Submitted:
10 October 2024
Posted:
10 October 2024
You are already at the latest version
Abstract
Keywords:
1. Introduction
2. Dynamic Modeling


3. Model Reference Adaptive Control Strategy
3.1. Torque Compensation
3.2. Transfer Function and Adaptation Rate
3.3. Controller Design
3.3.1. Delay Element
3.3.2. MRAC Algorithm
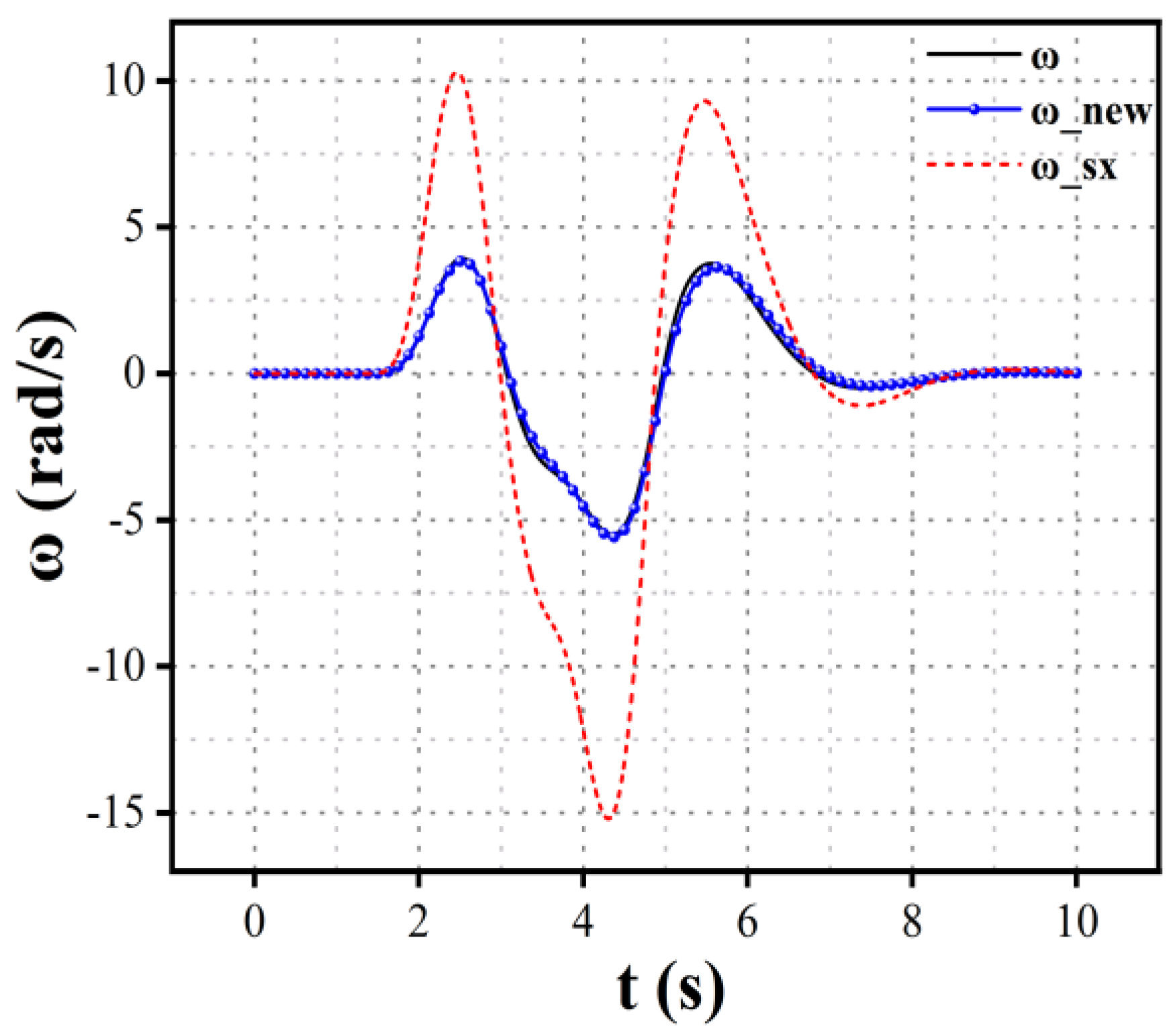
4. Simulation and Experimental Results
5. Conclusions
References
- Ghezzi, M.K. A Dòria-Cerezo, and J. M. Olm. Yaw Moment MRAC with Optimal Torque Vectoring for a Four in-Wheel Motor Ev. Paper presented at the 2018 IEEE International Conference on Industrial Technology (ICIT), 20-22 Feb. 2018.
