Submitted:
19 September 2024
Posted:
20 September 2024
You are already at the latest version
Abstract
Keywords:
1. Introduction
2. Biopolymers
-
Biopolymers extracted from biomass.
- a.
- Plant: starch (amylose/ amylopectin), cellulose, guar gum, pectin, protein including corn zein, gluten, and soy protein, lipids
- b.
- Animal: chitin/chitosan, protein including, whey protein, casein, collagen and gelatin, lipids.
- c.
- Algae/seaweeds: alginate, agar, carrageenan, ulvan
- Biopolymers produced by microorganisms: polysaccharides (dextran, gellan gum, pullulan, xanthan gum), proteins (polyamides from bacteria), polyhydroxyalkanoates (PHA), polyhydroxybutyrates (PHB).
- Biopolymers chemically synthesized from bio-based materials: Polylactic acid (PLA)
-
Biopolymers are chemically synthesized from petroleum-based materials: polycaprolactones (PCL) and polyesteramides (PEA).
3. Polysaccharide-Based Bioplastics
4. Polysaccharides from Higher Plants
4.1. Starch

4.2. Thermoplastic Starch
4.3. Modified Starch
4.4. Cellulose
4.5. Nanocellulose
5. Algal Polysaccharides
5.1. Alginates
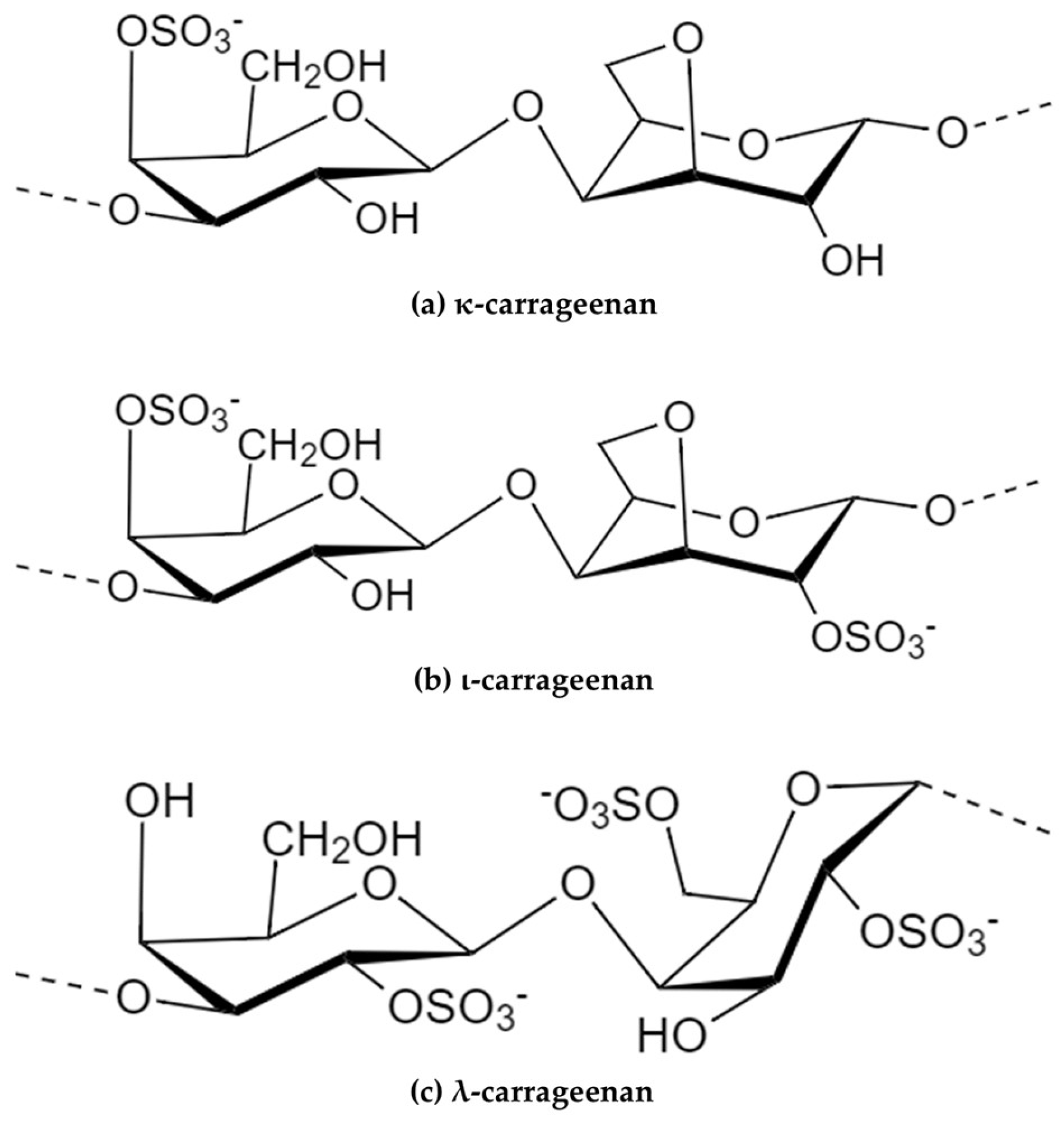
5.2. Carrageenan
6. Polysaccharides of Animal Origin
6.1. Chitosan
6.2. Hyaluronic Acid
7. Polysaccharides from Microbial Origin
7.1. Gellan Gum
7.2. Xanthan Gum
8. Packaging Applications of Polysaccharide-Based Bioplastics
| Polysaccharide type | Packaging application | Properties of the bioplastic | References |
|---|---|---|---|
| Starch | |||
| Starch/PBS | Food wrap and food containers, grocery plastic bags | Very good elongation at break, outstanding bending capability (flexural modulus 378.69- 3188.48 MPa), good tensile properties (tensile strength [TS] 11.32- 18.13 MPa, Young's/tensile modulus [YM] 534.77- 2655.27 MPa) | [46] |
| Low-density polyethylene/linear123456low-density polyethylene/thermoplastic starch (LDPE/LLDPE/TPS) | Packaging applications | Adding starch at 15% yielded good mechanical properties (ultimate TS = 12.1 MPa, EB % = 250%), starch decreased the gloss% | [37] |
| Polypropylene /TPS | Biodegradable polymer | pseudoplastic in nature and exhibited shear-thinning behavior, EB is lower than PP, higher YM than PP. | [39] |
| Thermoplastic PVA/starch blend (TPPS) | Biodegradable polymer to replace starch polymers. | Glycerol and urea as a complex123456plasticizer for TPPS increased TS (7.83 MPa) and EB (203%). | [42] |
| Cassava starch/glycerol/clay nanoparticles (NPs) | Biodegradable and cheaper food packaging | lower glycerol content presented better tensile and barrier properties, and clay NPs diminished the film permeability | [193] |
| Starch/clay (montmorillonite) NPs | Food contact material for vegetables | Increase of mechanical parameters (stress at peak = 6-22 MPa and YM = 450 -1135 MPa) | [194] |
| Carboxymethyl potato starch and citric acid (CA) (as a crosslinker and plasticizer) | Edible packaging | Highest tensile strength (160 kPa), Young modulus (650 kPa), and improved thermal stability (increased Tg 58 °C) were reported with CA at 30 wt%. | [195] |
| Cellulose | |||
| Carboxymethyl cellulose (CMC)/ Chinese chives root extract (CRE) | Active packaging for sunflower oil | Higher oil resistance properties, improved physical and barrier properties, antioxidant and antimicrobial activity against both Gram-positive (B. cereus and S. aureus) and Gram-negative (E. coli and S. typhimurium) | [58] |
| A 2,2,6,6-tetramehylpiperidine-1-oxy radical (TEMPO)-oxidized cellulose nanofibrils with free carboxyl groups (TOCN-COOH) prepared from the softwood celluloses | Biodegradable packaging | Flexible and highly transparent, higher YM (about 10 GPa) and lower elongation (about1234565.1%) than those of the TOCN-COONa, lower oxygen permeability (0.049mL µmm−2 day−1 kPa−1) than poly (ethylene terephthalate) films. | [196] |
| 2,3-dialdehyde cellulose/nicin | Antimicrobial packaging for fresh pork meat at 4°C. | Improved mechanical property, lower water holding capacity, WVP, and oxygen permeability, Excellent antimicrobial activity against S. aureus and E. coli. | [59] |
| TEMPO-oxidized123456cellulose nanofibers (TOCN) prepared from the softwood and hardwood celluloses | High-tech food and medicinal packaging material | Higher TS (about 200%) and YM (about 100%) than cellophane film. PLA film surface coated with TOCN showed reduced oxygen permeability. | [197] |
| Hydroxyethyl cellulose, carboxymethyl chitosan, and ZnO NPs | Composite film for food packaging | Exhibited lower water solubility and improved elasticity, thermal stability, UV shielding ability, antibacterial ability against Listeria monocytogenes and Pseudomonas aeruginosa, and improved crystallinity. | [198] |
| Chitosan/bacterial cellulose composite with curcumin | Biodegradable food packaging for strawberry and edible oil. | Excellent barrier properties, hydrophobicity, mechanical, and antioxidant properties. | [118]123456 |
| Cellulose acetate films with geranyl acetate (0.5% v/v and 1.0% v/v) | Food packaging | Antimicrobial activity against bacteria, Staphylococcus aureus, and Escherichia coli and fungi Aspergillus flavus. | [199] |
| Alginate | |||
| Gelatin/alginate film/1.5% oregano essential oil (OEO) | Antimicrobial food packaging for fish preservation | Increased antimicrobial effect on psychrotrophic bacteria, total viable count (TVC), and Enterobacteriaceae. | [95] |
| Alginate/Sulphur NPs | Antimicrobial film for frozen food with high moisture content (meat products) | S NPs at 2% improved the tensile strength by 12% water vapor barrier by 41%, and UV barrier by 99%, hydrophobicity. Exhibited bactericidal activity against Listeria monocytogenes. | [93] |
| Alginate/Alvera/ZnO NPs | Antimicrobial edible coating for tomatoes | Improved mechanical, UV-shielding, and antimicrobial properties. | [94] |
| Alginate/cottonseed protein hydrolysates (CPHs) | Active food packaging for the preservation of fatty foods. | Increased the barrier properties to visible light, total phenolic content, antioxidant and antimicrobial (against Staphylococcus aureus, Colletotrichum gloeosporioides, and Rhizopus oligosporus) activities.123456But increased the WVP without affecting moisture content, biodegradability, solubility, or oil barrier property. | [96] |
| Carrageenan | |||
| PLA laminated on agar/κ-carrageenan/clay nanocomposite | Multilayer films for packaging various types of food materials to keep the quality123456and extending the shelf life. | Lamination with PLA layers (triple layer) improved WVP (5.0 × 10−11 g m/m2 s Pa) and water resistance, decreased OTR (0.03 cm3/m2 day) in bionanocomposite film, the thermal stability of the bionanocomposite also increase. | [200] |
| Alginate film is prepared with CaCl2 treatment using two methods: mixing films and immersion films. | biodegradable or edible films | Transparent film increased TS and decreased EB. WVP of the immersion films decreased123456significantly, but did not decrease in mixing films. | [201] |
| Semi-refined kappa-carrageenan/ glycerol or sorbitol | Edible biodegradable packaging films | The addition of plasticizers at 30%, increased the TS, EB, moisture content, water solubility, WVP, and reduced oxygen permeability.123456Increased transparency and seal strength, reduced oil permeability. | [110] |
| Chitosan | |||
| Chitosan/nano ZnO/ neem essential oil | Antibacterial food packaging | The addition of nano ZnO and neem essential oil improved TS, EB, and thickness, decreased the WVP, water solubility, and swelling properties, and improved the antibacterial activity against Escherichia coli. | [121] |
| Chitosan-coated plasticized cassava starch films | Packaging film | Chitosan coating increased the TS and YM and decreased EB, water uptake, wettability, and WVP | [119] |
