Submitted:
05 September 2024
Posted:
06 September 2024
You are already at the latest version
Abstract
Keywords:
1. Introduction
2. Materials and Methods
2.1. Patients
2.2. Clinical and Serum Biochemical Analysis
2.3. Pulmonary Function Tests
2.4. Statistical Analysis
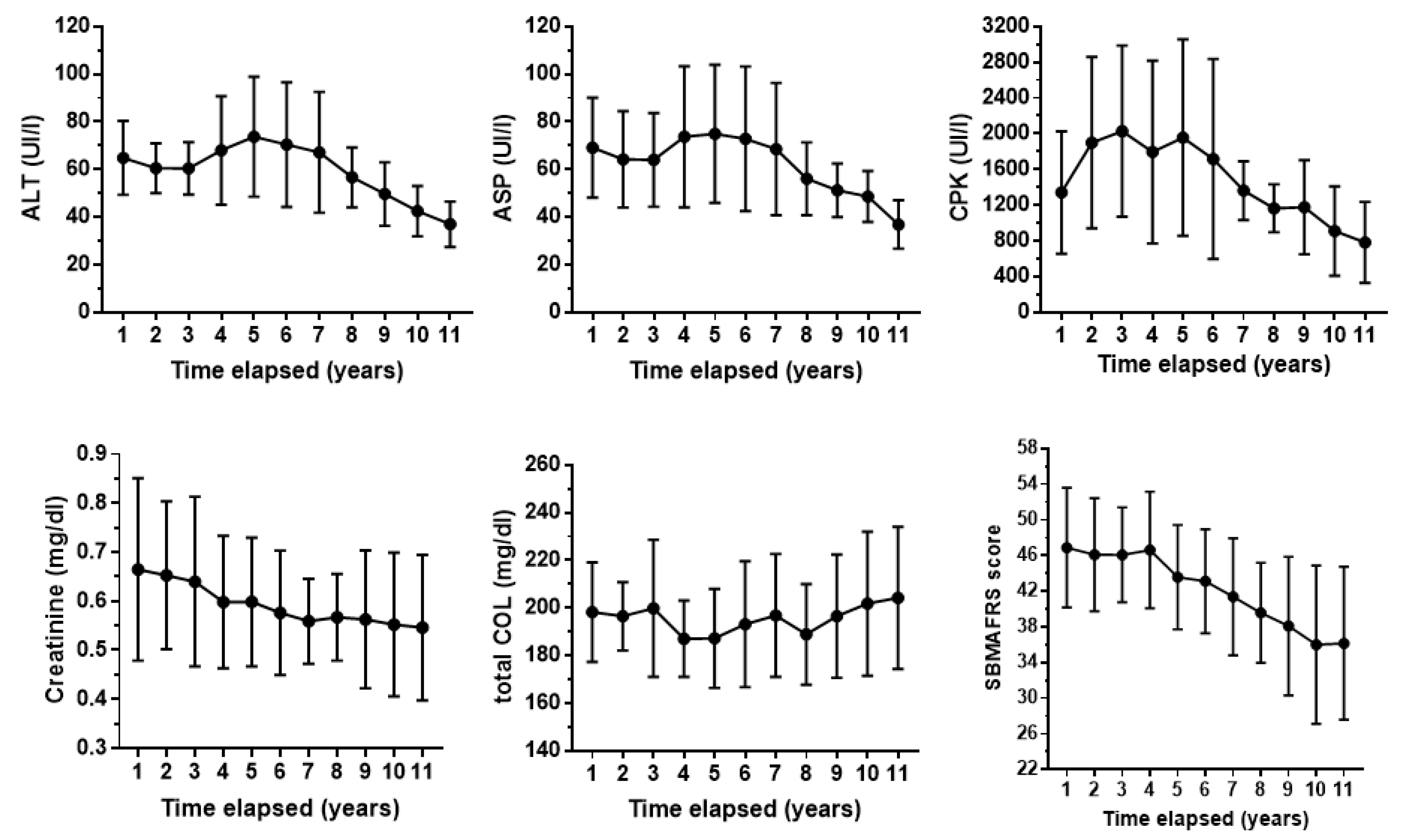
3. Results
4. Discussion
Author Contributions
Funding
Informed Consent Statement
Conflicts of Interest
References
- Kennedy, W.R.; Alter, M.; Sung, J.H. Progressive proximal spinal and bulbar muscular atrophy of late onset. A sex-linked recessive trait. Neurology 1968, 18, 671–680. [Google Scholar] [CrossRef] [PubMed]
- La Spada, A.R.; Wilson, E.M.; Lubahn, D.B.; Harding, A.E.; Fischbeck, K.H. Androgen receptor gene mutations in X-linked spinal and bulbar muscular atrophy. Nature 1991, 352, 77–79. [Google Scholar] [CrossRef] [PubMed]
- Manzano, R.; Sorarú, G.; Grunseich, C.; Fratta, P.; Zuccaro, E.; Pennuto, M.; Rinaldi, C. Beyond motor neurons: expanding the clinical spectrum in Kennedy's disease. J. Neurol. Neurosurg. Psychiatry 2018, 89, 808–812. [Google Scholar] [CrossRef] [PubMed]
- Atsuta, N.; Watanabe, H.; Ito, M.; Banno, H.; Suzuki, K.; Katsuno, M.; Tanaka, F.; Tamakoshi, A.; Sobue, G. Natural history of spinal and bulbar muscular atrophy (SBMA): a study of 223 Japanese patients. Brain 2006, 129, 1446–1455. [Google Scholar] [CrossRef] [PubMed]
- Hashizume, A.; Katsuno, M.; Suzuki, K.; Hirakawa, A.; Hijikata, Y.; Yamada, S.; Inagaki, T.; Banno, H.; Sobue, G. Long-term treatment with leuprorelin for spinal and bulbar muscular atrophy: natural history-controlled study. J. Neurol. Neurosurg. Psychiatry. 2017, 88, 1026–1032. [Google Scholar] [CrossRef]
