Submitted:
28 August 2024
Posted:
29 August 2024
You are already at the latest version
Abstract
Keywords:
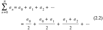
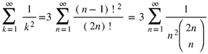
1. Introducing Entanglement of Series




to be written as a sum of finitely many elements of
.
and
. Pure mathematicians would say that the first series converges and even that it converges rapidly since the millionth term is much smaller than the 999999th; however, they will consider the second series to be divergent since the general term is able to grow beyond all bounds. Conversely, astronomers will consider the first series to be divergent since the first thousand terms increase; they will call the second series convergent since the first thousand terms decrease and since this decrease is rapid at first.”
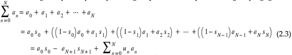
2. Creating Series Entanglement by Speed-Up of Convergence



, m < N, with
in (2.3) satisfies un = 0 for all n (2.4). Then (2.3) results in
.
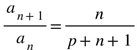
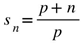
has term ratio
.
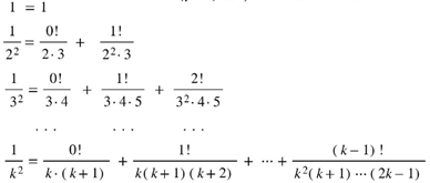
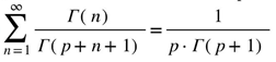
satisfies un = 0 in (2.4), and results in the closed form
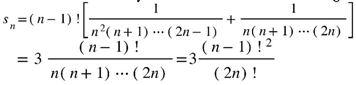
.
, while Pell-Lucas polynomials share this recurrence, but start with
. For these types of polynomials we obtain the closed form
with help of Gosper’s secret function
.
Van Wijngaarden’s general transform in Gosper’s format is
. Gosper’s snan from (3.4) makes up for
. The rest series converges faster than the original series.
, in the telescoped sum
. Abel’s difference is also applicable to non-trivial series as [47].2.1. Gosper’s Approach from Kummer’s Convergence Criterion
we want to construct a better converging series. Testing convergence has many disguises [54], Kummer’s test is most general, because it asks for a companion series
with elements sn ≤ an for all n is also convergent. From sn ≤ an follows the decreased radius of convergence

because from the requirement sn ≤ an it follows un < 1 for all n. So, we obtain Gosper’s result (2.4)

then
. Telescoping occurs if the functional equation (3.3) has a solution sn such that un = 0. In these cases Gosper [34] names solutions s his ‘secret functions’. Search for solving un = 0 is the implicit purpose in (3.3) of his renown algorithm [48], as currently built in Maple and Mathematica and other computer algebra packages. The implemented version of Gosper’s algorithm assumes a rational coercion for s and a in hypergeometric format.

2.2. Criteria for Gosper’s Transformation
- un = 1, i.e., the identity transform does not alter the series, i.e., δ = 0
- un = 0, yields a closed form (Examples 5 – 7 above), i.e., δ = ε = 0
- un < 1, gives a different series: entangled and faster converging
- un > 1, gives a different series: entangled and diverging.
. Then telescopy occurs with
.
.
. This example is one of many Abelian differences. A result on finding such Abelian differences for Jacobi theta functions is in Lemma 1.2 of [47].2.3. Knopp’s Transformation Invokes Wilf and Zeilberger’s WZ Pairs



3. Discussion
Author Contributions
Funding
Acknowledgments
Conflicts of Interest
Appendix A
References
- Lenstra, H.W. Entangled Radicals. Ann. Math. 2010, 103, 593–610. [Google Scholar]
- Lenstra, H.W., Jr.; Stevenhagen, P.; Moree, P. Character sums for primitive root densities. Math. Proc. Cambridge Philos. Soc. 2014, 157, 489–511. [Google Scholar] [CrossRef]
- Perucca, A.; Sgobba, P.; Tronto, S. Kummer theory for number fields via entanglement groups. Manuscripta Math. 2022, 169, 251–270. [Google Scholar] [CrossRef]
- Campagna, F.; Pengo, R. Entanglement in the family of division fields of elliptic curves with complex multiplication. Pacific J. Math. 2020, 317, 21–66. [Google Scholar] [CrossRef]