| Chitosan/magnetic-silica nanocomposite/turmeric essential oil (CS/MNP/Si/TEO) | Antimicrobial packaging for Surimi | Antimicrobial activity against Bacillus cereus over 14 days of storage in packaged Surimi | [122] |
| Chitosan/halloysite nanotubes (HNT)/Citrus limetta pomace extract (LPE) | Active food packaging | The addition of LPE at 20% increased the crystallinity and antioxidant activity of CS film. | [123] |
| Chitosan/extract of propolis (PS) | Active food packaging for oxidation-sensitive food products | Improved thermal stability and mechanical properties and reduced water solubility without affecting biodegradability (2×3 cm film buried in 5 cm depth in the soil at 25°C for 15 days), exhibited antioxidant and antimicrobial activity against gram-positive bacteria, Arthrobacter sp., S. aureus, and S. hominis and mould M. rancensis. | [202] |
| Gellan gum | |||
| Konjac glucomannan (KG)/gellan gum (GG)/nisin | Antimicrobial food packaging | Maximum TS = 17.5 MPa and lower moisture uptake value when adding 70% KG, antimicrobial activity against Staphylococcus aureus increased with GG content. | [163] |
| Gellan gum (GG)/ Heat-treated soy protein isolate (HSPI)/ Clitoria ternatea (CT) extract | Active and intelligent packaging films for controlling anthocyanin release and monitoring freshness in seafood. | Showed colorimetric pH indicator properties, decreased TS and EB, and improved antioxidant and antibacterial activity against B. cereus. | [160] |
| Gellan gum/ silver123456NPs | Intelligent packaging for monitoring of meat spoilage | A colorimetric hydrogen sulfide (H2S) sensor has an ultra-strong binding ability of Ag with H2S to form Ag2S. | [161] |
| Gellan gum (GG)/ 2-hydroxyethyl cellulose (HEC)/ lignin (L)123456- | Food packaging with UV barrier property. | Incorporation of lignin improved the thermal, mechanical, and hydrophobic properties, showed high ultraviolet (UV) protection: 100% protection against UVB (280 - 320 nm) and 90% against UVA (320 - 400 nm), showed antioxidant and non-cytotoxic activity. | [162] |
| Gellan gum/coffee parchment waste (CP) | Antimicrobial food packaging | Antifungal activity against against Fusarium123456verticillioides, Fusarium sp., and Colletotrichum gloeosporioides. Gallic, chlorogenic, p-coumaric, and, sinapic acids, along with caffeine were identified. | [159] |
| Xanthan gum | |||
| Chitosan/Xanthan gum | Packaging of refrigerated fish fillets | Reduced the WVP (10.41-10.68 g-1s-1Pa-1), exhibited antimicrobial activity against Staphylococcus, Salmonella spp, and coliforms. | [188] |
| Low-molecular-weight xanthan gum | Foods to123456alleviate and resist the oxidative damage induced by reactive oxygen species (ROS) | Exhibited good free-radical scavenging activity and low cytotoxicity on Caco-2 cells injured by H2O2. | [167] |
| Gelatin/CMC film/Xanthan gum (XG) | Biodegradable food packaging | Addition of XG (5% w/w), improved thickness, moisture content, WVP, and UV barrier properties. | [176] |
9. Health and Environmental Effects of Using Biopolymers as Food Packaging

10. Economic Viability of Producing Polysaccharide-Based Bioplastics
Author Contributions
Conflicts of Interest
References
- Geyer, R.; Jambeck, J.R.; Law, K.L. Production, Use, and Fate of All Plastics Ever Made. Sci. Adv. 2017, 3, e1700782. [Google Scholar] [CrossRef] [PubMed]
- Garside, M. Plastics Industry - Statistics & Facts Available online:. Available online: https://www.statista.com/topics/5266/plastics-industry/ (accessed on 31 December 2022).
- Lebreton, L.; Andrady, A. Future Scenarios of Global Plastic Waste Generation and Disposal. Palgrave Commun. 2019, 5, 1–11. [Google Scholar] [CrossRef]
- Rahman, M.H.; Bhoi, P.R. An Overview of Non-Biodegradable Bioplastics. J. Clean. Prod. 2021, 294, 126–218. [Google Scholar] [CrossRef]
- Sid, S.; Mor, R.S.; Kishore, A.; Sharanagat, V.S. Bio-Sourced Polymers as Alternatives to Conventional Food Packaging Materials: A Review. Trends Food Sci. Technol. 2021, 115, 87–104. [Google Scholar] [CrossRef]
- Mohan, S.; Oluwafemi, O.S.; Kalarikkal, N.; Thomas, S.; Songca, S.P.; Mohan, S.; Oluwafemi, O.S.; Kalarikkal, N.; Thomas, S.; Songca, S.P. Biopolymers – Application in Nanoscience and Nanotechnology; IntechOpen, 2016; ISBN 978-953-51-2255-5.
- Mahmud, J.; Sarmast, E.; Shankar, S.; Lacroix, M. Advantages of Nanotechnology Developments in Active Food Packaging. Food Res. Int. 2022, 154. [Google Scholar] [CrossRef] [PubMed]
- Johansson, C.; Bras, J.; Mondragon, I.; Nechita, P.; Plackett, D.; Šimon, P.; Svetec, D.G.; Virtanen, S.; Baschetti, M.G.; Breen, C.; et al. Renewable Fibers and Bio-Based Materials for Packaging Applications - a Review of Recent Developments. BioResources 2012, 7, 2506–2552. [Google Scholar] [CrossRef]
- Nešić, A.; Cabrera-Barjas, G.; Dimitrijević-Branković, S.; Davidović, S.; Radovanović, N.; Delattre, C. Prospect of Polysaccharide-Based Materials as Advanced Food Packaging. Molecules 2020, 25, 135. [Google Scholar] [CrossRef]
- Cazón, P.; Velazquez, G.; Ramírez, J.A.; Vázquez, M. Polysaccharide-Based Films and Coatings for Food Packaging: A Review. Food Hydrocoll. 2017, 68, 136–148. [Google Scholar] [CrossRef]
- Kabir, E.; Kaur, R.; Lee, J.; Kim, K.-H.; Kwon, E.E. Prospects of Biopolymer Technology as an Alternative Option for Non-Degradable Plastics and Sustainable Management of Plastic Wastes. J. Clean. Prod. 2020, 258, 120536. [Google Scholar] [CrossRef]
- Mohammed, A.S.A.; Naveed, M.; Jost, N. Polysaccharides; Classification, Chemical Properties, and Future Perspective Applications in Fields of Pharmacology and Biological Medicine (A Review of Current Applications and Upcoming Potentialities). J. Polym. Environ. 2021, 29, 2359–2371. [Google Scholar] [CrossRef]
- Ramesh, H.P.; Tharanathan, R.N. Carbohydrates—The Renewable Raw Materials of High Biotechnological Value. Crit. Rev. Biotechnol. 2003, 23, 149–173. [Google Scholar] [CrossRef] [PubMed]
- Handbook of Sustainable Polymers: Processing and Applications; Thakur, V. K., Thakur, M.K., Eds.; Jenny Stanford Publishing: New York, 2015; ISBN 978-0-429-08248-1. [Google Scholar]
- Thakur, V.K.; Thakur, M.K. Handbook of Sustainable Polymers: Processing and Applications; Pan Stanford Publishing: Singapore, 2016. [Google Scholar]
- Vroman, I.; Tighzert, L. Review Biodegradable Polymers Materials. In materials ISSN 1996-1944; 2009; Vol. 2, pp. 307–344.
- Appendini, P.; Hotchkiss, J.H. Review of Antimicrobial Food Packaging. Innov Food Sci Emerg Technol 2002, 3, 113–126. [Google Scholar] [CrossRef]
- Falguera, V.; Quintero, J.P.; Jiménez, A.; Muñoz, J.A.; Ibarz, A. Edible Films and Coatings: Structures, Active Functions and Trends in Their Use. Trends Food Sci Technol 2011, 22, 292–303. [Google Scholar] [CrossRef]
- Sivakanthan, S.; Rajendran, S.; Gamage, A.; Madhujith, T.; Mani, S. Antioxidant and Antimicrobial Applications of Biopolymers: A Review. Food Res. Int. 2020, 36, 109327. [Google Scholar] [CrossRef] [PubMed]
- Sriroth, K.; Chollakup, R.; Piyachomkwan, K.; Oates, C.G. Biodegradable Plastics from Cassava Starch in Thailand. In; International Center for Tropical Agriculture, 2001.
- Alcázar-Alay, S.C.; Meireles, M.A.A. Physicochemical Properties, Modifications and Applications of Starches from Different Botanical Sources. Food Sci. Technol. 2015, 35, 215–236. [Google Scholar] [CrossRef]
- Tikapunya, T.; Zou, W.; Yu, W.; Powell, P.O.; Fox, G.P.; Furtado, A.; Henry, R.J.; Gilbert, R.G. Molecular Structures and Properties of Starches of Australian Wild Rice. Carbohydr. Polym. 2017, 172, 213–222. [Google Scholar] [CrossRef]
- Janssen, L.; Moscicki, L. Thermoplastic Starch: A Green Material for Various Industries; John Wiley & Sons, 2009; ISBN 978-3-527-62822-3.
