 1.000 | 0.713 | 0.302 | 0.046 | -0.111 | -0.152 | -0.152 |
| 5 yrs | 0.713 | 1.000 | 0.613 | 0.269 | -0.035 | -0.063 | -0.051 |
| 10 yrs | 0.302 | 0.613 | 1.000 | 0.918 | 0.608 | 0.718 | 0.724 |
| 12 yrs | 0.046 | 0.269 | 0.918 | 1.000 | 0.781 | 0.931 | 0.934 |
| 20 yrs | -0.111 | -0.035 | 0.608 | 0.781 | 1.000 | 0.838 | 0.836 |
| 25 yrs | -0.152 | -0.063 | 0.718 | 0.931 | 0.838 | 1.000 | 0.999 |
| 30 yrs | -0.152 | -0.051 | 0.724 | 0.934 | 0.836 | 0.999 | 1.000 |
| Parameter | Initial | Estimates | |
|---|---|---|---|
| 0.365 | 0.365 | 0.366 | |
| 0.015 | 0.015 | 0.008 | |
| 0.000 | 0.000 | 0.000 | |
| 0.083 | 0.083 | 0.083 | |
| 0.000 | 0.000 | 0.000 | |
| 0.000 | 0.000 | ||
| 4.270 | 4.275 | 4.212 | |
| 0.000 | 0.0213 | ||
| -0.094 | -0.094 | -0.089 | |
| -3.420 | -3.509 | -3.786 | |
| 0.000 | 0.000 | ||
| 0.000 | 0.035 | ||
| 17.400 | 17.421 | 18.006 | |
| 0.050 | 0.050 | 0.047 | |
| 0.050 | 0.050 | 0.050 | |
| 0.481 | 0.483 | 0.484 | |
| 0.666 | 0.666 | 0.669 | |
| 0.884 | 0.883 | 0.887 | |
| 0 | 0.000 | ||
| 0.025 | 0.000 | ||
| 0.233 | 0.0442 | ||
| AIC | -866.21 | -866.33 | |
| BIC | -769.36 | -769.48 | |
| Degree of freedom | 389 | 393 | |
| Critical value at 95% confidence level | 435.99 | 440.22 | |
| 57.16 | 87.57 | ||
| P-value | 1 | 1 | |
| Log-ikelihood function | -456.96 | -457.02 | |
| Iterations | 1498 | 1376 | |
| Parameter | Initial | Estimates | |
|---|---|---|---|
| 0.636 | 0.634 | 0.292 | |
| -33.900 | -33.989 | -12.427 | |
| -35.300 | -35.393 | -274.799 | |
| 0.000 | 0.000 | -0.002 | |
| 0.000 | 3.561 | ||
| 2.700 | 2.708 | 3.539 | |
| 0.000 | 0.000 | 0.000 | |
| 0.026 | 0.027 | 0.014 | |
| 0.026 | 0.026 | 0.053 | |
| -182.000 | -182.420 | -133.403 | |
| 0.000 | 1.001 | ||
| 0.000 | 0.000 | 0.095 | |
| 0.000 | 0.000 | 0.000 | |
| 0.003 | 0.003 | 0.002 | |
| 0.000 | 0.000 | ||
| 0.000 | 0.000 | ||
| 0.050 | 0.050 | 0.050 | |
| 0.496 | 0.495 | 0.496 | |
| 0.314 | 0.315 | 0.315 | |
| 0.626 | 0.628 | 0.628 | |
| 0.000 | 0.000 | ||
| -2.603 | 0.000 | ||
| 0.235 | 0.796 | ||
| AIC: | -3455.43 | -4483.99 | |
| BIC: | -3350.51 | -4379.07 | |
| Degree of freedom | 387 | 391 | |
| Critical value at 95% confidence | 433.87 | 438.11 | |
| statistic: | 77.26 | 96.01 | |
| P-value: | 1 | 1 | |
| Degrees of Freedom: | 391 | 391 | |
| Log-likelihood function | -1753.71 | -2267.99 | |
| Iterations | 1574 | 1471 | |
| Observed | |||||
|---|---|---|---|---|---|
| mean | 0.066 | 0.119 | 0.081 | 0.051 | 0.089 |
| std deviation | 0.013 | 0.028 | 0.019 | 0.010 | 0.015 |
| weekly volatility | 0.094 | 0.203 | 0.139 | 0.073 | 0.111 |
| AIC: | 77.37 | 77.45 | -52.71 | -58.28 |
| BIC: | 120.73 | 120.81 | -5.73 | -11.31 |
| df | 16 | 20 | 14 | 18 |
| 8.26 | 9.20 | 10.46 | 10.11 | |
| p-value | 1 | 1 | 0.73 | 0.93 |
| Log-likelihood | 14.69 | 14.73 | -52.35 | -55.14 |
| Iterations | 1447 | 1444 | 1532 | 1505 |
Disclaimer/Publisher’s Note: The statements, opinions and data contained in all publications are solely those of the individual author(s) and contributor(s) and not of MDPI and/or the editor(s). MDPI and/or the editor(s) disclaim responsibility for any injury to people or property resulting from any ideas, methods, instructions or products referred to in the content. |
© 2025 by the authors. Licensee MDPI, Basel, Switzerland. This article is an open access article distributed under the terms and conditions of the Creative Commons Attribution (CC BY) license (http://creativecommons.org/licenses/by/4.0/).