- Yamada, S.; Hashizume, A.; Hijikata, Y.; Inagaki, T.; Suzuki, K.; Kondo, N.; Kawai, K.; Noda, S.; Nakanishi, H.; Banno, H.; Hirakawa, A.; Koike, H.; Halievski, K.; Jordan, C.L.; Katsuno, M.; Sobue, G. Decreased Peak Expiratory Flow Associated with Muscle Fiber-Type Switching in Spinal and Bulbar Muscular Atrophy. PLoS One. 2016, 11, e0168846. [Google Scholar] [CrossRef]
- Hashizume, A.; Katsuno, M.; Suzuki, K.; Banno, H.; Suga, N.; Mano, T.; Araki, A.; Hijikata, Y.; Grunseich, C.; Kokkinis, A.; Hirakawa, A.; Watanabe, H.; Yamamoto, M.; Fischbeck, K.H.; Sobue, G. A functional scale for spinal and bulbar muscular atrophy: Cross-sectional and longitudinal study. Neuromuscul. Disord. 2015, 25, 554–62. [Google Scholar] [CrossRef]
- Querin, G.; DaRe, E.; Martinelli, I.; Bello, L.; Bertolin, C.; Pareyson, D.; Mariotti, C.; Pegoraro, E.; Sorarù, G. Validation of the Italian version of the SBMA Functional Rating Scale as outcome measure. Neurol. Sci. 2016, 37, 1815–1821. [Google Scholar] [CrossRef]
- Miller, M.R.; Hankinson, J.; Brusasco, V.; Burgos, F.; Casaburi, R.; Coates, A.; Crapo, R.; Enright, P.; van der Grinten, C.P.; Gustafsson, P.; Jensen, R.; Johnson, D.C.; MacIntyre, N.; McKay, R.; Navajas, D.; Pedersen, O.F.; Pellegrino, R.; Viegi, G.; Wanger, J.; ATS/ERS Task Force. Standardisation of spirometry. Eur. Respir. J. 2005, 26, 319–38. [Google Scholar] [CrossRef]
- American Thoracic Society/European Respiratory Society ATS/ERS Statement on respiratory muscle testing. Am. J. Respir. Crit. Care Med. 2002, 66, 518–624.