- Alves, V.D.; Mali, S.; Beléia, A.; Grossmann, M.V.E. Effect of Glycerol and Amylose Enrichment on Cassava Starch Film Properties. J. Food Eng. 2007, 78, 941–946. [Google Scholar] [CrossRef]
- Mali, S.; Grossmann, M.V.E.; Garcia, M.A.; Martino, M.N.; Zaritzky, N.E. Microstructural Characterization of Yam Starch Films. Carbohydr. Polym. 2002, 50, 379–386. [Google Scholar] [CrossRef]
- Tapia-Blácido, D.R.; Sobral, P.J.d.A.; Menegalli, F.C. Effect of Drying Conditions and Plasticizer Type on Some Physical and Mechanical Properties of Amaranth Flour Films. LWT - Food Sci. Technol. 2013, 50, 392–400. [Google Scholar] [CrossRef]
- Thuwall, M.; Boldizar, A.; Rigdahl, M. Extrusion Processing of High Amylose Potato Starch Materials. Carbohydr. Polym. 2006, 65, 441–446. [Google Scholar] [CrossRef]
- Huneault, M.A.; Li, H. Morphology and Properties of Compatibilized Polylactide/Thermoplastic Starch Blends. Polymer 2007, 48, 270–280. [Google Scholar] [CrossRef]
- Ali Akbari Ghavimi, S.; Ebrahimzadeh, M.H.; Solati-Hashjin, M.; Abu Osman, N.A. Polycaprolactone/Starch Composite: Fabrication, Structure, Properties, and Applications. J. Biomed. Mater. Res. A 2015, 103, 2482–2498. [Google Scholar] [CrossRef] [PubMed]
- Koh, J.J.; Zhang, X.; He, C. Fully Biodegradable Poly(Lactic Acid)/Starch Blends: A Review of Toughening Strategies. Int. J. Biol. Macromol. 2018, 109, 99–113. [Google Scholar] [CrossRef] [PubMed]
- El-Sonbati, A.Z. Thermoplastic Elastomers; 2012; ISBN 978-953-51-0346-2.
- Verbeek, C.J.R.; van den Berg, L.E. Extrusion Processing and Properties of Protein-Based Thermoplastics. Macromol. Mater. Eng. 2010, 295, 10–21. [Google Scholar] [CrossRef]
- Ke, T.; Sun, S.X.; Seib, P. Blending of Poly(Lactic Acid) and Starches Containing Varying Amylose Content. J. Appl. Polym. Sci. 2003, 89, 3639–3646. [Google Scholar] [CrossRef]
- Wang, N.; Yu, J.; Chang, P.R.; Ma, X. Influence of Formamide and Water on the Properties of Thermoplastic Starch/Poly(Lactic Acid) Blends. Carbohydr. Polym. 2008, 71, 109–118. [Google Scholar] [CrossRef]
- Mihai, M.; Huneault, M.A.; Favis, B.D. Foaming of Polystyrene/ Thermoplastic Starch Blends. J. Cell. Plast. 2007, 43, 215–236. [Google Scholar] [CrossRef]
- St-Pierre, N.; Favis, B.D.; Ramsay, B.A.; Ramsay, J.A.; Verhoogt, H. Processing and Characterization of Thermoplastic Starch/Polyethylene Blends. Polymer 1997, 38, 647–655. [Google Scholar] [CrossRef]
- Sabetzadeh, M.; Bagheri, R.; Masoomi, M. Study on Ternary Low Density Polyethylene/Linear Low Density Polyethylene/Thermoplastic Starch Blend Films. Carbohydr. Polym. 2015, 119, 126–133. [Google Scholar] [CrossRef]
- Rosa, D.S.; Guedes, C.G.F.; Carvalho, C.L. Processing and Thermal, Mechanical and Morphological Characterization of Post-Consumer Polyolefins/Thermoplastic Starch Blends. J. Mater. Sci. 2007, 42, 551–557. [Google Scholar] [CrossRef]
- Kaseem, M.; Hamad, K.; Deri, F. Rheological and Mechanical Properties of Polypropylene/Thermoplastic Starch Blend. Polym. Bull. 2012, 68, 1079–1091. [Google Scholar] [CrossRef]
- Schlemmer, D.; Sales, M.J.A.; Resck, I.S. Degradation of Different Polystyrene/Thermoplastic Starch Blends Buried in Soil. Carbohydr. Polym. 2009, 75, 58–62. [Google Scholar] [CrossRef]
- Yoon, S.-D.; Chough, S.-H.; Park, H.-R. Effects of Additives with Different Functional Groups on the Physical Properties of Starch/PVA Blend Film. J. Appl. Polym. Sci. 2006, 100, 3733–3740. [Google Scholar] [CrossRef]
- Zhou, X.Y.; Cui, Y.F.; Jia, D.M.; Xie, D. Effect of a Complex Plasticizer on the Structure and Properties of the Thermoplastic PVA/Starch Blends. Polym.-Plast. Technol. Eng. 2009, 48, 489–495. [Google Scholar] [CrossRef]
- Rodriguez-Gonzalez, F.J.; Virgilio, N.; Ramsay, B.A.; Favis, B.D. Influence of Melt Drawing on the Morphology of One- and Two-Step Processed LDPE/Thermoplastic Starch Blends. Adv. Polym. Technol. 2003, 22, 297–305. [Google Scholar] [CrossRef]
- Fan, Y.; Picchioni, F. Modification of Starch: A Review on the Application of “Green” Solvents and Controlled Functionalization. Carbohydr. Polym. 2020, 241, 116350. [Google Scholar] [CrossRef]
- Le Thanh-Blicharz, J.; Lewandowicz, J.; Małyszek, Z.; Baranowska, H.M.; Kowalczewski, P.Ł. Chemical Modifications of Normal and Waxy Potato Starches Affect Functional Properties of Aerogels. Gels 2022, 8, 720. [Google Scholar] [CrossRef]
- Ayu, R.S.; Khalina, A.; Harmaen, A.S.; Zaman, K.; Jawaid, M.; Lee, C.H. Effect of Modified Tapioca Starch on Mechanical, Thermal, and Morphological Properties of PBS Blends for Food Packaging. Polymers 2018, 10, 1187. [Google Scholar] [CrossRef]
- Gamage, A.; Liyanapathiranage, A.; Manamperi, A.; Gunathilake, C.; Mani, S.; Merah, O.; Madhujith, T. Applications of Starch Biopolymers for a Sustainable Modern Agriculture. Sustainability 2022, 14, 6085. [Google Scholar] [CrossRef]
- Che, L.-M.; Li, D.; Wang, L.-J.; Dong Chen, X.; Mao, Z.-H. Micronization and Hydrophobic Modification of Cassava Starch. Int. J. Food Prop. 2007, 10, 527–536. [Google Scholar] [CrossRef]
- Chia, L.; Blazanin, G.; Huang, Y.; Rashid, U.S.; Lu, P.; Simsek, S.; Bezbaruah, A.N. Surface Treatment of Carbon Nanotubes Using Modified Tapioca Starch for Improved Force Detection Consistency in Smart Cementitious Materials. Sensors 2020, 20, 3985. [Google Scholar] [CrossRef] [PubMed]
- Kuang, T.; Zhang, J.; Huang, G.-M. ; Liu, T; Huang, Z. -X. Multifunctional biopolymer poly (lactic acid)-based triboelectric nanogenerator via controlled construction of secondary electron path. Nano Energy 2024, 128, Part A,109877. [Google Scholar] [CrossRef]
- Heinze, T. Cellulose: Structure and Properties. In Cellulose Chemistry and Properties: Fibers, Nanocelluloses and Advanced Materials; Rojas, O.J., Ed.; Advances in Polymer Science; Springer International Publishing: Cham, 2016; pp. 1–52. ISBN 978-3-319-26015-0. [Google Scholar]
- Li, F.; Mascheroni, E.; Piergiovanni, L. The Potential of NanoCellulose in the Packaging Field: A Review. Packag. Technol. Sci. 2015, 28, 475–508. [Google Scholar] [CrossRef]
- Chen, H. Chemical Composition and Structure of Natural Lignocellulose. In Biotechnology of Lignocellulose: Theory and Practice; Chen, H., Ed.; Springer Netherlands: Dordrecht, 2014; pp. 25–71. ISBN 978-94-007-6898-7. [Google Scholar]
- Lee, H.; Sundaram, J.; Mani, S. Production of Cellulose Nanofibrils and Their Application to Food: A Review. In Nanotechnology: Food and Environmental Paradigm; Prasad, R., Kumar, V., Kumar, M., Eds.; Springer: Singapore, 2017; pp. 1–33. ISBN 978-981-10-4678-0. [Google Scholar]
- Shaghaleh, H.; Xu, X.; Wang, S. Current Progress in Production of Biopolymeric Materials Based on Cellulose, Cellulose Nanofibers, and Cellulose Derivatives. RSC Adv. 2018, 8, 825–842. [Google Scholar] [CrossRef] [PubMed]
- Yaradoddi, J.S.; Banapurmath, N.R.; Ganachari, S.V.; Soudagar, M.E.M.; Mubarak, N.M.; Hallad, S.; Hugar, S.; Fayaz, H. Biodegradable Carboxymethyl Cellulose Based Material for Sustainable Packaging Application. Sci. Rep. 2020, 10, 21960. [Google Scholar] [CrossRef]
- Carrillo, F.; Martín, G.; López-Mesas, M.; Colom, X.; Cañavate, J. High Modulus Regenerated Cellulose Fiber-Reinforced Cellulose Acetate Butyrate Biocomposites. J. Compos. Mater. 2011, 45, 1733–1740. [Google Scholar] [CrossRef]
- Riaz, A.; Lagnika, C.; Luo, H.; Nie, M.; Dai, Z.; Liu, C.; Abdin, M.; Hashim, M.M.; Li, D.; Song, J. Effect of Chinese Chives (Allium Tuberosum) Addition to Carboxymethyl Cellulose Based Food Packaging Films. Carbohydr. Polym. 2020, 235, 115944. [Google Scholar] [CrossRef]
- Wu, Y.; Li, Q.; Zhang, X.; Li, Y.; Li, B.; Liu, S. Cellulose-Based Peptidopolysaccharides as Cationic Antimicrobial Package Films. Int. J. Biol. Macromol. 2019, 128, 673–680. [Google Scholar] [CrossRef]
- Quintero, R.I.; Rodriguez, F.; Bruna, J.; Guarda, A.; Galotto, M.J. Cellulose Acetate Butyrate Nanocomposites with Antimicrobial Properties for Food Packaging. Packag. Technol. Sci. 2013, 26, 249–265. [Google Scholar] [CrossRef]
- Dufresne, A. Nanocellulose: A New Ageless Bionanomaterial. Mater. Today 2013, 16, 220–227. [Google Scholar] [CrossRef]
- Blanco, A.; Monte, M.C.; Campano, C.; Balea, A.; Merayo, N.; Negro, C. Chapter 5 - Nanocellulose for Industrial Use: Cellulose Nanofibers (CNF), Cellulose Nanocrystals (CNC), and Bacterial Cellulose (BC). In Handbook of Nanomaterials for Industrial Applications; Mustansar Hussain, C., Ed.; Micro and Nano Technologies; Elsevier, 2018; pp. 74–126 ISBN 978-0-12-813351-4.