- Daniels, H.B.; Morrow, J.S. A group theoretic perspective on entanglements of division fields. Trans. Am. Math. Soc. Ser. B 2022, 9, 827–858. [Google Scholar] [CrossRef]
- Mercier, H.; Augier, M.; Lenstra, A.K. STEP-archival: Storage Integrity and Anti-Tampering using Data Entanglement. In Proceedings of the IEEE Int. Symp. on Information Theory (ISIT); 2015; pp. 1590–1594. [Google Scholar]
- Salicari, L.; Baiesi, M.; Orlandini, E.; Trovato, A. Folding kinetics of an entangled protein. PLoS Comput. Biol. 2023, 19, 1–30. [Google Scholar] [CrossRef] [PubMed]
- Netten, B.; Vingerhoeds, R.; Koppelaar, H. Expert assisted conceptual design: An application to fibre reinforced composite panels. Des. Res. Netherlands 1995, 37, 125–139. [Google Scholar]
- Bub, J. Bananaworld; Oxford University Press (OUP): Oxford, 2016; ISBN 978-0-19-881784-0. [Google Scholar]
- Chamgordani, M.A.; Naderi, N.; Koppelaar, H.; Bordbar, M. The entanglement dynamics of superposition of fermionic coherent states in Heisenberg spin chains. Int. J. Mod. Phys. B 2019, 33, 1950180–1. [Google Scholar] [CrossRef]
- Plenio, M.B.; Virmani, S. An introduction to entanglement measures. Quant. Inf. Comput. 2007, 7, 1–51. [Google Scholar] [CrossRef]
- Codes, M.; González Astudillo, M.T.; Delgado Martín, M.L.; Monterrubio Pérez, M.C. Growth in the understanding of infinite numerical series: a glance through the Pirie and Kieren theory. Int. J. Math. Educ. Sci. Technol. 2013, 44, 652–662. [Google Scholar] [CrossRef]
- Levrie, P. 1/89 Interessant getal. Pythagoras 2023, 62, 29. [Google Scholar]
- Paul, S.P. Golden Spirals and Scalp Whorls: Nature’s Own Design for Rapid Expansion. PLoS One 2016, 11, e0162026–1. [Google Scholar] [CrossRef]
- Castellanos, D. Rapidly converging expansions with Fibonacci coefficients. Fibonacci Q. 1986, 24, 70–82. [Google Scholar]
- Castellanos, D. A Generalization of Binet’s Formula and some of its consequences. Fibonacci Q. 1989, 27, 424–438. [Google Scholar]
- Borwein, J.M.; Bailey, D.H. Mathematics by Experiment; A. K. Peters, Natick, MA: Natick, Massachusetts, 2004; ISBN 1-56881-211-6. [Google Scholar]
- Farrugia, A. What are some awesome coincidences in geometry? Available online:. Available online: https://www.quora.com/What-are-some-awesome-coincidences-in-geometry/answer/Alexander-Farrugia (accessed on Aug 28, 2024).
- Maze, G.; Minder, L. A new family of almost identities. Elem. der Math. 2007, 62, 89–97. [Google Scholar] [CrossRef]
- Lenstra, H. Profinite Fibonacci numbers. Nieuw Arch. Voor Wiskd. 2005, 5/6, 297–300. [Google Scholar]
- Poincaré New methods of celestial mechanics; Goroff, D.L., Ed.; Vol. 1,2,3.; American Institute of Physics, 1993.
- Hardy, G.H. A mathematician’s apology; Cambridge University Press, 1940. [Google Scholar]
- Leech, J. Some solutions of diophantine equations. Math. Proc. Cambridge Philos. Soc. 1957, 53, 778–780. [Google Scholar] [CrossRef]
- Sloane, N.J.A. Taxicab numbers Available online:. Available online: https://oeis.org/A001235 (accessed on Feb 9, 2024).
- Koppelaar, H.; Nasehpour, P. On Hardy’s Apology Numbers. J. Algorithms Comput. 2020, 52, 67–83. [Google Scholar]
- van Berkel, D. On a curious property of 3435 Available online:. Available online: http://arxiv.org/abs/0911.3038 (accessed on Feb 25, 2024).
- Looijen, M. Talking about Numbers; 4th ed.; van Haren Publishing, 2021; ISBN 9789401806015.
- Wilson, D.W. Energetic numbers Available online:. Available online: https://oeis.org/A072096 (accessed on Feb 4, 2024).
- Euler, L. Introductio in Analysin Infinitorum, volume 1, (1748); Euler Arch.; University of the Pacific, 2018.
- Euler, L. Introductio in Analysin Infinitorum, volume 2, (1748); Euler Arch.; University of the Pacific, 2018.
- Abramowitz, M.; Stegun, I. Handbook of Mathematical Functions; 10th ed.; Dover: New York, 1972.
