Submitted:
23 August 2024
Posted:
26 August 2024
You are already at the latest version
Abstract
Keywords:
1. Introduction
| Serial Number | Functional Group | Advantage | Boundedness |
|---|---|---|---|
| 1 | Amidine | Strong sensitivity to carbon dioxide; A very small amount of carbon dioxide can quickly respond |
The amidine group is alkaline and undergoes a certain degree of hydrolysis in water. But cyclic amidines have the characteristics of simple preparation process and good stability |
| 2 | Amine | Weakly alkaline functional group; Boramine absorbs carbon dioxide at room temperature 2.8 times more than the commonly used reagent ethanolamine, but its response speed is slow; Tertiary amines are more sensitive to carbon dioxide response than primary amines, with better repeatability and efficiency |
The protonation reaction between the tertiary amino group and carbon dioxide is slow and requires continuous introduction of carbon dioxide for stimulation and regulation. |
| 3 | Guanidine | Guanidine and amidine groups have similar properties | Organic strong base |
| 4 | Imidazole | The alkalinity is weak, and the protonated imidazole functional group is more stable compared to the amidine and tertiary amine groups | High viscosity, with certain biological toxicity |
2. Material and Methods

2.1. Experimental Materials
2.2. Experimental Procedures
2.3. Structural Characterization
2.4. Wetting Reversal Characteristic Experiment

2.5. Surface Tension and Interfacial Tension Determination Experiments
2.6. Calculation of Adhesion Work Reduction Value
2.7. Oil Washing Experiment

2.8. Imbibition Experiment
3. Results and Discussion
3.1. Characterization of Graphene Quantum Dots
3.1.1. Morphology and Particle Size of Graphene Quantum Dots
3.1.2. Infrared Spectra of Graphene Quantum Dots
3.1.3. Determination of Fluorescence Intensity of Graphene Quantum Dots
3.2. Wetting Reversal Characteristic