- Lavoine, N.; Desloges, I.; Dufresne, A.; Bras, J. Microfibrillated Cellulose – Its Barrier Properties and Applications in Cellulosic Materials: A Review. Carbohydr. Polym. 2012, 90, 735–764. [Google Scholar] [CrossRef] [PubMed]
- Kargarzadeh, H.; Ahmad, I.; Abdullah, I.; Dufresne, A.; Zainudin, S.Y.; Sheltami, R.M. Effects of Hydrolysis Conditions on the Morphology, Crystallinity, and Thermal Stability of Cellulose Nanocrystals Extracted from Kenaf Bast Fibers. Cellulose 2012, 19, 855–866. [Google Scholar] [CrossRef]
- Kontturi, E.; Meriluoto, A.; Penttilä, P.A.; Baccile, N.; Malho, J.-M.; Potthast, A.; Rosenau, T.; Ruokolainen, J.; Serimaa, R.; Laine, J.; et al. Degradation and Crystallization of Cellulose in Hydrogen Chloride Vapor for High-Yield Isolation of Cellulose Nanocrystals. Angew. Chem. Int. Ed Engl. 2016, 55, 14455–14458. [Google Scholar] [CrossRef] [PubMed]
- Liu, Y.; Wang, H.; Yu, G.; Yu, Q.; Li, B.; Mu, X. A Novel Approach for the Preparation of Nanocrystalline Cellulose by Using Phosphotungstic Acid. Carbohydr. Polym. 2014, 110, 415–422. [Google Scholar] [CrossRef] [PubMed]
- Kargarzadeh, H.; Huang, J.; Lin, N.; Ahmad, I.; Mariano, M.; Dufresne, A.; Thomas, S.; Gałęski, A. Recent Developments in Nanocellulose-Based Biodegradable Polymers, Thermoplastic Polymers, and Porous Nanocomposites. Prog. Polym. Sci. 2018, 87, 197–227. [Google Scholar] [CrossRef]
- Trache, D.; Tarchoun, A.F.; Derradji, M.; Hamidon, T.S.; Masruchin, N.; Brosse, N.; Hussin, M.H. Nanocellulose: From Fundamentals to Advanced Applications. Front. Chem. 2020, 8. [Google Scholar] [CrossRef]
- Minelli, M.; Baschetti, M.G.; Doghieri, F.; Ankerfors, M.; Lindström, T.; Siró, I.; Plackett, D. Investigation of Mass Transport Properties of Microfibrillated Cellulose (MFC) Films. J. Membr. Sci. 2010, 358, 67–75. [Google Scholar] [CrossRef]
- Andresen, M.; Stenstad, P.; Møretrø, T.; Langsrud, S.; Syverud, K.; Johansson, L.-S.; Stenius, P. Nonleaching Antimicrobial Films Prepared from Surface-Modified Microfibrillated Cellulose. Biomacromolecules 2007, 8, 2149–2155. [Google Scholar] [CrossRef]
- Ebrahimi, Y.; Peighambardoust, S.J.; Peighambardoust, S.H.; Karkaj, S.Z. Development of Antibacterial Carboxymethyl Cellulose-Based Nanobiocomposite Films Containing Various Metallic Nanoparticles for Food Packaging Applications. J. Food Sci. 2019, 84, 2537–2548. [Google Scholar] [CrossRef]
- Roy, S.; Rhim, J.-W. Carboxymethyl Cellulose-Based Antioxidant and Antimicrobial Active Packaging Film Incorporated with Curcumin and Zinc Oxide. Int. J. Biol. Macromol. 2020, 148, 666–676. [Google Scholar] [CrossRef]
- Xie, Y.; Pan, Y.; Cai, P. Cellulose-Based Antimicrobial Films Incroporated with ZnO Nanopillars on Surface as Biodegradable and Antimicrobial Packaging. Food Chem. 2022, 368, 130784. [Google Scholar] [CrossRef] [PubMed]
- Deshmukh, R.K.; Akhila, K.; Ramakanth, D.; Gaikwad, K.K. Guar Gum/Carboxymethyl Cellulose Based Antioxidant Film Incorporated with Halloysite Nanotubes and Litchi Shell Waste Extract for Active Packaging. Int. J. Biol. Macromol. 2022, 201, 1–13. [Google Scholar] [CrossRef] [PubMed]
- Draget, K.I. 29 - Alginates. In Handbook of Hydrocolloids (Second Edition); Phillips, G.O., Williams, P.A., Eds.; Woodhead Publishing Series in Food Science, Technology and Nutrition; Woodhead Publishing, 2009; pp. 807–828 ISBN 978-1-84569-414-2.
- Fu, S.; Thacker, A.; Sperger, D.M.; Boni, R.L.; Buckner, I.S.; Velankar, S.; Munson, E.J.; Block, L.H. Relevance of Rheological Properties of Sodium Alginate in Solution to Calcium Alginate Gel Properties. AAPS PharmSciTech 2011, 12, 453–460. [Google Scholar] [CrossRef] [PubMed]
- Haug, A.; Larsen, B.; Smidsrød, O. Uronic Acid Sequence in Alginate from Different Sources. Carbohydr. Res. 1974, 32, 217–225. [Google Scholar] [CrossRef]
- Lee, K.Y.; Mooney, D.J. Alginate: Properties and Biomedical Applications. Prog. Polym. Sci. 2012, 37, 106–126. [Google Scholar] [CrossRef]
- Wang, Y.; Chen, X.; Bi, X.; Ren, Y.; Han, Q.; Zhou, Y.; Han, Y.; Yao, R.; Li, S. Characterization of an Alkaline Alginate Lyase with pH-Stable and Thermo-Tolerance Property. Mar. Drugs 2019, 17, 308. [Google Scholar] [CrossRef]
- Jahandideh, A.; Ashkani, M.; Moini, N. Chapter 8 - Biopolymers in Textile Industries. In Biopolymers and their Industrial Applications; Thomas, S., Gopi, S., Amalraj, A., Eds.; Elsevier, 2021; pp. 193–218 ISBN 978-0-12-819240-5.
- Hu, C.; Lu, W.; Mata, A.; Nishinari, K.; Fang, Y. Ions-Induced Gelation of Alginate: Mechanisms and Applications. Int. J. Biol. Macromol. 2021, 177, 578–588. [Google Scholar] [CrossRef]
- Tariverdian, T.; Navaei, T.; Milan, P.B.; Samadikuchaksaraei, A.; Mozafari, M. Chapter 16 - Functionalized Polymers for Tissue Engineering and Regenerative Medicines. In Advanced Functional Polymers for Biomedical Applications; Mozafari, M., Singh Chauhan, N.P., Eds.; Elsevier, 2019; pp. 323–357 ISBN 978-0-12-816349-8.
- Saji, S.; Hebden, A.; Goswami, P.; Du, C. A Brief Review on the Development of Alginate Extraction Process and Its Sustainability. Sustainability 2022, 14, 5181. [Google Scholar] [CrossRef]
- Oliveira, C.; Carvalho, A.C.; Reis, R.L.; Neves, N.N.; Martins, A.; Silva, T.H. Chapter 23 - Marine-Derived Biomaterials for Cancer Treatment. In Biomaterials for 3D Tumor Modeling; Kundu, S.C., Reis, R.L., Eds.; Materials Today; Elsevier, 2020; pp. 551–576 ISBN 978-0-12-818128-7.
- Silva, M.P.; Badruddin, I.J.; Tonon, T.; Rahatekar, S.; Gomez, L.D. Environmentally Benign Alginate Extraction and Fibres Spinning from Different European Brown Algae Species. Int. J. Biol. Macromol. 2023, 226, 434–442. [Google Scholar] [CrossRef]
- Stobel Christy, E.J.; Rajeswari, A.; Pius, A. Chapter 9 - Biopolymer Applications in Cosmeceutical Industries. In Biopolymers and their Industrial Applications; Thomas, S., Gopi, S., Amalraj, A., Eds.; Elsevier, 2021; pp. 219–243 ISBN 978-0-12-819240-5.
- Sharmeen, S.; Rahman, M.S.; Islam, M.M.; Islam, M.S.; Shahruzzaman, M.; Mallik, A.K.; Haque, P.; Rahman, M.M. 11 - Application of Polysaccharides in Enzyme Immobilization. In Functional Polysaccharides for Biomedical Applications; Maiti, S., Jana, S., Eds.; Woodhead Publishing, 2019; pp. 357–395 ISBN 978-0-08-102555-0.
- Chen, Z.; Song, J.; Xia, Y.; Jiang, Y.; Murillo, L.L.; Tsigkou, O.; Wang, T.; Li, Y. High Strength and Strain Alginate Fibers by a Novel Wheel Spinning Technique for Knitting Stretchable and Biocompatible Wound-Care Materials. Mater. Sci. Eng. C 2021, 127, 112204. [Google Scholar] [CrossRef]
- Varma, K.; Gopi, S. Chapter 7 - Biopolymers and Their Role in Medicinal and Pharmaceutical Applications. In Biopolymers and their Industrial Applications; Thomas, S., Gopi, S., Amalraj, A., Eds.; Elsevier, 2021; pp. 175–191 ISBN 978-0-12-819240-5.
