Submitted:
29 October 2024
Posted:
29 October 2024
You are already at the latest version
Abstract
Keywords:
1. Introduction
2. Materials and Methods
2.1. Used Materials
2.1.1. Geosynthetics for Erosion Control—Geomats
2.1.2. Properties of Used Soils
2.1.3. Vegetation
2.2. Testing Methodology
2.2.1. Optimum Organic Soil Thickness
2.2.2. Scanning of Roots with WinRHIZO
2.2.3. Shear Test Strength
2.2.4. Scale Model Devices: Erosion Control Chamber and Rainfall Simulator
2.3. Climatic Conditions
3. Results and Discussions
3.1. Optimum Organic Soil Thickness
3.2. Roots Characteristics
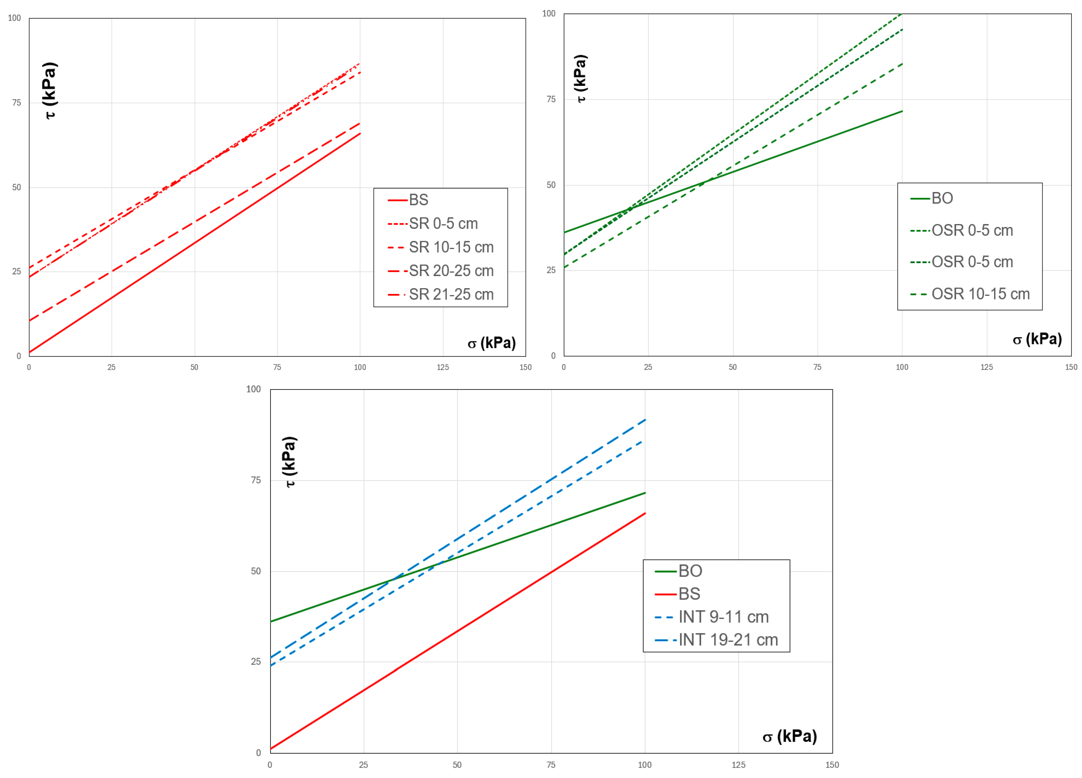
3.3. Shear Strength Characteristics
3.4. Erosion Tests Under Rainfall Conditions
4. Conclusions
Author Contributions
Funding
Institutional Review Board Statement
Informed Consent Statement
Data Availability Statement
Conflicts of Interest
References
- Fatema, N.; Ansary, M. Slope stability analysis of a Jamuna River embankment. Journal of Civil Engineering 2014, 42, 119–136. [Google Scholar]
- Park, J.; Kim, I.; Kang, J.K. Root reinforcement effect on cover slopes of solid waste landfill in soil bioengineering. Sustainability. 2021, 13, 3991. [Google Scholar] [CrossRef]
- Hearn, G.J.; Shakya, N.M. Engineering challenges for sustainable road access in the Himalayas. Quarterly Journal of Engineering Geology and Hydrogeology 2017, 50, 69–80. [Google Scholar] [CrossRef]
- Wu, W.; Switala, B.M.; Acharya, M.S.; Tamagnini, R.; Auer, M.; Graf, F.; Kamp, L.; Xiang, W. Effect of Vegetation on Stability of Soil Slopes: Numerical Aspect. In Recent Advances in Modeling Landslides and Debris Flows, 1st ed. Wu, W., Eds.; Springer Series in Geomechanics and Geoengineering, International, 2015.
