Submitted:
15 October 2024
Posted:
16 October 2024
You are already at the latest version
Abstract
Detection of adverse events, for example convulsive epileptic seizures, can be critical for the patients suffering from variety of pathological syndromes. Algorithms using remote sensing modalities, such as video camera input, can be effective for real-time alerting but the broad variability of environments and numerous non-stationary factors may limit their precision. In this work, we address the issue of adaptive reinforcement that can provide flexible application of the alerting devices. The generic concept of our approach is the topological reinforced adaptive algorithm (TOREADA. Three essential steps, embedding, assessment and envelope act iteratively during the operation of the system, providing thus a continuous, on the fly reinforced learning. We apply this concept on the case of detecting convulsive epileptic seizures where three parameters define the decision manifold. Monte-Carlo type simulations validate the effectiveness and robustness of the approach. We show that the adaptive procedure finds the correct detection parameters, providing optimal accuracy, from a large variety of initial states. With respect to the separation quality between simulated seizure and normal epochs, the detection reinforcement algorithm is robust within broad margins of signal generation scenarios. We conclude that our technique is applicable to a large variety of event-detection systems.
Keywords:
1. Introduction
2. Materials and Methods
2.1. General Concept of TOREADA
2.2. Detection of Convulsive Seizures
2.3. Dual Detection Approach
2.4. Generating Synthetic Data
2.5. Simulation Protocol and Performance Quantification
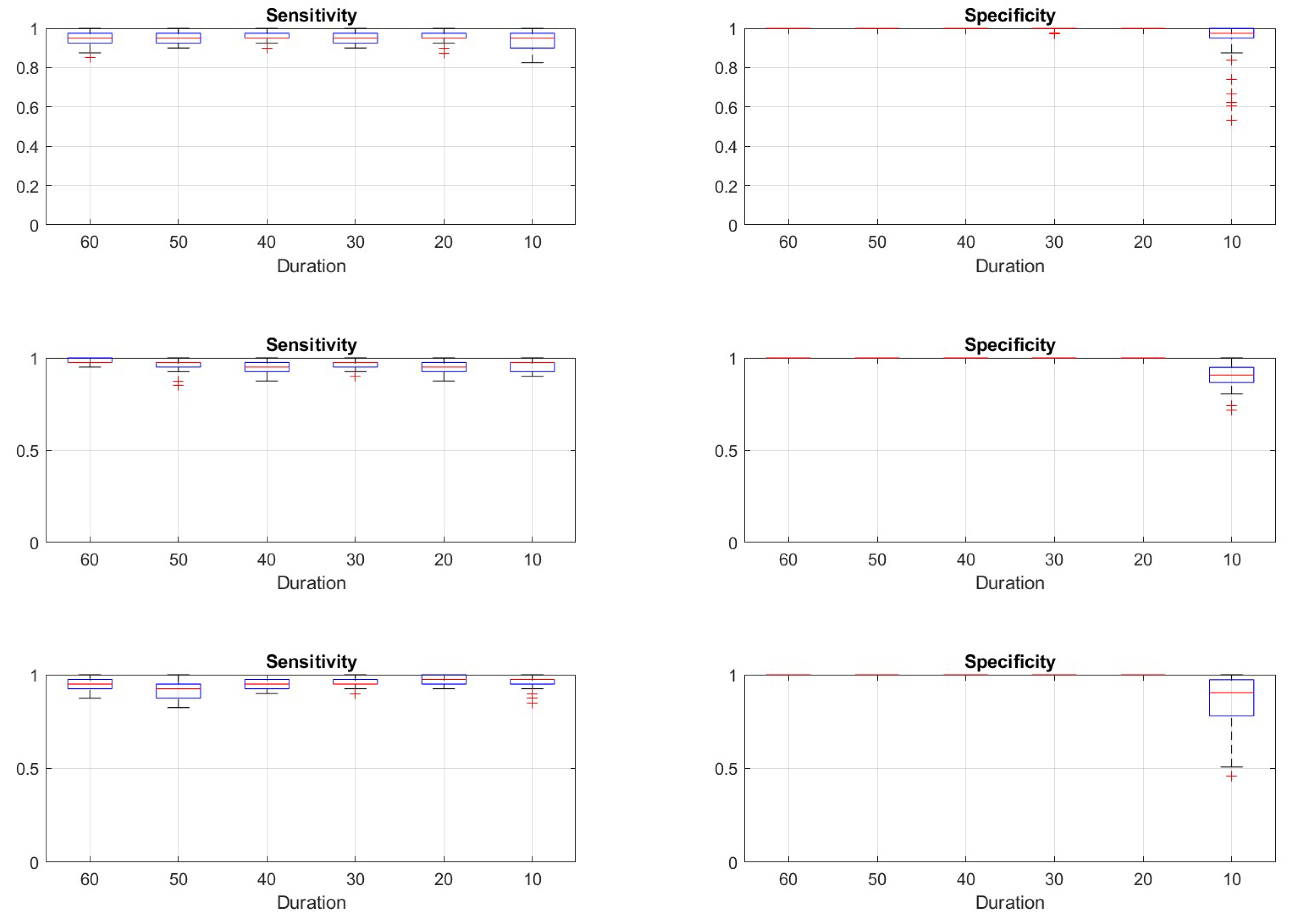
3. Results
3.1. Static Seizure Generation Scenarios and Various Initial Detector Parameters
3.2. Change of Seizure Generation Parameters
4. Conclusions
5. Discussion
Funding
Conflicts of Interest
References
- Harden, C.; Tomson, T.; Gloss, D.; Buchhalter, J.; Cross, J.H.; Donner, E.; French, J.A.; Gil-Nagel, A.; Hesdorffer, D.C.; Smithson, W.H.; et al. Practice guideline summary: Sudden unexpected death in epilepsy incidence rates and risk factors: Report of the Guideline Development, Dissemination, and Implementation Subcommittee of the American Academy of Neurology and the American Epilepsy Society. Neurology 2017, 88, 1674–1680. [Google Scholar] [CrossRef] [PubMed]