- Zhang, X.; Wang, X.; Fan, W.; Liu, Y.; Wang, Q.; Weng, L. Fabrication, Property and Application of Calcium Alginate Fiber: A Review. Polymers 2022, 14, 3227. [Google Scholar] [CrossRef] [PubMed]
- Senturk Parreidt, T.; Müller, K.; Schmid, M. Alginate-Based Edible Films and Coatings for Food Packaging Applications. Foods 2018, 7, 170. [Google Scholar] [CrossRef] [PubMed]
- Alves, Z.; Ferreira, N.M.; Mendo, S.; Ferreira, P.; Nunes, C. Design of Alginate-Based Bionanocomposites with Electrical Conductivity for Active Food Packaging. Int. J. Mol. Sci. 2021, 22, 9943. [Google Scholar] [CrossRef] [PubMed]
- Priyadarshi, R.; Kim, H.-J.; Rhim, J.-W. Effect of Sulfur Nanoparticles on Properties of Alginate-Based Films for Active Food Packaging Applications. Food Hydrocoll. 2021, 110, 106155. [Google Scholar] [CrossRef]
- Abdel Aziz, M.S.; Salama, H.E. Development of Alginate-Based Edible Coatings of Optimized UV-Barrier Properties by Response Surface Methodology for Food Packaging Applications. Int. J. Biol. Macromol. 2022, 212, 294–302. [Google Scholar] [CrossRef]
- Kazemi, S.M.; Rezaei, M. Antimicrobial Effectiveness of Gelatin–Alginate Film Containing Oregano Essential Oil for Fish Preservation. J. Food Saf. 2015, 35, 482–490. [Google Scholar] [CrossRef]
- Oliveira Filho, J.G.d.; Rodrigues, J.M.; Valadares, A.C.F.; Almeida, A.B. de; Lima, T.M. de; Takeuchi, K.P.; Alves, C.C.F.; Sousa, H.A. de F.; Silva, E.R. da; Dyszy, F.H.; et al. Active Food Packaging: Alginate Films with Cottonseed Protein Hydrolysates. Food Hydrocoll. 2019, 92, 267–275. [Google Scholar] [CrossRef]
- Sayadi, M.; Mojaddar Langroodi, A.; Amiri, S.; Radi, M. Effect of Nanocomposite Alginate-Based Film Incorporated with Cumin Essential Oil and TiO2 Nanoparticles on Chemical, Microbial, and Sensory Properties of Fresh Meat/Beef. Food Sci. Nutr. 2022, 10, 1401–1413. [Google Scholar] [CrossRef]
- Nanaki, S.; Karavas, E.; Kalantzi, L.; Bikiaris, D. Miscibility Study of Carrageenan Blends and Evaluation of Their Effectiveness as Sustained Release Carriers. Carbohydr. Polym. 2010, 79, 1157–1167. [Google Scholar] [CrossRef]
- Necas, J.; Bartosikova, L. Carrageenan: A Review. Vet. Med. (Praha) 2013, 58. [Google Scholar] [CrossRef]
- Sedayu, B.B.; Cran, M.J.; Bigger, S.W. A Review of Property Enhancement Techniques for Carrageenan-Based Films and Coatings. Carbohydr. Polym. 2019, 216, 287–302. [Google Scholar] [CrossRef] [PubMed]
- Therkelsen, G.H. CHAPTER 7 - CARRAGEENAN**This Chapter Has Not Been Revised or Updated since Its Submission to the Volume Editors in 1985. The Editors Feel That the Material Reflects Valuable Information since Publication of the Second Edition. In Industrial Gums (Third Edition); Whistler, R.L., Bemiller, J.N., Eds.; Academic Press: London, 1993; ISBN 978-0-08-092654-4. [Google Scholar]
- Zia, K.M.; Tabasum, S.; Nasif, M.; Sultan, N.; Aslam, N.; Noreen, A.; Zuber, M. A Review on Synthesis, Properties and Applications of Natural Polymer Based Carrageenan Blends and Composites. Int. J. Biol. Macromol. 2017, 96, 282–301. [Google Scholar] [CrossRef] [PubMed]
- Michel, A.-S.; Mestdagh, M.M.; Axelos, M.A.V. Physico-Chemical Properties of Carrageenan Gels in Presence of Various Cations. Int. J. Biol. Macromol. 1997, 21, 195–200. [Google Scholar] [CrossRef] [PubMed]
- Liu, F.; Hou, P.; Zhang, H.; Tang, Q.; Xue, C.; Li, R.W. Food-Grade Carrageenans and Their Implications in Health and Disease. Compr. Rev. Food Sci. Food Saf. 2021, 20, 3918–3936. [Google Scholar] [CrossRef]
- Núñez-Santiago, M.d.C.; Pérez-López, A.; Espinosa-Solares, T.; Nicolás-Vázquez, M.I.; Laureano-López, B. Sol-Gel Transition Diagram and Theoretical Study of κ-Carrageenan in the Presence of Calcium Ions. LWT 2023, 182, 114867. [Google Scholar] [CrossRef]
- Hu, B.; Hu, J.; Han, L.; Cao, J.; Nishinari, K.; Yang, J.; Fang, Y.; Li, D. Conformational Transition and Gelation of κ-Carrageenan in Electrostatic Complexation with β-Lactoglobulin Aggregates. Food Hydrocoll. 2021, 118, 106764. [Google Scholar] [CrossRef]
- Kanmani, P.; Rhim, J.-W. Development and Characterization of Carrageenan/Grapefruit Seed Extract Composite Films for Active Packaging. Int. J. Biol. Macromol. 2014, 68, 258–266. [Google Scholar] [CrossRef]
- Sanchez-Garcia, M.D.; Hilliou, L.; Lagaron, J.M. Nanobiocomposites of Carrageenan, Zein, and Mica of Interest in Food Packaging and Coating Applications. J. Agric. Food Chem. 2010, 58, 6884–6894. [Google Scholar] [CrossRef]
- Yadav, M.; Chiu, F.-C. Cellulose Nanocrystals Reinforced κ-Carrageenan Based UV Resistant Transparent Bionanocomposite Films for Sustainable Packaging Applications. Carbohydr. Polym. 2019, 211, 181–194. [Google Scholar] [CrossRef]
- Farhan, A.; Hani, N.M. Characterization of Edible Packaging Films Based on Semi-Refined Kappa-Carrageenan Plasticized with Glycerol and Sorbitol. Food Hydrocoll. 2017, 64, 48–58. [Google Scholar] [CrossRef]
- Paula, G.A.; Benevides, N.M.B.; Cunha, A.P.; de Oliveira, A.V.; Pinto, A.M.B.; Morais, J.P.S.; Azeredo, H.M.C. Development and Characterization of Edible Films from Mixtures of κ-Carrageenan, ι-Carrageenan, and Alginate. Food Hydrocoll. 2015, 47, 140–145. [Google Scholar] [CrossRef]
- Bassi, R.; Prasher, S.O.; Simpson, B.K. Removal of Selected Metal Ions from Aqueous Solutions Using Chitosan Flakes. Sep. Sci. Technol. 2000, 35, 547–560. [Google Scholar] [CrossRef]
- Chitin: Formation and Diagenesis; Gupta, N. S., Ed.; Topics in Geobiology; Springer: Dordrecht, The Netherlands, 2011; Volume 34, ISBN 978-90-481-9683-8. [Google Scholar]
- Roberts, G.A.F. Structure of Chitin and Chitosan. In Chitin Chemistry; Roberts, G.A.F., Ed.; Macmillan Education UK: London, 1992; pp. 1–53. ISBN 978-1-349-11545-7. [Google Scholar]
- Fernandez-Saiz, P. 20 - Chitosan Polysaccharide in Food Packaging Applications. In Multifunctional and Nanoreinforced Polymers for Food Packaging; Lagarón, J.-M., Ed.; Woodhead Publishing, 2011; pp. 571–593 ISBN 978-1-84569-738-9.