- Hori, Y. Future Vehicle Driven by Electricity and Control-Research on Four-Wheel-Motored "Uot Electric March Ii". IEEE Transactions on Industrial Electronics 2004, 51, 954–62. [Google Scholar] [CrossRef]
- Wang, R.; J Wang. Actuator-Redundancy-Based Fault Diagnosis for Four-Wheel Independently Actuated Electric Vehicles. IEEE Transactions on Intelligent Transportation Systems 2014, 15, 239–49. [Google Scholar] [CrossRef]
- Alipour, Hasan, Mohammad Bagher Bannae Sharifian, and Mehran Sabahi. A Modified Integral Sliding Mode Control to Lateral Stabilization of 4-Wheel Independent Drive Electric Vehicles. Vehicle System Dynamics 2014, 52, 1584–606. [Google Scholar] [CrossRef]
- Nam, K.; H Fujimoto, and Y. Hori. Lateral Stability Control of in-Wheel-Motor-Driven Electric Vehicles Based on Sideslip Angle Estimation Using Lateral Tire Force Sensors. IEEE Transactions on Vehicular Technology 2012, 61, 1972–85. [Google Scholar]
- Zhang, D.; G Liu, H. Zhou, and W. Zhao. Adaptive Sliding Mode Fault-Tolerant Coordination Control for Four-Wheel Independently Driven Electric Vehicles. IEEE Transactions on Industrial Electronics 2018, 65, 9090–100. [Google Scholar] [CrossRef]
- Silveira, Alexandre, Rui Esteves Araújo, and Ricardo de Castro. Survey on Fault-Tolerant Diagnosis and Control Systems Applied to Multi-Motor Electric Vehicles. Paper presented at the Technological Innovation for Sustainability, Berlin, Heidelberg, 2011//2011.
- Wang, R.; J Wang. Fault-Tolerant Control with Active Fault Diagnosis for Four-Wheel Independently Driven Electric Ground Vehicles. IEEE Transactions on Vehicular Technology 2011, 60, 4276–87. [Google Scholar] [CrossRef]
- Li, Q.; Tang, J.; Zhang, B.; Chen, Y.; Wang, Y. Research on Fault-Tolerant Control of Multi-Actuator for Distributed Drive Electric Vehicles. Automotive Engineering 2023, 45, 2251–2259. [Google Scholar]
- Mutoh, N. Y Takahashi, and Y. Tomita. Failsafe Drive Performance of Electric Vehicles with the Structure Driven by the Front and Rear Wheels Independently. Paper presented at the IECON 2007 - 33rd Annual Conference of the IEEE Industrial Electronics Society, 5-8 Nov. 2007 2007.