- Masi, E.B.; Segoni, S.; Tofani, V. Root Reinforcement in Slope Stability Models: A Review. Geosciences 2021, 11, 212. [Google Scholar] [CrossRef]
- Mao, Z.; Saint-Andre, L.; Genet, M.; Mine, F.X.; Jourdan, C.; Rey, H.; Courbaud, B.; Stokes, A. Engineering ecological protection against landslides in diverse mountain forests: choosing cohesion models. Ecological Engineering 2012, 45, 55–69. [Google Scholar] [CrossRef]
- Liu, M.; Luo, Y.; Li, F.; Hu, H.; Sun, D. Experimental Research on Erosion Characteristics of Ecological Slopes under the Scouring of Non-Directional Inflow. Sustainability 2023, 15, 14688. [Google Scholar] [CrossRef]
- Ni, J.J.; Leung, A.K.; Ng, C.W.W.; Shao, W. Modelling hydro-mechanical reinforcements of plants to slope stability. Computers and Geotechnics 2018, 95, 99–109. [Google Scholar] [CrossRef]
- Rimoldi, P. Design of geosynthetics for erosion control on slopes. Proceedings of 6th EuroGeo 6 Conference, Ljubljana, Slovenia, 339-360. 2016. [Google Scholar]
- Mandal, D.; Patra, S.; Sharma, N.K.; Alam, N.M.; Jana, C.; Lal, R. Impacts of Soil Erosion on Soil Quality and Agricultural Sustainability in the North-Western Himalayan Region of India. Sustainability 2023, 15, 5430. [Google Scholar] [CrossRef]
- Singh, M.; Hartsch, K. Basics of soil erosion. In Watershed Hydrology, Management and Modeling, 1st ed.; Yousuf, A., Singh, M., Eds.; CRC Press: Boca Raton, Florida, USA, 2019; pp. 1–61. [Google Scholar]
- Kanianska, R.; Kizeková, M.; Jančová, Ľ.; Čunderlík, J.; Dugátová, Z. Effect of Soil Erosion on Soil and Plant Properties with a Consequence on Related Ecosystem Services. Sustainability 2024, 16, 7037. [Google Scholar] [CrossRef]
- Turcu, C.L.; Chiper, B.M.; Bucur, D.; Popa, N. Research on runoff and soil erosion in the Tărnii Valley hydrographic basin from Tutova rolling hils, Romania, during 2019-2021. AgroLife Scientific Journal 2024, 13, 217–222. [Google Scholar]
- Cazzuffi, D.; Cardile, G.; Gioffrè, D. Geosynthetic engineering and vegetation growth in soil reinforcement applications. Transportation Infrastructure Geotechnology 2014, 1, 262–300. [Google Scholar] [CrossRef]