- Tual, C.; Espuche, E.; Escoubes, M.; Domard, A. Transport Properties of Chitosan Membranes: Influence of Crosslinking. J. Polym. Sci. Part B Polym. Phys. 2000, 38, 1521–1529. [Google Scholar] [CrossRef]
- Suyatma, N.E.; Copinet, A.; Tighzert, L.; Coma, V. Mechanical and Barrier Properties of Biodegradable Films Made from Chitosan and Poly (Lactic Acid) Blends. J. Polym. Environ. 2004, 12, 1–6. [Google Scholar] [CrossRef]
- Liu, X.; Xu, Y.; Liao, W.; Guo, C.; Gan, M.; Wang, Q. Preparation and Characterization of Chitosan/Bacterial Cellulose Composite Biodegradable Films Combined with Curcumin and Its Application on Preservation of Strawberries. Food Packag. Shelf Life 2023, 35, 101006. [Google Scholar] [CrossRef]
- Bangyekan, C.; Aht-Ong, D.; Srikulkit, K. Preparation and Properties Evaluation of Chitosan-Coated Cassava Starch Films. Carbohydr. Polym. 2006, 63, 61–71. [Google Scholar] [CrossRef]
- Ferreira, A.R.V.; Alves, V.D.; Coelhoso, I.M. Polysaccharide-Based Membranes in Food Packaging Applications. Membranes 2016, 6, 22. [Google Scholar] [CrossRef] [PubMed]
- Sanuja, S.; Agalya, A.; Umapathy, M.J. Synthesis and Characterization of Zinc Oxide–Neem Oil–Chitosan Bionanocomposite for Food Packaging Application. Int. J. Biol. Macromol. 2015, 74, 76–84. [Google Scholar] [CrossRef]
- Surendhiran, D.; Roy, V.C.; Park, J.-S.; Chun, B.-S. Fabrication of Chitosan-Based Food Packaging Film Impregnated with Turmeric Essential Oil (TEO)-Loaded Magnetic-Silica Nanocomposites for Surimi Preservation. Int. J. Biol. Macromol. 2022, 203, 650–660. [Google Scholar] [CrossRef]
- Singhi, H.; Kumar, L.; Sarkar, P.; Gaikwad, K.K. Chitosan Based Antioxidant Biofilm with Waste Citrus Limetta Pomace Extract and Impregnated with Halloysite Nanotubes for Food Packaging. J. Food Meas. Charact. 2023, 17, 2741–2754. [Google Scholar] [CrossRef]
- Saberi Riseh, R.; Vatankhah, M.; Hassanisaadi, M.; Kennedy, J.F. Chitosan-Based Nanocomposites as Coatings and Packaging Materials for the Postharvest Improvement of Agricultural Product: A Review. Carbohydr. Polym. 2023, 309, 120666. [Google Scholar] [CrossRef] [PubMed]
- Sze, J.H.; Brownlie, J.C.; Love, C.A. Biotechnological Production of Hyaluronic Acid: A Mini Review. 3 Biotech 2016, 6, 67. [Google Scholar] [CrossRef] [PubMed]
- Abatangelo, G.; Vindigni, V.; Avruscio, G.; Pandis, L.; Brun, P. Hyaluronic Acid: Redefining Its Role. Cells 2020, 9, 1743. [Google Scholar] [CrossRef] [PubMed]
- Graça, M.F.P.; Miguel, S.P.; Cabral, C.S.D.; Correia, I.J. Hyaluronic Acid—Based Wound Dressings: A Review. Carbohydr. Polym. 2020, 241, 116364. [Google Scholar] [CrossRef] [PubMed]
- Burdick, J.A.; Prestwich, G.D. Hyaluronic Acid Hydrogels for Biomedical Applications. Adv. Mater. 2011, 23, H41–H56. [Google Scholar] [CrossRef]
- Necas, J.; Bartosikova, L.; Brauner, P.; Kolar, J. Hyaluronic Acid (Hyaluronan): A Review. Veterinární Medicína 2008, 53, 397–411. [Google Scholar] [CrossRef]
- Bai, H.; Sun, Y.; Xu, J.; Dong, W.; Liu, X. Rheological and Structural Characterization of HA/PVA-SbQ Composites Film-Forming Solutions and Resulting Films as Affected by UV Irradiation Time. Carbohydr. Polym. 2015, 115, 422–431. [Google Scholar] [CrossRef]
- Cheng, F.; Yu, H.; Stephanopoulos, G. Engineering Corynebacterium Glutamicum for High-Titer Biosynthesis of Hyaluronic Acid. Metab. Eng. 2019, 55, 276–289. [Google Scholar] [CrossRef]
- Qiu, Y.; Ma, Y.; Huang, Y.; Li, S.; Xu, H.; Su, E. Current Advances in the Biosynthesis of Hyaluronic Acid with Variable Molecular Weights. Carbohydr. Polym. 2021, 269, 118320. [Google Scholar] [CrossRef]
- Liu, L.; Liu, Y.; Li, J.; Du, G.; Chen, J. Microbial Production of Hyaluronic Acid: Current State, Challenges, and Perspectives. Microb. Cell Factories 2011, 10, 99. [Google Scholar] [CrossRef]
- Hoffmann, J.; Altenbuchner, J. Hyaluronic Acid Production with Corynebacterium Glutamicum: Effect of Media Composition on Yield and Molecular Weight. J. Appl. Microbiol. 2014, 117, 663–678. [Google Scholar] [CrossRef] [PubMed]
- Fakhari, A.; Berkland, C. Applications and Emerging Trends of Hyaluronic Acid in Tissue Engineering, as a Dermal Filler, and in Osteoarthritis Treatment. Acta Biomater. 2013, 9, 7081–7092. [Google Scholar] [CrossRef] [PubMed]
- Price, R.D.; Berry, M.G.; Navsaria, H.A. Hyaluronic Acid: The Scientific and Clinical Evidence. J. Plast. Reconstr. Aesthetic Surg. JPRAS 2007, 60, 1110–1119. [Google Scholar] [CrossRef] [PubMed]
- Jackson, J.K.; Skinner, K.C.; Burgess, L.; Sun, T.; Hunter, W.L.; Burt, H.M. Paclitaxel-Loaded Crosslinked Hyaluronic Acid Films for the Prevention of Postsurgical Adhesions. Pharm. Res. 2002, 19, 411–417. [Google Scholar] [CrossRef] [PubMed]
- Luo, Y.; Kirker, K.R.; Prestwich, G.D. Cross-Linked Hyaluronic Acid Hydrogel Films: New Biomaterials for Drug Delivery. J. Controlled Release 2000, 69, 169–184. [Google Scholar] [CrossRef]
- Tomihata, K.; Ikada, Y. Preparation of Cross-Linked Hyaluronic Acid Films of Low Water Content. Biomaterials 1997, 18, 189–195. [Google Scholar] [CrossRef]
- Varma, R.; Varma, R.S.; Allen, W.S.; Wardi, A.H. Human Umbilical Cord Hyaluronate Neutral Sugar Content and Carbohydrate-Protein Linkage Studies. Biochim. Biophys. Acta BBA - Gen. Subj. 1975, 399, 139–144. [Google Scholar] [CrossRef]
- Fan, Z.; Hao, Y.; Wang, Y.; Hu, X.; Li, T. Characterisation of Hyaluronic Acid-Curcumin-Cellulose Nanofibre Composite Film and Application in Egg Preservation. Int. J. Food Sci. Technol. n/a. [CrossRef]
- Bionanocomposites for Packaging Applications; Jawaid, M. , Swain, S.K., Eds.; Springer International Publishing: Cham, 2018; ISBN 978-3-319-67318-9. [Google Scholar]
- Asgher, M.; Qamar, S.A.; Bilal, M.; Iqbal, H.M.N. Bio-Based Active Food Packaging Materials: Sustainable Alternative to Conventional Petrochemical-Based Packaging Materials. Food Res. Int. 2020, 137, 109625. [Google Scholar] [CrossRef]
- Lin, L.; Wu, J.; Li, C.; Chen, X.; Cui, H. Fabrication of a Dual-Response Intelligent Antibacterial Nanofiber and Its Application in Beef Preservation. LWT 2022, 154, 112606. [Google Scholar] [CrossRef]
- Pan, N.C.; Bersaneti, G.T.; Mali, S.; Celligoi, M.A.P.C. Films Based on Blends of Polyvinyl Alcohol and Microbial Hyaluronic Acid. Braz. Arch. Biol. Technol. 2020, 63. [Google Scholar] [CrossRef]
- Picart, C.; Lavalle, P.; Hubert, P.; Cuisinier, F.J.G.; Decher, G.; Schaaf, P.; Voegel, J.-C. Buildup Mechanism for Poly(l-Lysine)/Hyaluronic Acid Films onto a Solid Surface. Langmuir 2001, 17, 7414–7424. [Google Scholar] [CrossRef]
- Mohamed, S.A.A.; El-Sakhawy, M.; Nashy, E.-S.H.A.; Othman, A.M. Novel Natural Composite Films as Packaging Materials with Enhanced Properties. Int. J. Biol. Macromol. 2019, 136, 774–784. [Google Scholar] [CrossRef] [PubMed]
- Dede, S.; Sadak, O.; Didin, M.; Gunasekaran, S. Antimicrobial Food Packaging Application of Angelica Root (Angelica Sylvestris) Oil-Loaded Electrospun Biofibers. Food Packag. Shelf Life 2023, 35, 101035. [Google Scholar] [CrossRef]
- Chandrasekaran, R.; Radha, A. Molecular Architectures and Functional Properties of Gellan Gum and Related Polysaccharides. Trends Food Sci. Technol. 1995, 6, 143–148. [Google Scholar] [CrossRef]
- Giavasis, I.; Harvey, L.M.; McNeil, B. Gellan Gum. Crit. Rev. Biotechnol. 2000, 20, 177–211. [Google Scholar] [CrossRef] [PubMed]
- Oliveira, J.T.; Martins, L.; Picciochi, R.; Malafaya, P.B.; Sousa, R.A.; Neves, N.M.; Mano, J.F.; Reis, R.L. Gellan Gum: A New Biomaterial for Cartilage Tissue Engineering Applications. J. Biomed. Mater. Res. A 2010, 93A, 852–863. [Google Scholar] [CrossRef] [PubMed]
- Sworn, G. 9 - Gellan Gum. In Handbook of Hydrocolloids (Second Edition); Phillips, G.O., Williams, P.A., Eds.; Woodhead Publishing Series in Food Science, Technology and Nutrition; Woodhead Publishing, 2009; pp. 204–227 ISBN 978-1-84569-414-2.
- Bajaj, I.B.; Survase, S.A.; Saudagar, P.S.; Singhal, R.S. Gellan Gum: Fermentative Production, Downstream Processing and Applications. Food Technol. Biotechnol. 2007, 45, 341–354. [Google Scholar]
- Osmałek, T.; Froelich, A.; Tasarek, S. Application of Gellan Gum in Pharmacy and Medicine. Int. J. Pharm. 2014, 466, 328–340. [Google Scholar] [CrossRef]
- Quinn, F.X.; Hatakeyama, T.; Yoshida, H.; Takahashi, M.; Hatakeyama, H. The Conformational Properties of Gellan Gum Hydrogels. Polym. Gels Netw. 1993, 1, 93–114. [Google Scholar] [CrossRef]
- Grasdalen, H.; Smidsrød, O. Gelation of Gellan Gum. Carbohydr. Polym. 1987, 7, 371–393. [Google Scholar] [CrossRef]
- Ogawa, E.; Takahashi, R.; Yajima, H.; Nishinari, K. Effects of Molar Mass on the Coil to Helix Transition of Sodium-Type Gellan Gums in Aqueous Solutions. Food Hydrocoll. 2006, 20, 378–385. [Google Scholar] [CrossRef]
- Deasy, P.B.; Quigley, K.J. Rheological Evaluation of Deacetylated Gellan Gum (Gelrite) for Pharmaceutical Use. Int. J. Pharm. 1991, 73, 117–123. [Google Scholar] [CrossRef]
- Mirón-Mérida, V.A.; Yáñez-Fernández, J.; Montañez-Barragán, B.; Barragán Huerta, B.E. Valorization of Coffee Parchment Waste (Coffea Arabica) as a Source of Caffeine and Phenolic Compounds in Antifungal Gellan Gum Films. LWT 2019, 101, 167–174. [Google Scholar] [CrossRef]
- Wu, L.-T.; Tsai, I.-L.; Ho, Y.-C.; Hang, Y.-H.; Lin, C.; Tsai, M.-L.; Mi, F.-L. Active and Intelligent Gellan Gum-Based Packaging Films for Controlling Anthocyanins Release and Monitoring Food Freshness. Carbohydr. Polym. 2021, 254, 117410. [Google Scholar] [CrossRef] [PubMed]
- Zhai, X.; Li, Z.; Shi, J.; Huang, X.; Sun, Z.; Zhang, D.; Zou, X.; Sun, Y.; Zhang, J.; Holmes, M.; et al. A Colorimetric Hydrogen Sulfide Sensor Based on Gellan Gum-Silver Nanoparticles Bionanocomposite for Monitoring of Meat Spoilage in Intelligent Packaging. Food Chem. 2019, 290, 135–143. [Google Scholar] [CrossRef]
- Rukmanikrishnan, B.; Ramalingam, S.; Rajasekharan, S.K.; Lee, J.; Lee, J. Binary and Ternary Sustainable Composites of Gellan Gum, Hydroxyethyl Cellulose and Lignin for Food Packaging Applications: Biocompatibility, Antioxidant Activity, UV and Water Barrier Properties. Int. J. Biol. Macromol. 2020, 153, 55–62. [Google Scholar] [CrossRef]
- Xu, X.; Li, B.; Kennedy, J.F.; Xie, B.J.; Huang, M. Characterization of Konjac Glucomannan–Gellan Gum Blend Films and Their Suitability for Release of Nisin Incorporated Therein. Carbohydr. Polym. 2007, 70, 192–197. [Google Scholar] [CrossRef]
- Zia, K.M.; Tabasum, S.; Khan, M.F.; Akram, N.; Akhter, N.; Noreen, A.; Zuber, M. Recent Trends on Gellan Gum Blends with Natural and Synthetic Polymers: A Review. Int. J. Biol. Macromol. 2018, 109, 1068–1087. [Google Scholar] [CrossRef]
- Katzbauer, B. Properties and Applications of Xanthan Gum. Polym. Degrad. Stab. 1998, 59, 81–84. [Google Scholar] [CrossRef]
- Sworn, G. Xanthan Gum – Functionality and Application. In Practical Food Rheology; John Wiley & Sons, Ltd, 2011; pp. 85–112 ISBN 978-1-4443-9106-0.