- Mutoh, Nobuyoshi. Front-and-Rear-Wheel-Independent-Drive-Type Electric Vehicle (Frid Ev) with Compatible Driving Performance and Safety. World Electric Vehicle Journal 2009, 3, 17–26. [Google Scholar] [CrossRef]
- Zhang, L. Yu, W., Wang, Z., & Ding, X. Fault Tolerant Control Based on Multi-methods Switching for Four-wheel-independently-actuated Electric Vehicles. Journal of Mechanical Engineering 2020, 56, 227–39. [Google Scholar]
- Li, L. , & Wang, B. Fault-tolerant Control Strategy for Distributed Electric Vehicles Based on Fault Diagnosis" Journal of Hubei University of Automotive Technology 2023, 37, 6–11. [Google Scholar]
- Zhang, D.; G Liu, H. Zhou, and W. Zhao. Adaptive Sliding Mode Fault-Tolerant Coordination Control for Four-Wheel Independently Driven Electric Vehicles. IEEE Transactions on Industrial Electronics 2018, 65, 9090–100. [Google Scholar] [CrossRef]
- Tang, H.; Y Chen, and A. Zhou. Actuator Fault-Tolerant Control for Four-Wheel-Drive-by-Wire Electric Vehicle. IEEE Transactions on Transportation Electrification 2022, 8, 2361–73. [Google Scholar] [CrossRef]
- Lu, Yanbo, Jinhao Liang, Weichao Zhuang, Guodong Yin, Jiwei Feng, and Chaobin Zhou. Four-Wheel Independent Drive Vehicle Fault Tolerant Strategy Using Stochastic Model Predictive Control with Model Parameter Uncertainties. IEEE Transactions on Vehicular Technology PP (01/01 2023): 1-13.
- Li, Y. , Hu, H, Qin, Z., Wu, H., & Wang, W. Sensorless control of permanent magnet in-wheel motor based on improved model reference adaptive strategy". Journal of Automotive Safety and Energy 2022, 13, 560–70. [Google Scholar]
- Qiu, J. , Zeng, H., & Shi, C. Self-optimizing control and parameters identification for permanent magnet assisted synchronous reluctance motor. Journal of Electric Machines and Control 2022, 26, 1–8. [Google Scholar]
- Zhang, Y. , Lu, T., Wei, H., Li, Y., & Xu, S. Model reference adaptive torque control of power-assist electric bicycle. Journal of Electric Machines and Control 2022, 26, 115–24. [Google Scholar]
- Zheng, L.; Deng, Z.; Li, Y. Model Reference Adaptive Control for Automotive Semi-active Suspension. China Journal of Highway and Transport 2005, 99–102. [Google Scholar]
- Zhao, Xiuchun, and Ge Guo. Model Reference Adaptive Control of Vehicle Slip Ratio Based on Speed Tracking. Applied Sciences 2020, 10, 3459. [Google Scholar] [CrossRef]
- Elzaghir, Walid, Yi Zhang, Narasimhamurthi Natarajan, Frank Massey, and Chunting Mi. Model Reference Adaptive Control for Hybrid Electric Vehicle with Dual Clutch Transmission Configurations. IEEE Transactions on Vehicular Technology PP (09/12 2017): 1-1.
- Li, J.; Audi, W.; Wang, Y.; Xiong, R. Model Reference Adaptive Stability Control for Independently Driven Electric Vehicles. Journal of Automotive Safety and Energy 2021, 12, 355–63. [Google Scholar]
- Zhu, S.; Lv, C. Distributed Drive Control Technology. Beijing: Mechanical Industry Press, May 2022, p. 16. ISBN 978-7-111-70543-7.
- Nguyen, N.T. Introduction to Model Reference Adaptive Control. Translated by Zhao, L., & Shi, Z. Beijing: Mechanical Industry Press, January 2020, p. 1. ISBN 978-7-111-64339-5.













| Parameter | Unit | Numerical Value |
| ) | kg | 1270 |
| ) | m | 1.5 |
| ) | m | 1.015 |
| ) | m | 1.510 |
| ) | kg/m2 | 1536 |
| ) | N/rad | -108861 |
| ) | N/rad | -108861 |
| ) | m | 0.3 |
Disclaimer/Publisher’s Note: The statements, opinions and data contained in all publications are solely those of the individual author(s) and contributor(s) and not of MDPI and/or the editor(s). MDPI and/or the editor(s) disclaim responsibility for any injury to people or property resulting from any ideas, methods, instructions or products referred to in the content. |
© 2024 by the authors. Licensee MDPI, Basel, Switzerland. This article is an open access article distributed under the terms and conditions of the Creative Commons Attribution (CC BY) license (http://creativecommons.org/licenses/by/4.0/).