- Lamberts, R.; Thijs, R.; Laffan, A.; Langan, Y.; Sander, J.W. Sudden unexpected death in epilepsy: People with nocturnal seizures may be at highest risk. Epilepsia 2017, 23, 253–260. [Google Scholar] [CrossRef] [PubMed]
- Herrera-Fortin, T.; Assi, E.B.; Gagnon, M.-P.; Nguyen, D.K. Seizure detection devices: A survey of needs and preferences of patients and caregivers. Epilepsy Behav. 2021, 114, 107607. [Google Scholar] [CrossRef] [PubMed]
- Bruno, E.; Viana, P.F.; Sperling, M.R.; Richardson, M.P. Seizure detection at home: Do devices on the market match the needs of people living with epilepsy and their caregivers? Epilepsia 2020, 61, S11–S24. [Google Scholar] [CrossRef] [PubMed]
- Geertsema, E.; Visser, G.; Sanger, J.; Kalitzin, S. Automated non-contact detection of central apnoea using video. J. Neural Biomed. Signal Process. Control 2020, 55, 101658. [Google Scholar]
- Geertsema, E.; Visser, G.; Viergever, M.; Kalitzin, S. Automated remote fall detection using impact features from video and audio. J. Biomech. 2019, 88, 25–32. [Google Scholar] [CrossRef] [PubMed]
- François-Lavet, V.; Henderson, P.; Islam, R.; Bellemare, M.G.; Pineau, J. An introduction to deep reinforcement learning. Foundations and Trends® in Machine Learning 2018, 11, 219–354. [Google Scholar] [CrossRef]
- Sutton, R.S. Introduction: The challenge of reinforcement learning. In Reinforcement learning; Springer US: Boston, MA, 1992; pp. 1–3. [Google Scholar]
- Wiering, M.A.; Van Otterlo, M. Reinforcement learning. Adaptation, learning, and optimization 2012, 12, 729. [Google Scholar]
- Fayaz, S.A.; Jahangeer Sidiq, S.; Zaman, M.; Butt, M.A. Machine learning: An introduction to reinforcement learning. Machine Learning and Data Science: Fundamentals and Applications 2022, 1–22. [Google Scholar]
- Kalitzin, S. Adaptive Remote Sensing Paradigm for Real-Time Alerting of Convulsive Epileptic Seizures. Sensors 2023, 23, 968. [Google Scholar] [CrossRef] [PubMed]
- Kalitzin, S.; Petkov, G.; Velis, D.; Vledder, B.; Lopes da Silva, F. Automatic segmentation of episodes containing epileptic clonic seizures in video sequences. IEEE transactions on biomedical engineering 2012, 59, 3379–3385. [Google Scholar] [CrossRef] [PubMed]