- Hu, X.; Wang, K.; Yu, M.; He, P.; Qiao, H.; Zhang, H.; Wang, Z. Characterization and Antioxidant Activity of a Low-Molecular-Weight Xanthan Gum. Biomolecules 2019, 9, 730. [Google Scholar] [CrossRef]
- Sanderson, G.R. Applications of Xanthan Gum. Br. Polym. J. 1981, 13, 71–75. [Google Scholar] [CrossRef]
- Garcı́a-Ochoa, F.; Santos, V.E.; Casas, J.A.; Gómez, E. Xanthan Gum: Production, Recovery, and Properties. Biotechnol. Adv. 2000, 18, 549–579. [Google Scholar] [CrossRef] [PubMed]
- Brunchi, C.-E.; Morariu, S.; Bercea, M. Intrinsic Viscosity and Conformational Parameters of Xanthan in Aqueous Solutions: Salt Addition Effect. Colloids Surf. B Biointerfaces 2014, 122, 512–519. [Google Scholar] [CrossRef] [PubMed]
- Zhong, L.; Oostrom, M.; Truex, M.J.; Vermeul, V.R.; Szecsody, J.E. Rheological Behavior of Xanthan Gum Solution Related to Shear Thinning Fluid Delivery for Subsurface Remediation. J. Hazard. Mater. 2013, 244–245, 160–170. [Google Scholar] [CrossRef] [PubMed]
- Feng, E.; Ma, G.; Wu, Y.; Wang, H.; Lei, Z. Preparation and Properties of Organic–Inorganic Composite Superabsorbent Based on Xanthan Gum and Loess. Carbohydr. Polym. 2014, 111, 463–468. [Google Scholar] [CrossRef] [PubMed]
- Nguyen, T.X.; Huang, L.; Gauthier, M.; Yang, G.; Wang, Q. Recent Advances in Liposome Surface Modification for Oral Drug Delivery. Nanomed. 2016, 11, 1169–1185. [Google Scholar] [CrossRef]
- Soukupova, J.; Zboril, R.; Medrik, I.; Filip, J.; Safarova, K.; Ledl, R.; Mashlan, M.; Nosek, J.; Cernik, M. Highly Concentrated, Reactive and Stable Dispersion of Zero-Valent Iron Nanoparticles: Direct Surface Modification and Site Application. Chem. Eng. J. 2015, 262, 813–822. [Google Scholar] [CrossRef]
- Su, L.; Ji, W.K.; Lan, W.Z.; Dong, X.Q. Chemical Modification of Xanthan Gum to Increase Dissolution Rate. Carbohydr. Polym. 2003, 53, 497–499. [Google Scholar] [CrossRef]
- Nur Hazirah, M.A.S.P.; Isa, M.I.N.; Sarbon, N.M. Effect of Xanthan Gum on the Physical and Mechanical Properties of Gelatin-Carboxymethyl Cellulose Film Blends. Food Packag. Shelf Life 2016, 9, 55–63. [Google Scholar] [CrossRef]
- Pai, V.B.; Khan, S.A. Gelation and Rheology of Xanthan/Enzyme-Modified Guar Blends. Carbohydr. Polym. 2002, 49, 207–216. [Google Scholar] [CrossRef]
- Veiga-Santos, P.; Oliveira, L.M.; Cereda, M.P.; Alves, A.J.; Scamparini, A.R.P. Mechanical Properties, Hydrophilicity and Water Activity of Starch-Gum Films: Effect of Additives and Deacetylated Xanthan Gum. Food Hydrocoll. 2005, 19, 341–349. [Google Scholar] [CrossRef]
- Wang, L.; Schiraldi, D.A.; Sánchez-Soto, M. Foamlike Xanthan Gum/Clay Aerogel Composites and Tailoring Properties by Blending with Agar. Ind. Eng. Chem. Res. 2014, 53, 7680–7687. [Google Scholar] [CrossRef]
- Yavari Maroufi, L.; Norouzi, R.; Ramezani, S.; Ghorbani, M. Novel Electrospun Nanofibers Based on Gelatin/Oxidized Xanthan Gum Containing Propolis Reinforced by Schiff Base Cross-Linking for Food Packaging. Food Chem. 2023, 416, 135806. [Google Scholar] [CrossRef] [PubMed]
- Julianti, E.; Rusmarilin, H.; Ridwansyah; Yusraini, E. Functional and Rheological Properties of Composite Flour from Sweet Potato, Maize, Soybean and Xanthan Gum. J. Saudi Soc. Agric. Sci. 2017, 16, 171–177. [Google Scholar] [CrossRef]
- Peng, X.; Xu, F.; Zhang, W.; Wang, J.; Zeng, C.; Niu, M.; Chmielewská, E. Magnetic Fe3O4 @ Silica–Xanthan Gum Composites for Aqueous Removal and Recovery of Pb2+. Colloids Surf. Physicochem. Eng. Asp. 2014, 443, 27–36. [Google Scholar] [CrossRef]
- Zhang, S.; Xu, F.; Wang, Y.; Zhang, W.; Peng, X.; Pepe, F. Silica Modified Calcium Alginate–Xanthan Gum Hybrid Bead Composites for the Removal and Recovery of Pb(II) from Aqueous Solution. Chem. Eng. J. 2013, 234, 33–42. [Google Scholar] [CrossRef]
- Meydanju, N.; Pirsa, S.; Farzi, J. Biodegradable Film Based on Lemon Peel Powder Containing Xanthan Gum and TiO2–Ag Nanoparticles: Investigation of Physicochemical and Antibacterial Properties. Polym. Test. 2022, 106, 107445. [Google Scholar] [CrossRef]
- Yang, J.; Fan, Y.; Cui, J.; Yang, L.; Su, H.; Yang, P.; Pan, J. Colorimetric Films Based on Pectin/Sodium Alginate/Xanthan Gum Incorporated with Raspberry Pomace Extract for Monitoring Protein-Rich Food Freshness. Int. J. Biol. Macromol. 2021, 185, 959–965. [Google Scholar] [CrossRef]
- Fan, Y.; Yang, J.; Duan, A.; Li, X. Pectin/Sodium Alginate/Xanthan Gum Edible Composite Films as the Fresh-Cut Package. Int. J. Biol. Macromol. 2021, 181, 1003–1009. [Google Scholar] [CrossRef]
- Chen, J.; Zheng, M.; Tan, K.B.; Lin, J.; Chen, M.; Zhu, Y. Development of Xanthan Gum/Hydroxypropyl Methyl Cellulose Composite Films Incorporating Tea Polyphenol and Its Application on Fresh-Cut Green Bell Peppers Preservation. Int. J. Biol. Macromol. 2022, 211, 198–206. [Google Scholar] [CrossRef]
- Lima, M.d.M.; Carneiro, L.C.; Machado, M.R.G.; Dias, A.R.G.; Zavareze, E. da R.; Prentice, C.; Moreira, A. da S. Application of Films Based on Chitosan and Xanthan Gum in Refrigerated Fish Conservation. Braz. Arch. Biol. Technol. 2020, 63, e20190046. [Google Scholar] [CrossRef]
- Lara, G.; Yakoubi, S.; Villacorta, C.M.; Uemura, K.; Kobayashi, I.; Takahashi, C.; Nakajima, M.; Neves, M.A. Spray Technology Applications of Xanthan Gum-Based Edible Coatings for Fresh-Cut Lotus Root (Nelumbo Nucifera). Food Res. Int. 2020, 137, 109723. [Google Scholar] [CrossRef] [PubMed]
- Fabra, M.J.; López-Rubio, A.; Lagaron, J.M. 15 - Biopolymers for Food Packaging Applications. In Smart Polymers and their Applications; Aguilar, M.R., San Román, J., Eds.; Woodhead Publishing, 2014; pp. 476–509 ISBN 978-0-85709-695-1.