- Mairaing, W.; Jotisankasa, A.; Leksungnoen, N.; Hossain, M.; Ngernsaengsaruay, C.; Rangsiwanichpong, P.; Pilumwong, J.; Pramusandi, S.; Semmad, S.; Ahmmed, A.N.F. A Biomechanical Study of Potential Plants for Erosion Control and Slope Stabilization of Highland in Thailand. Sustainability 2024, 16, 6374. [Google Scholar] [CrossRef]
- Zhang, X.; Wang, H.; Gao, Z.; Xiang, K.; Zhai, Q.; Satyanaga, A.; Chua, Y.S. Evaluation of the Performance of the Horizontal Drain in Drainage of the Infiltrated Water from Slope Soil under Rainfall Conditions. Sustainability 2023, 15, 14163. [Google Scholar] [CrossRef]
- Cardile, G. and Pisano, M. Advances in soil reinforcement with geosynthetics: From laboratory tests to design practice. Riv. Ital. Geotech 2020, 54, 52–82. [Google Scholar]
- Markiewicz, A.; Koda, E.; Kawalec, J. Geosynthetics for Filtration and Stabilisation: A Review. Polymers 2022, 14, 5492. [Google Scholar] [CrossRef]
- Markiewicz, A.; Koda, E.; Kiraga, M.; Wrzesiński, G.; Kozanka, K.; Naliwajko, M.; Vaverková, M.D. Polymeric Products in Erosion Control Applications: A Review. Polymers 2024, 16, 2490. [Google Scholar] [CrossRef]
- Kim, Y.-J.; Kotwal, A.R.; Cho, B.-Y.; Wilde, J.; You, B.H. Geosynthetic Reinforced Steep Slopes: Current Technology in the United States. Appl. Sci. 2019, 9, 2008. [Google Scholar] [CrossRef]
- SR EN-ISO 14688-2:2018. Geotechnical investigations and tests. Identification and classification of soil. Part 2: Principles for a classification.
- Gong, C.; Ni, D.; Liu, Y.; Li, Y.; Huang, Q.; Tian, Y.; Zhang, H. Herbaceous Vegetation in Slope Stabilization: A Comparative Review of Mechanisms, Advantages, and Practical Applications. Sustainability 2024, 16, 7620. [Google Scholar] [CrossRef]
- Li, P.; Xiao, X.; Wu, L.; Li, X.; Zhang, H.; Zhou, J. Study on the Shear Strength of Root-Soil Composite and Root Reinforcement Mechanism. Forests 2022, 13, 898. [Google Scholar] [CrossRef]
- Pang, W.; Crow, W.T.; Luc, J.E.; McSorley, R.; Giblin-Davis, R.M.; Kenworthy, K.E.; Kruse, J.K. Comparison of Water Displacement and WinRHIZO Software for Plant Root Parameter Assessment. Plant Dis. 2011, 95, 1308–1310. [Google Scholar] [CrossRef]
- SR EN ISO 17892-10:2019 - Geotechnical investigations and tests. Laboratory tests of soils. Part 10: Direct shear tests.