- Kalitzin, S.; Geertsema, E.; Petkov, G. Optical flow group-parameter reconstruction from multi-channel image sequences. In Frontiers of Artificial Intelligence and Applications Application of Intelligent Systems; Petkov, N., Strisciuglio, N., Travieso-Gonzalez, C., Eds.; IOS Press: Amsterdam, The Netherlands, 2018; Volume 310, pp. 290–301. [Google Scholar]
- Binder, K. Introduction: Theory and “technical” aspects of Monte Carlo simulations. In Monte Carlo methods in statistical physics; Springer Berlin Heidelberg: Berlin, Heidelberg, 1986; pp. 1–45. [Google Scholar]
- Yang, Y.; Sarkis, R.A.; El Atrache, R.; Loddenkemper, T.; Meisel, C. Video-based detection of generalized tonic-clonic seizures using deep learning. IEEE J. Biomed. Health Inform. 2021, 25, 2997–3008. [Google Scholar] [CrossRef] [PubMed]











| Trial No | Threshold | N | n | Black-out |
| 1 | 0.1 | 10,00 | 9,00 | 90,00 |
| 2 | 0.2 | 8,00 | 7,00 | 90,00 |
| 3 | 0.3 | 6,00 | 5,00 | 90,00 |
| 4 | 0.4 | 7,00 | 6,00 | 90,00 |
| 5 | 0.5 | 10,00 | 9,00 | 90,00 |
| 6 | 0.6 | 8,00 | 7,00 | 90,00 |
| 7 | 0.7 | 6,00 | 5,00 | 90,00 |
| 8 | 0.8 | 5,00 | 4,00 | 90,00 |
| 9 | 0.9 | 4,00 | 3,00 | 90,00 |
| Session | Threshold | N | n | Black-out |
| 1 | 0.2 | 5 | 3 | 90 |
| 2 | 0.5 | 10 | 9 | 90 |
| 3 | 0.8 | 10 | 10 | 90 |
| Trial No | C | ||||
| 1 | 0,1 | 0,9 | 0,02 | 0,98 | 0,02 |
| 2 | 0,4 | 0,6 | 0,1 | 0,96 | 0,064 |
| 3 | 0,3 | 0,4 | 0,1 | 0,9 | 0,1 |
| 4 | 0,2 | 0,4 | 0,15 | 0,75 | 0,17 |
| 5 | 0,4 | 0,5 | 0,2 | 0,7 | 0,24 |
| 6 | 0,5 | 0,5 | 0,3 | 0,6 | 0,35 |
Disclaimer/Publisher’s Note: The statements, opinions and data contained in all publications are solely those of the individual author(s) and contributor(s) and not of MDPI and/or the editor(s). MDPI and/or the editor(s) disclaim responsibility for any injury to people or property resulting from any ideas, methods, instructions or products referred to in the content. |
© 2024 by the authors. Licensee MDPI, Basel, Switzerland. This article is an open access article distributed under the terms and conditions of the Creative Commons Attribution (CC BY) license (http://creativecommons.org/licenses/by/4.0/).