3.3. Surface Tension and Interfacial Tension Determination
| Number | T/℃ | Detection index/ mN/m |
Results/ mN/m |
|---|---|---|---|
| 1 | 45 | surface tension | 25.58 |
| interfacial tension | 0.92×10-2 | ||
| 2 | 90 | surface tension | 20.35 |
| interfacial tension | 0.11×10-2 |
3.4. Calculation of Adhesion Reduction Value
| No. | IFT (10-2mN/m) |
contact angle θ (°) | cosθ | W0(10-2mN/m) | W1(10-2mN/m) | wettability |
|---|---|---|---|---|---|---|
| 1 | 0.92 | 121.51 | -0.52 | 0.92 | 1.40 | lipophilicity |
| 2 | 0.92 | 58.53 | 0.52 | 0.92 | 0.44 | hydrophily |
| 3 | 0.11 | 121.51 | -0.52 | 0.11 | 0.17 | lipophilicity |
| 4 | 0.11 | 58.53 | 0.52 | 0.11 | 0.05 | hydrophily |
3.5. Oil Washing Experiment Analysis
| Number | Sample | Oil sand contains oil volume(ml) | Wash oil volume(ml) | Oil washing rate(%) | Average value(%) |
|---|---|---|---|---|---|
| 1 | F-GQDs | 1.25 | 1.10 | 88.00 | 86.00 |
| 2 | F-GQDs | 1.25 | 1.05 | 84.00 | |
| 3 | CO2+F-GQDs | 1.25 | 1.20 | 96.00 | 97.00 |
| 4 | CO2+F-GQDs | 1.25 | 1.22 | 98.00 | |
| 5 | CO2+Water | 1.25 | 0.05 | 4.00 | 4.80 |
| 6 | CO2+Water | 1.25 | 0.07 | 5.60 |
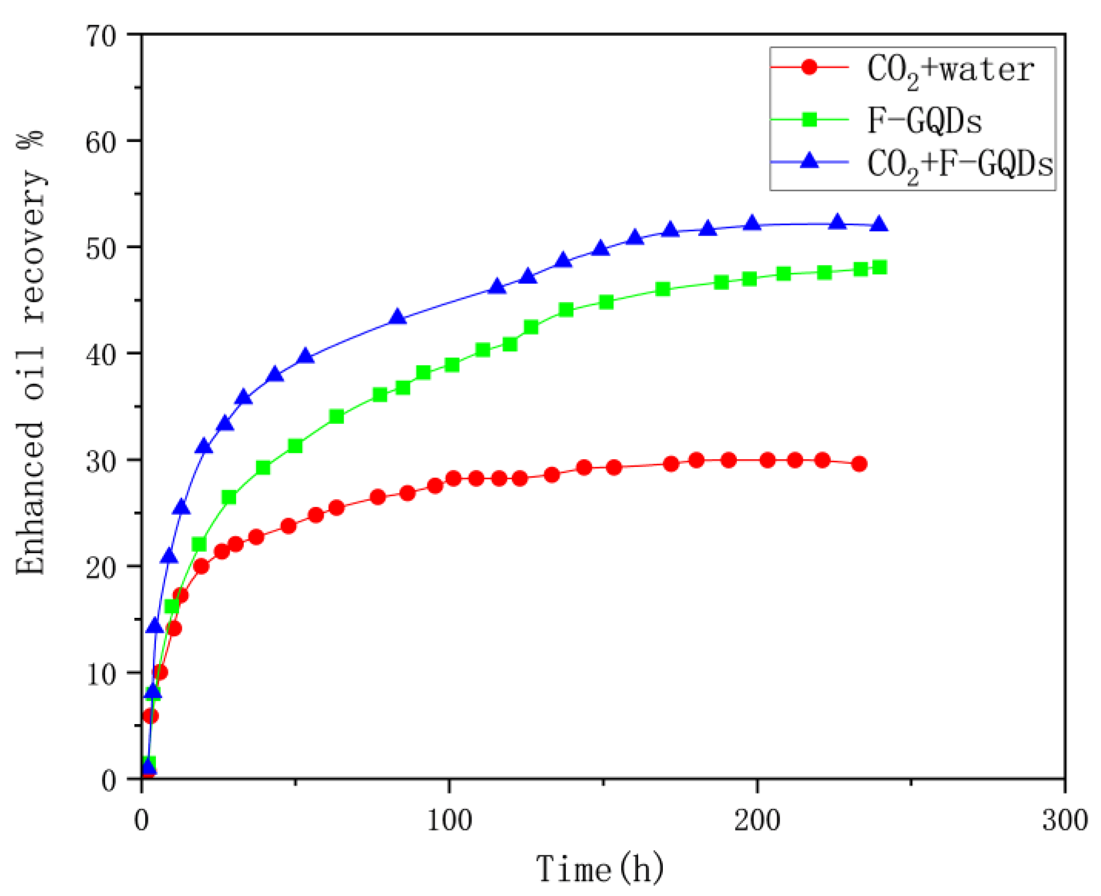
3.6. Imbibition Experiment Analysis
4. Conclusions
Author Contributions
Funding
Institutional Review Board Statement
Data Availability Statement
Conflicts of Interest
References
- Dordanihaghighi, S.; Allahbakhsh, A.; Kuur, C.; Arjmand, M.Synthesis, Applications, and Prospects of Graphene Quantum Dots:A Comprehensive Review. Small 2021, 18, 2102683.
- Konstantatos, G.; Badioli, M.; Gaudreau, L.; Osmond, J.;Bernechea, M.; de Arquer, F. P. G.; Gatti, F.; Koppens, F. H. L.Hybrid graphene-quantum dot phototransistors with ultrahigh gain.Nat. Nanotechnol. 2012, 7, 363−368. [CrossRef]
- Tetsuka, H.; Asahi, R.; Nagoya, A.; Okamoto, K.; Tajima, I.;Ohta, R.; Okamoto, A. Optically Tunable Amino-Functionalized Graphene Quantum Dots. Adv. Mater. 2012, 24, 5333−5338. [CrossRef]
- Yeh, T.-F.; Teng, C.-Y.; Chen, S.-J.; Teng, H. Nitrogen-Doped Graphene Oxide Quantum Dots as Photocatalysts for Overall WaterSplitting under Visible Light Illumination. Adv. Mater. 2014, 26,3297−3303. [CrossRef]
- Dinda, D.; Park, H.; Lee, H.-J.; Oh, S.; Park, S. Y. Graphene Quantum Dot with Covalently Linked Rhodamine Dye: A High Efficiency Photocatalyst for Hydrogen Evolution. Carbon 2020, 167,760−769. [CrossRef]
- Yang, J.; Miao, H.; Jing, J.; Zhu, Y.; Choi, W. Photocatalytic activity enhancement of PDI supermolecular via π-π action and energy level adjusting with graphene quantum dots. Appl. Catal., B 2021, 281, 119547. [CrossRef]
- Chung, S.; Revia, R. A.; Zhang, M. Graphene Quantum Dots and Their Applications in Bioimaging, Biosensing, and Therapy. Adv. Mater. 2021, 33, 1904362.
- Gao, W.; Gou, W.; Zhou, X.; Ho, J. C.; Ma, Y.; Qu, Y. AmineModulated/Engineered Interfaces of NiMo Electrocatalysts for Improved Hydrogen Evolution Reaction in Alkaline Solutions. ACS Appl. Mater. Interfaces 2018, 10, 1728−1733. [CrossRef]
- Zhou, F.; Tien, H. N.; Dong, Q.; Xu, W. L.; Li, H.; Li, S.; Yu, M. Ultrathin, Ethylenediamine-Functionalized Graphene Oxide Membranes on Hollow Fibers for CO2 Capture. J. Membr. Sci. 2019, 573, 184−191. [CrossRef]
- Fujishima, A.; Honda, K. Electrochemical Photolysis of Water at a Semiconductor Electrode. Nature 1972, 238, 37−38. [CrossRef]
- Chen, X.; Shen, S.; Guo, L.; Mao, S. S. Semiconductor-Based Photocatalytic Hydrogen Generation. Chem. Rev. 2010, 110, 6503−6570. [CrossRef]
- Yang, Y.; Niu, S.; Han, D.; Liu, T.; Wang, G.; Li, Y. Progress in Developing Metal Oxide Nanomaterials for Photoelectrochemical Water Splitting. Adv. Energy Mater. 2017, 7, 1700555.
- Guo, Y.; Park, T.; Yi, J. W.; Henzie, J.; Kim, J.; Wang, Z.; Jiang, B.; Bando, Y.; Sugahara, Y.; Tang, J.; Yamauchi, Y. Nanoarchitectonics for Transition-Metal-Sulfide-Based Electrocatalysts for Water Splitting. Adv. Mater. 2019, 31, 1807134.
- Zhao, H.; Li, X.; Cai, M.; Liu, C.; You, Y.; Wang, R.; Channa, A. I.; Lin, F.; Huo, D.; Xu, G.; Tong, X.; Wang, Z. M. Role of Copper Doping in Heavy Metal-Free InP/ZnSe Core/Shell Quantum Dots for Highly Efficient and Stable Photoelectrochemical Cell. Adv. EnergyMater. 2021, 11, 2101230. [CrossRef]
- Rahman, M. Z.; Davey, K.; Qiao, S.-Z. Carbon, Nitrogen and Phosphorus Containing Metal-Free Photocatalysts for Hydrogen Production: Progress and Challenges. J. Mater. Chem. A 2018, 6,1305−1322. [CrossRef]
- Endo T,Nagai D,Monma T,et al.A novel construction of a reversible eixation-release system of carbon dioxide by amidines and their polymers[J]..Macromolecules,2004,37(6):2007-2009.
- Lu H,Jiang J,Huang Z,et al.A water-soluble CO2-triggered viscosity-responsive copolymer of N,N-dimethylaminoethyl methacrylate and acrylamide[J].Appl Polym Sci,2014,131(19):2.
- Bates E D,Mayton R,Ntai I,Davis J H,Jr,CO2 capture by a task-specific ionic liquid[J].Journal of American Chemical Society,2002,124(6):926-927.
- Pan D Y, Zhang J C, Li Z, et al. Hydrothermal route for cutting graphene sheets into blue-luminescent graphene quantum dots. Adv Mater, 2010, 22 (6): 734-738.