- Chen, H. On the telescoping sum. Int. J. Math. Educ. Sci. Technol. 2004, 35, 270–281. [Google Scholar] [CrossRef]
- Campbell, J.M.; Chu, W. Lemniscate-like constants and infinite series. Math. Slovaca 2021, 71, 845–858. [Google Scholar] [CrossRef]
- Gosper, R.W. Calculus of Series Rearrangements. In Algorithms and Complexity; Traub, J.E., Ed.; Academic Press: New York, 1976; pp. 121–151. [Google Scholar]
- Smith, C.J.; Tefera, A.; Zeleke, A. Computerized proof techniques for undergraduates. Int. J. Math. Educ. Sci. Technol. 2012, 43, 1067–1077. [Google Scholar] [CrossRef]
- Kondratieva, M.; Sadov, S. Markov’s transformation of series and the WZ method. Adv. Appl. Math. 2005, 34, 393–407. [Google Scholar] [CrossRef]
- Tweddle, I. James Stirling’s Methodus Differentialis; Springer Berlin Heidelberg New York, 2003.
- Levrie, P.; Nimbran, A.S. Recycling Stirling’s series acceleration technique. Math. Gaz. 2017, 101, 69–82. [Google Scholar] [CrossRef]
- Knopp, K. Theorie und Anwendung der Unendlichen Reihen; Springer Verlag, Berlin, 1964; ISBN 3-540-03138-3.
- Short, L. Summation of series. Int. J. Math. Educ. Sci. Technol. 1991, 22, 985–996. [Google Scholar] [CrossRef]
- Weisstein, E. Convergence Improvement Available online: https://mathworld.wolfram.com/ConvergenceImprovement.html.
- Horadam, A.F. Abstract Lambda Lucas polynomials and their convolutions. Notes Number Theory Discret. Math. 2003, 9, 13–27. [Google Scholar]
- Van Wijngaarden, A. A Transformation of Formal Series. I. Indag. Math. 1953, 56, 522–533. [Google Scholar] [CrossRef]
- Jentschura, U.D.; Aksenov, S. V.; Mohr, P.J.; Savageau, M.A.; Soff, G. Convergence Acceleration Techniques. arXiv: math.NA 2002, 1–6.
- Chen, Z.; Wei, S.; Xiao, X. Finding sums for an infinite class of alternating series. Int. J. Math. Educ. Sci. Technol. 2012, 43, 694–702. [Google Scholar] [CrossRef]
- Forrey, R.C. Computing the Hypergeometric Function. J. Comput. Phys. 1997, 137, 79–100. [Google Scholar] [CrossRef]
- Xu, J.; Ma, X. General q-series transformations based on Abel’s lemma on summation by parts and their applications. J. Differ. Equations Appl. 2024, 30, 553–576. [Google Scholar] [CrossRef]
- Gosper, R.W. Decision procedure for indefinite hypergeometric summation (algorithm/binomial coefficient identities/closed form/symbolic computation/linear recurrences). Proc. Nat. Acad. Sci. USA 1978, 75, 40–42. [Google Scholar] [CrossRef]
- Graham, R.L.; Knuth, D.E.; Patashnik, O. Concrete Mathematics; Addison-Wesley: Boston, 1989; ISBN 0-201-5802-5. [Google Scholar]
- Wright, C.; Osler, T.J. Four derivations of an interesting bilateral series generalizing the series for zeta of 2. Int. J. Math. Educ. Sci. Technol. 2013, 44, 456–461. [Google Scholar] [CrossRef]
- Lee, T.Y.; Lim, Y.C.; Wu, S.A. Finding sums for an infinite class of convergent series. Int. J. Math. Educ. Sci. Technol. 2016, 47, 649–651. [Google Scholar] [CrossRef]
- Abramov, S.A.; Carette, J.J.; Geddes, K.O.; Le, H.Q. Telescoping in the context of symbolic summation in Maple. J. Symb. Comput. 2004, 38, 1303–1326. [Google Scholar] [CrossRef]
- Delahaye, J.-P. Sequence Transformations; Springer Verlag: Berlin, 1988. [Google Scholar]
- Bourchtein, L.; Bourchtein, A. Comparison of some tests for convergence of positive series. Int. J. Math. Educ. Sci. Technol. 2016, 47, 474–489. [Google Scholar] [CrossRef]
- Glaister, P. Generating sums of series using simple differential operators. Int. J. Math. Educ. Sci. Technol. 2006, 37, 341–349. [Google Scholar] [CrossRef]
- Gal-Ezer, J.; Zwas, G. Corrected summation of alternating series. Int. J. Math. Educ. Sci. Technol. 1993, 24, 171–176. [Google Scholar] [CrossRef]
- Long, L. Hypergeometric evaluation identities and supercongruences. Pacific J. Math. 2011, 249, 405–418. [Google Scholar] [CrossRef]