- Quanjer, P.H.; Stanojevic, S.; Cole, T.J.; Baur, X.; Hall, G.L.; Culver, B.H.; Enright, P.L.; Hankinson, J.L.; Ip, M.S.; Zheng, J.; Stocks, J. Multi-ethnic reference values for spirometry for the 3-95-yr age range: the global lung function 2012 equations. Eur. Respir. J. 2012, 40, 1324–1343. [Google Scholar] [CrossRef] [PubMed]
- Wilson, S.H.; Cooke, N.T.; Edwards, R.H.; Spiro, S.G. Predicted normal values for maximal respiratory pressures in caucasian adults and children. Thorax 1984, 39, 535–538. [Google Scholar] [CrossRef] [PubMed]
- Prell, T.; Ringer, T.M.; Wullenkord, K.; Garrison, P.; Gunkel, A.; Stubendorff, B.; Witte, O.W.; Grosskreutz, J. Assessment of pulmonary function in amyotrophic lateral sclerosis: when can polygraphy help evaluate the need for non-invasive ventilation? J. Neurol. Neurosurg. Psychiatry. 2016, 87, 1022–1026. [Google Scholar] [CrossRef] [PubMed]
- Bellai, D.J.; Rae, M.G. A systematic review of the association between the age of onset of spinal bulbar muscular atrophy (Kennedy's disease) and the length of CAG repeats in the androgen receptor gene. eNeurologicalSci. 2024, 34, 100495. [Google Scholar] [CrossRef]
- Pierce, R. Spirometry: an essential clinical measurement. Aust. Fam. Physician. 2005, 34, 535–539. [Google Scholar]
- Boentert, M.; Wenninger, S.; Sansone, V.A. Respiratory involvement in neuromuscular disorders. Current Opinion in Neurology. 2017, 30, 529–537. [Google Scholar] [CrossRef]
- Pirola, A.; De Mattia, E.; Lizio, A.; Sannicolò, G.; Carraro, E.; Rao, F.; Sansone, V.; Lunetta, C. The prognostic value of spirometric tests in Amyotrophic Lateral Sclerosis patients. Clin. Neurol. Neurosurg. 2019, 184, 105456. [Google Scholar] [CrossRef]
- Cattapan, S.E.; Laghi, F.; Tobin, M.J. Can diaphragmatic contractility be assessed by airway twitch pressure in mechanically ventilated patients? Thorax 2003, 58, 58–62. [Google Scholar] [CrossRef]
- Tilanus, T.B.M.; Groothuis, J.T; TenBroek-Pastoor, J.M.C.; Feuth, T.B.; Heijdra, Y.F.; Slenders, J.P.L.; Doorduin, J.; Van Engelen, B.G.; Kampelmacher, M.J.; Raaphorst, J. The predictive value of respiratory function tests for non-invasive ventilation in amyotrophic lateral sclerosis. Respir. Res. 2017, 18, 144. [Google Scholar] [CrossRef]
- De Troyer, A.; Borenstein, S.; Cordier, R. Analysis of lung volume restriction in patients with respiratory muscle weakness. Thorax. 1980, 35, 603–610. [Google Scholar] [CrossRef]
- Wenninger, S.; Stahl, K.; Wirner, C.; Einvag, K.; Thiele, S.; Walter, M.C.; Schoser, B. Utility of maximum inspiratory and expiratory pressures as a screening method for respiratory insufficiency in slowly progressive neuromuscular disorders. Neuromuscul. Disord. 2020, 30, 640–648. [Google Scholar] [CrossRef] [PubMed]