- Tang, Y.; Wei, S.; Liu, X.; Liu, W.; Liu, T. Mechanical Analysis of Palm-Fiber-Reinforced Sand through Triaxial Tests. Sustainability 2023, 15, 5461. [Google Scholar] [CrossRef]
- Olinic, T. , Olinic, E. D. The role of geosynthetic materials and vegetation on slope erosional control: Results of scale model tests. In E3S Web of Conferences 2024, 569, 09004. [Google Scholar]
- He, Y.; Li, B. and Du, X. Soil slope instability mechanism and treatment measures under rainfall—A case study of a slope in Yunda Road. Sustainability 2023, 15, 1287. [Google Scholar]
- Simelane, M.P.Z.; Soundy, P.; Maboko, M.M. Effects of Rainfall Intensity and Slope on Infiltration Rate, Soil Losses, Runoff and Nitrogen Leaching from Different Nitrogen Sources with a Rainfall Simulator. Sustainability 2024, 16, 4477. [Google Scholar] [CrossRef]
- Corches, MT. Land degradation and climate change. Scientific Papers. Series E. Land Reclamation, Earth Observation & Surveying, Environmental Engineering 2023, 12, 69–73. [Google Scholar]
- Chen, Z.; Xie, C.; Xiong, G.; Shen, J.; Yang, B. Using the Morgenstern–Price Method and Cloud Theory to Invert the Shear Strength Index of Tailings Dams and Reveal the Coupling Deformation and Failure Law under Extreme Rainfall. Sustainability 2023, 15, 6106. [Google Scholar] [CrossRef]
- Li, E. Effects of Extreme Rainfall Change on Sediment Load in the Huangfuchuan Watershed, Loess Plateau, China. Sustainability 2024, 16, 7457. [Google Scholar] [CrossRef]
- Wang, M.B.; Zhang, Q. Issues in using the WinRHIZO system to determine physical characteristics of plant fine roots. Acta Ecologica Sinica 2009, 29, 136–138. [Google Scholar] [CrossRef]
- Olinic, T.; Stanciu, A.M.; Butcaru, A.C.; Luchian, V. Bio-reinforcement of slopes. Scientific Papers. Series E. Land Reclamation, Earth Observation & Surveying, Environmental Engineering 2023, 12.
- Kaushal, R.; Singh, I.; Thapliyal, S.D.; Gupta, A.K.; Mandal, D.; Tomar, J.M.S.; Kumar, A.; Alam, N.M.; Kadam, D.; Singh, D.V. , and Mehta, H. Rooting behaviour and soil properties in different bamboo species of Western Himalayan Foothills, India. Scientific reports 2020, 10, 4966. [Google Scholar] [CrossRef]
- Gobinath, R.; Ganapathy, G.P.; Salunkhe, A.A.; Raja, G.; Prasath, E.; Kavya, T. Understanding Soil Erosion Protection Capabilities of Four Different Plants on Silty Soil. In IOP Conference Series: Materials Science and Engineering, Warangal, India, December 2020, 981, 032053. [Google Scholar] [CrossRef]
- Olinic, T.; Olinic, E.D. The effect of living plant roots on the shear strength parameters: a sustainable approach to shallow slope stability and erosion control applications. In Proceedings of the 4th International Conference on Sustainable Development in Civil, Urban and Transportation Engineering, Wroclaw, Poland, 14 October 2024, in press.
- NP 125:2010 – Technical norm: Foundation on collapsible soils.



























| Shear strength | Sandy samples | |||||
| BS | SR 0-5 | SR 10-15 | SR 20-25 | SR 21-25 | ||
| c (kPa) | 1.24 | 23.43 | 26.3 | 10.65 | 23.52 | |
| cr (kPa) | - | 22.19 | 25.06 | 9.41 | 22.28 | |
| Φ (°) | 32.94 | 32.35 | 30.02 | 30.26 | 32.12 | |
| Shear strength | OS samples | Interface samples | ||||
| BO | OSR 0-5 | OSR 0-5 | OSR 10-15 | INT 10-15 | INT 19-21 | |
| c (kPa) | 36.11 | 29.72 | 29.91 | 25.93 | 23.98 | 26.2 |
| cr (kPa) | - | -6.39 | -6.2 | -10.18 | ||
| Φ (°) | 19.57 | 35.21 | 33.25 | 30.73 | 31.89 | 33.25 |
Disclaimer/Publisher’s Note: The statements, opinions and data contained in all publications are solely those of the individual author(s) and contributor(s) and not of MDPI and/or the editor(s). MDPI and/or the editor(s) disclaim responsibility for any injury to people or property resulting from any ideas, methods, instructions or products referred to in the content. |
© 2024 by the authors. Licensee MDPI, Basel, Switzerland. This article is an open access article distributed under the terms and conditions of the Creative Commons Attribution (CC BY) license (https://creativecommons.org/licenses/by/4.0/).