- Grujić, R.; Vujadinović, D.; Savanović, D. Biopolymers as Food Packaging Materials. In Advances in Applications of Industrial Biomaterials; Pellicer, E., Nikolic, D., Sort, J., Baró, M., Zivic, F., Grujovic, N., Grujic, R., Pelemis, S., Eds.; Springer International Publishing: Cham, 2017; ISBN 978-3-319-62767-0. [Google Scholar]
- Thivya, P.; Bhanu Prakash Reddy, N.; Bhosale Yuvraj, K.; Sinija, V.R. Recent Advances and Perspectives for Effective Utilization of Onion Solid Waste in Food Packaging: A Critical Review. Rev. Environ. Sci. Biotechnol. 2023, 22, 29–53. [Google Scholar] [CrossRef]
- Souza, A.C.; Benze, R.; Ferrão, E.S.; Ditchfield, C.; Coelho, A.C.V.; Tadini, C.C. Cassava Starch Biodegradable Films: Influence of Glycerol and Clay Nanoparticles Content on Tensile and Barrier Properties and Glass Transition Temperature. LWT - Food Sci. Technol. 2012, 46, 110–117. [Google Scholar] [CrossRef]
- Avella, M.; De Vlieger, J.J.; Errico, M.E.; Fischer, S.; Vacca, P.; Volpe, M.G. Biodegradable Starch/Clay Nanocomposite Films for Food Packaging Applications. Food Chem. 2005, 93, 467–474. [Google Scholar] [CrossRef]
- Wilpiszewska, K.; Antosik, A.K.; Zdanowicz, M. The Effect of Citric Acid on Physicochemical Properties of Hydrophilic Carboxymethyl Starch-Based Films. J. Polym. Environ. 2019, 27, 1379–1387. [Google Scholar] [CrossRef]
- Fujisawa, S.; Okita, Y.; Fukuzumi, H.; Saito, T.; Isogai, A. Preparation and Characterization of TEMPO-Oxidized Cellulose Nanofibril Films with Free Carboxyl Groups. Carbohydr. Polym. 2011, 84, 579–583. [Google Scholar] [CrossRef]
- Fukuzumi, H.; Saito, T.; Iwata, T.; Kumamoto, Y.; Isogai, A. Transparent and High Gas Barrier Films of Cellulose Nanofibers Prepared by TEMPO-Mediated Oxidation. Biomacromolecules 2009, 10, 162–165. [Google Scholar] [CrossRef]
- Cen, C.; Wang, F.; Wang, Y.; Li, H.; Fu, L.; Li, Y.; Chen, J.; Wang, Y. Design and Characterization of an Antibacterial Film Composited by Hydroxyethyl Cellulose (HEC), Carboxymethyl Chitosan (CMCS), and Nano ZnO for Food Packaging. Int. J. Biol. Macromol. 2023, 231, 123203. [Google Scholar] [CrossRef]
- Celuppi, L.C.M.; Capelezzo, A.P.; Cima, L.B.; Zeferino, R.C.F.; Carniel, T.A.; Zanetti, M.; de Mello, J.M.M.; Fiori, M.A.; Riella, H.G. Microbiological, Thermal and Mechanical Performance of Cellulose Acetate Films with Geranyl Acetate. Int. J. Biol. Macromol. 2023, 228, 517–527. [Google Scholar] [CrossRef]
- Rhim, J.-W. Effect of PLA Lamination on Performance Characteristics of Agar/κ-Carrageenan/Clay Bio-Nanocomposite Film. Food Res. Int. 2013, 51, 714–722. [Google Scholar] [CrossRef]
- Rhim, J.-W. Physical and Mechanical Properties of Water Resistant Sodium Alginate Films. LWT - Food Sci. Technol. 2004, 37, 323–330. [Google Scholar] [CrossRef]
- De Carli, C.; Aylanc, V.; Mouffok, K.M.; Santamaria-Echart, A.; Barreiro, F.; Tomás, A.; Pereira, C.; Rodrigues, P.; Vilas-Boas, M.; Falcão, S.I. Production of Chitosan-Based Biodegradable Active Films Using Bio-Waste Enriched with Polyphenol Propolis Extract Envisaging Food Packaging Applications. Int. J. Biol. Macromol. 2022, 213, 486–497. [Google Scholar] [CrossRef]
- Ramos, Ó.L.; Pereira, R.N.; Cerqueira, M.A.; Martins, J.R.; Teixeira, J.A.; Malcata, F.X.; Vicente, A.A. Chapter 8 - Bio-Based Nanocomposites for Food Packaging and Their Effect in Food Quality and Safety. In Food Packaging and Preservation; Grumezescu, A.M., Holban, A.M., Eds.; Handbook of Food Bioengineering; Academic Press, 2018; pp. 271–306 ISBN 978-0-12-811516-9.
- Ferrari, F.; Striani, R.; Fico, D.; Alam, M.M.; Greco, A.; Esposito Corcione, C. An Overview on Wood Waste Valorization as Biopolymers and Biocomposites: Definition, Classification, Production, Properties and Applications. Polymers 2022, 14, 5519. [Google Scholar] [CrossRef] [PubMed]
- V. M, R.; Edison, L.K. Safety Issues, Environmental Impacts, and Health Effects of Biopolymers. In Handbook of Biopolymers; Thomas, S., AR, A., Jose Chirayil, C., Thomas, B., Eds.; Springer Nature: Singapore, 2022; pp. 1–27. ISBN 9789811666032. [Google Scholar]
- Shaikh, S.; Yaqoob, M.; Aggarwal, P. An Overview of Biodegradable Packaging in Food Industry. Curr. Res. Food Sci. 2021, 4, 503–520. [Google Scholar] [CrossRef] [PubMed]
- Zhao, Y.; Li, B.; Li, C.; Xu, Y.; Luo, Y.; Liang, D.; Huang, C. Comprehensive Review of Polysaccharide-Based Materials in Edible Packaging: A Sustainable Approach. Foods 2021, 10, 1845. [Google Scholar] [CrossRef]
- Vimala Bharathi, S.K.; Moses, J.A.; Anandharamakrishnan, C. Interaction Phenomena Between Packaging and Product. In Bio-based Materials for Food Packaging: Green and Sustainable Advanced Packaging Materials; Ahmed, S., Ed.; Springer: Singapore, 2018; pp. 33–56. ISBN 9789811319099. [Google Scholar]
- Cruz, R.M.S.; Krauter, V.; Krauter, S.; Agriopoulou, S.; Weinrich, R.; Herbes, C.; Scholten, P.B.V.; Uysal-Unalan, I.; Sogut, E.; Kopacic, S.; et al. Bioplastics for Food Packaging: Environmental Impact, Trends and Regulatory Aspects. Foods 2022, 11, 3087. [Google Scholar] [CrossRef]
- Pinto, L.; Bonifacio, M.A.; De Giglio, E.; Santovito, E.; Cometa, S.; Bevilacqua, A.; Baruzzi, F. Biopolymer Hybrid Materials: Development, Characterization, and Food Packaging Applications. Food Packag. Shelf Life 2021, 28, 100676. [Google Scholar] [CrossRef]
- Thiviya, P.; Gamage, A.; Manamperi, A.; Mani, S.; Madhujith, T. Biodegradation of Biopolymers: Reflections Towards Possible Biomagnification. In Handbook of Biopolymers; Thomas, S., AR, A., Jose Chirayil, C., Thomas, B., Eds.; Springer Nature: Singapore, 2022; pp. 1–44. ISBN 9789811666032. [Google Scholar]
- Jayan, H.; Moses, J.A.; Anandharamakrishnan, C. Testing Methods for Packaging Materials. In Bio-based Materials for Food Packaging: Green and Sustainable Advanced Packaging Materials; Ahmed, S., Ed.; Springer: Singapore, 2018; pp. 57–79. ISBN 9789811319099. [Google Scholar]
- Aleksanyan, K.V. Polysaccharides for Biodegradable Packaging Materials: Past, Present, and Future (Brief Review). Polymers 2023, 15, 451. [Google Scholar] [CrossRef]
- Satchanska, G.; Davidova, S.; Petrov, P.D. Natural and Synthetic Polymers for Biomedical and Environmental Applications. Polymers 2024, 16, 1159. [Google Scholar] [CrossRef]
- Sarkar, A.; Basumatary, F.; Brahma, S.; Das, B.; Basumatary, S. Recent developments on graphene oxide and its composite materials: From fundamentals to applications in biodiesel synthesis, adsorption, photocatalysis, supercapacitors, sensors and antimicrobial activity. Results in Surfaces and Interfaces 2024, 15, 100225. [Google Scholar] [CrossRef]
- Costa, A.; Encarnação, T.; Tavares, R.; Todo Bom, T.; Mateus, A. Bioplastics: Innovation for Green Transition. Polymers 2023, 15, 517. [Google Scholar] [CrossRef] [PubMed]
- Hossain, M.T.; Shahid, Md. A.; Akter, S.; Ferdous, J.; Afroz, K.; Refat, K. R. I.; Faruk, O.; Jamal, M.S.I.; Uddin, Md. N. Samad, Md. A. B. Cellulose and starch-based bioplastics: a review of advances and challenges for sustainability. Polymer-Plastics Technology and Materials 2024, 63(10), 1329–1349. [CrossRef]
- Di Bartolo, A.; Infurna, G.; Dintcheva, N.T. A Review of Bioplastics and Their Adoption in the Circular Economy. Polymers 2021, 13, 1229. [Google Scholar] [CrossRef] [PubMed]
- European Commission. A European Strategy for Plastics in a Circular Economy COM(2018) 28 Final; European Commission: Brussels, Belgium, 2018. [Google Scholar]
- Ekula, S.N.; Karahan, M.; Ari, A. Sustainable Approach to Plastics; Bioplastics. RECENT J. (2023), 69:029- 050. [CrossRef]
- Stasiškiene, Ž.; Barbir, J.; Draudviliene, L.; Chong, Z.K.; Kuchta, K.; Voronova, V.; Leal Filho, W. Challenges and Strategies for Bio-Based and Biodegradable Plastic Waste Management in Europe. Sustainability 2022, 14, 16476 https:// doiorg/103390/su142416476. [Google Scholar] [CrossRef]
- Jayakumar, A.; Radoor, S.; Siengchin, S.; Shin, G.H.; Kim, J.T. Recent progress of bioplastics in their properties, standards, certifications and regulations: A review. Total Environ. 2023, 878, 163156. [Google Scholar] [CrossRef]
- Vogli, L.; Macrelli, S.; Marazza, D.; Galletti, P.; Torri, C.; Samorì, C.; Righi, S. Life Cycle Assessment and Energy Balance of a Novel Polyhydroxyalkanoates Production Process with Mixed Microbial Cultures Fed on Pyrolytic Products of Wastewater Treatment Sludge Energies 2020, 13, 2706. [CrossRef]
- Shen, L.; Patel, M.K. Life Cycle Assessment of Polysaccharide Materials: A Review. J Polym Environ 2008, 16, 154–167. [Google Scholar] [CrossRef]









Disclaimer/Publisher’s Note: The statements, opinions and data contained in all publications are solely those of the individual author(s) and contributor(s) and not of MDPI and/or the editor(s). MDPI and/or the editor(s) disclaim responsibility for any injury to people or property resulting from any ideas, methods, instructions or products referred to in the content. |
© 2024 by the authors. Licensee MDPI, Basel, Switzerland. This article is an open access article distributed under the terms and conditions of the Creative Commons Attribution (CC BY) license (http://creativecommons.org/licenses/by/4.0/).