- Hijikata, Y.; Katsuno, M.; Suzuki, K.; Hashizume, A.; Araki, A.; Yamada, S.; Inagaki, T.; Iida, M.; Noda, S.; Nakanishi, H.; Banno, H.; Mano, T.; Hirakawa, A.; Adachi, H.; Watanabe, H.; Yamamoto, M.; Sobue, G. Impaired muscle uptake of creatine in spinal and bulbar muscular atrophy. Ann. Clin. Transl. Neurol. 2016, 3, 537–546. [Google Scholar] [CrossRef] [PubMed]
- Hijikata, Y.; Hashizume, A.; Yamada, S.; Inagaki, T.; Ito, D.; Hirakawa, A.; Suzuki, K.; Atsuta, N.; Tsuboi, T.; Hattori, M.; Hori, A.; Banno, H.; Sobue, G.; Katsuno, M. Biomarker-based analysis of preclinical progression in spinal and bulbar muscular atrophy. Neurology 2018, 90, e1501–e1509. [Google Scholar] [CrossRef] [PubMed]
- Hashizume, A.; Katsuno, M.; Banno, H.; Suzuki, K.; Suga, N.; Mano, T.; Atsuta, N.; Oe, H.; Watanabe, H.; Tanaka, F.; Sobue, G. Longitudinal changes of outcome measures in spinal and bulbar muscular atrophy. Brain J. Neurol. 2012, 135, 2838–2848. [Google Scholar] [CrossRef]
- Dahlqvist, J.R.; Fornander, F.; de Stricker Borch, J.; Oestergaard, S.T.; Poulsen, N.S.; Vissing, J. Disease progression and outcome measures in spinobulbar muscular atrophy. Ann. Neurol. 2018, 84, 754–765. [Google Scholar] [CrossRef]
- Blasi, L.; Sabbatini, D.; Fortuna, A.; Querin, G.; Martinelli, I.; Vianello, S.; Bertolin, C.; Pareyson, D.; Pennuto, M.; Pegoraro, E.; Bello, L.; Sorarù, G. The value of serum creatinine as biomarker of disease progression in spinal and bulbar muscular atrophy (SBMA). Sci. Rep. 2023, 13, 17311. [Google Scholar] [CrossRef]
- Lombardi, V.; Querin, G.; Ziff, O.J.; Zampedri, L.; Martinelli, I.; Heller, C.; Foiani, M.; Bertolin, C.; Lu, C.H.; Malik, B.; Allen, K.; Rinaldi, C.; Zetterberg, H.; Heslegrave, A.; Greensmith, L.; Hanna, M.; Soraru, G.; Malaspina, A.; Fratta, P. Muscle and not neuronal biomarkers correlate with severity in spinal and bulbar muscular atrophy. Neurology 2019, 92, e1205–e1211. [Google Scholar] [CrossRef]


| CPK (UI/l) | Myoglobin (ng/ml) | ASP (UI/l) | ALT (UI/l) | GGT (UI/l) | APh UI/l | Bilirubin (mg/dl) | Creatinine (mg/dl) | HbA1c % | Cholesterol (mg/dl) | Triglicerides (mg/dl) | Uric Acid (mg/dl) | |
|---|---|---|---|---|---|---|---|---|---|---|---|---|
| Mean ±SD | 1435±877 | 387±215 | 59.55±23 | 62.68±26 | 19.8±7.5 | 51.04±14 | 0.46±0.17 | 0.6±0.14 | 5.5±0.4 | 200.6±29 | 121±45 | 5.2±0.9 |
| Range | 331-4557 | 87-1152 | 23-124 | 26-128 | 8-42 | 22-101 | 0.13±0.9 | 0.33±0.99 | 4-6.2 | 145-295 | 43-227 | 2.8-6.8 |
| Reference values | 10-170 | 26-72 | 0-40 | 0-40 | 5-36 | 35-105 | <0.15 | 0.50-1.1 | 4-6 % | <190 | <150 | 3.4-7 |
| no. of Pt interested | 9 (100%) | 9 (100%) | 9 (100%) | 9 (100%) | 1 (11%) | 0 | 0 | 5 (55.5%) | 1 (11%) | 6 (66,7%) | 3 (33.3%) | 0 |