| No. | Name of Instrument | Model Specifications | Supplier | Purpose |
|---|---|---|---|---|
| 1 | Fourier transform infrared spectrometer |
Nicolet iS50 | Thermo Fisher Scientific Molecular Spectroscopy Company, Shanghai, China |
Structural characterization of synthetic products |
| 2 | Laser particle size analyzer | Mastersizer (from 3.8 nm to 100 µm) |
Pudi Biotechnology Co., Ltd., Shanghai, China |
Evaluation of particle size distribution in dispersed systems |
| 3 | Fluorescence spectrophotometer | LS55 | Perkin-ElmerCo., Ltd., Shanghai, China |
fluorescence spectroscopy measurement |
| 4 | UV Visible Absorption Spectrometer | U-3010 | Hitachi High-Tech Co., Ltd., Shanghai, China | UV Visible Absorption Spectroscopy Determination |
| 5 | Transmission Electron Microscope | H-7650B TEM (80 kV) |
Hitachi High-Tech Co., Ltd., Shanghai, China | GQDs morphology observation |
| 6 | Contact angle tester | OCA200 | Otellino Instrument Co., Ltd., Beijing, China | Wetting reversal characteristic test |
Disclaimer/Publisher’s Note: The statements, opinions and data contained in all publications are solely those of the individual author(s) and contributor(s) and not of MDPI and/or the editor(s). MDPI and/or the editor(s) disclaim responsibility for any injury to people or property resulting from any ideas, methods, instructions or products referred to in the content. |
© 2024 by the authors. Licensee MDPI, Basel, Switzerland. This article is an open access article distributed under the terms and conditions of the Creative Commons Attribution (CC BY) license (http://creativecommons.org/licenses/by/4.0/).