- Fields, J.L. A linear scheme for rational approximations I, II. J. Approx. Theory 1972, 6, 161–175. [Google Scholar] [CrossRef]
- Fessler, T.; Ford, W.; Smith, D.A. Algorithm 602: HURRY: An Acceleration Algorithm for Scalar Sequences and Series. ACM Trans. Math. Softw. 2002, 9, 355–357. [Google Scholar] [CrossRef]
- Abramov, S.A.; Le, H.Q. A criterion for the applicability of Zeilberger’s algorithm to rational functions. Discrete Math. 2002, 259, 1–17. [Google Scholar] [CrossRef]
- Karr, M. Summation in finite terms. J. ACM 1981, 28, 305–350. [Google Scholar] [CrossRef]
- Kauers, M.; Schneider, C. Symbolic Summation with Radical Expressions. Proc. Int. Symp. Symb. Algebr. Comput. 2007, 219–226. [Google Scholar]
- Andrews, G.E. Pfaff’s Method (III): Comparison with the WZ Method. Electron. J. Comb. 1996, 3, 1–16. [Google Scholar] [CrossRef]
- Gessel, I.; Stanton, D. Strange Evaluations of Hypergeometric Series. SIAM J. Math. Anal. 1982, 13, 295–308. [Google Scholar] [CrossRef]
- Levrie, P.; Campbell, J. Series acceleration formulas obtained from experimentally discovered hypergeometric recursions. Discret. Math. Theor. Comput. Sci. 2022, 24, 1–19. [Google Scholar] [CrossRef]
- Chazelle, B. The Discrepancy Method; Cambridge University Press; ISBN 0521003571.
- Koppelaar, H.; Kordestani-Moghadan, P.; Khan, K.; Kouhkani, S.; Segers, G.; Warmerdam, M. van Reaction Time Improvements by Neural Bistability. Behav. Sci. (Basel). 2019, 9, 1–14. [Google Scholar]
- Koppelaar, H.; Kordestani-Moghadam, P.; Kouhkani, S.; Irandoust, F.; Segers, G.; Haas, L. de; Bantje, T.; Warmerdam, M. van Proof of Concept of Novel Visuo-Spatial-Motor Fall Prevention Training for Old People. Geriatrics 2021, 6, 1–27. [Google Scholar] [CrossRef]
- Frontczak, R.; Prasad, K. Balancing Polynomials, Fibonacci Numbers and Some New Series for π. Mediterr. J. Math. 2023, 20, 1–16. [Google Scholar] [CrossRef]
| Fibonacci sequence1 | Powers of 11 | |
|---|---|---|
| 0, 1, 1, 2, 3, 5, 8, 13, … | 110 , 111 , 112 , 113 , 114 , … | |
|
0,01 |
0,01 |
|
| 0,001 | 0,0011 | |
| 0,0002 | 0,000121 | |
| 0,00003 | 0,00001331 | |
| 0,000005 | 0,0000014641 | |
| 0,0000008 | 0,000000161051 | |
| 0,00000013 | 0,00000001771561 | |
| 0,000000021 | 0,0000000019487171 | |
| 0,0000000034 | 0,000000000214358881 | |
| 0,00000000055 | 0,00000000002357947691 | |
| 0,000000000089 | 0,0000000000025937424601 | |
| 0,0000000000144 | 0,000000000000285311670611 | |
| 0,00000000000233 | 0,00000000000003138428376721 | |
| 0,000000000000377 | 0,0000000000000034522712143931 | |
| +----------------------------------------- | +------------------------------------------- | |
| 0,01123595505? | 0,01123595505?................................... |
| Feature | Van der Corput’s discrepancy | Our Entanglement definition |
|---|---|---|
| Application | Measuring the randomness of a sequence | Formalizing the idea that two sequences are entangled |
| Specificity | Focuses on sequences that approximate a uniform distribution | More general and can be applied to any two sequences |
| Focus | Uniformity of distribution | Pairwise Difference between terms |
Disclaimer/Publisher’s Note: The statements, opinions and data contained in all publications are solely those of the individual author(s) and contributor(s) and not of MDPI and/or the editor(s). MDPI and/or the editor(s) disclaim responsibility for any injury to people or property resulting from any ideas, methods, instructions or products referred to in the content. |
© 2024 by the authors. Licensee MDPI, Basel, Switzerland. This article is an open access article distributed under the terms and conditions of the Creative Commons Attribution (CC BY) license (http://creativecommons.org/licenses/by/4.0/).