| SPEARMAN’S RHO | SBMAFRS score | CPK (UI/l) | ASP (UI/l) | ALT (UI/l) | GGT (UI/l) | APh UI/l | Bilirubin (mg/dl) | Creatinine (mg/dl) | HbA1c % | Cholesterol (mg/dl) | Triglicerides (mg/dl) |
|---|---|---|---|---|---|---|---|---|---|---|---|
| FVC | r=0.27 p=0.0015 |
n.s. | n.s. | n.s. | n.s. | n.s. | n.s. | n.s. | n.s. | n.s. | n.s. |
| MIP | r=0.53 p<0.0001 | r=0.32 p=0.0027 | n.s. | n.s. | n.s. | n.s. | n.s. | r=0.31 p=0.0023 |
n.s. | n.s. | n.s. |
| MEP | r=0.51 p<0.0001 | r=0.25 p=0.019 | n.s. | n.s. | n.s. | n.s. | n.s. | n.s. | n.s. | n.s. | n.s. |
| SBMAFRS score | r=0.24 p=0.016 | n.s. | n.s. | n.s. | n.s. | n.s. | r=0.23 p=0.022 | n.s. | n.s. | n.s. | |
| CPK (UI/l) | r=0.24 p=0.016 | r=0.73 p<0001 | r=0.74 p<0001. | n.s. | n.s. | n.s. | n.s. | n.s. | n.s. | n.s. |
| SBMAFRS score | CPK (UI/l) | ASP (UI/l) | ALT (UI/l) | GGT (UI/l) | APh UI/l | Bilirubin (mg/dl) | Creatinine (mg/dl) | HbA1c % | Cholesterol (mg/dl) | Triglicerides (mg/dl) | Uric Acid (mg/dl) | |
|---|---|---|---|---|---|---|---|---|---|---|---|---|
| FVC ≥75% | 43.63±7.6 | 1458±881 | 58±24.3 | 60.6±28.8 | 20.3±9.5 | 52.7±15.9 | 0.41±0.15 | 0.62±0.17 | 5.5±0.4 | 203.8±21.6 | 125.5±52 | 5.3±0.9 |
| FVC<75% | 41.5±5.1 | 1397±883 | 61.5-21.7 | 64±21.67 | 22.7±8.2 | 47.8±11.3 | 0.51±0.2 | 0.57±0.08 | 5.5±0.2 | 196±36.8 | 114.7±33 | 5.07±0.9 |
| p value | =0.0018 | n.s. | n.s | n.s | n.s. | n.s | n.s | n.s | n.s | n.s | n.s | n.s |
| MIP ≥50% | 44±6.7 | 1487±840 | 61±26 | 64.3±27.4 | 19.2±7 | 52.1±17 | 0.48±0.19 | 0.61±0.14 | 5.45±0.4 | 200.5±26.5 | 123±49.2 | 5.2±0.8 |
| MIP<50% | 37.4±7.3 | 849±412 | 49.7±16 | 51.6±20.9 | 22.3±8 | 47.8±10.3 | 0.43±0.14 | 0.53±0.11 | 5.5±0.2 | 200.3±36 | 110.5±35 | 4.9±0.9 |
| p value | <0001 | <0001 | =0.033 | =0.03 | n.s. | n.s. | n.s. | =0.003 | n.s. | n.s. | n.s. | n.s. |
| MEP ≥50% | 45.7±6.8 | 1484±741 | 59.8±21.6 | 63.±25.2 | 19.8±11.4 | 52.3±17.5 | 0.44±0.16 | 0.61±0.18 | 5.42±0.3 | 201.6±18.9 | 122.8±44 | 5.16±0.4 |
| MEP<50% | 39.44±6.7 | 1133±648 | 55.4±22 | 58.8±24 | 20.2±7.3 | 52.2±7.5 | 0.46±0.18 | 0.56±0.09 | 5. 5±0.1 | 200±34.5 | 120.6±51.9 | 4.9±0.5 |
Disclaimer/Publisher’s Note: The statements, opinions and data contained in all publications are solely those of the individual author(s) and contributor(s) and not of MDPI and/or the editor(s). MDPI and/or the editor(s) disclaim responsibility for any injury to people or property resulting from any ideas, methods, instructions or products referred to in the content. |
© 2024 by the authors. Licensee MDPI, Basel, Switzerland. This article is an open access article distributed under the terms and conditions of the Creative Commons Attribution (CC BY) license (http://creativecommons.org/licenses/by/4.0/).