Submitted:
19 August 2024
Posted:
21 August 2024
You are already at the latest version
Abstract
Keywords:
1. Introduction
2. Materials and Methods
2.1. Study Design and Participants
2.2. MR Imaging and Analysis
2.3. Statistical Methods
3. Results
3.1. Subsection
3.1. Spinal Cord Atrophy
3.2. Brain Lesion Volume and Atrophy
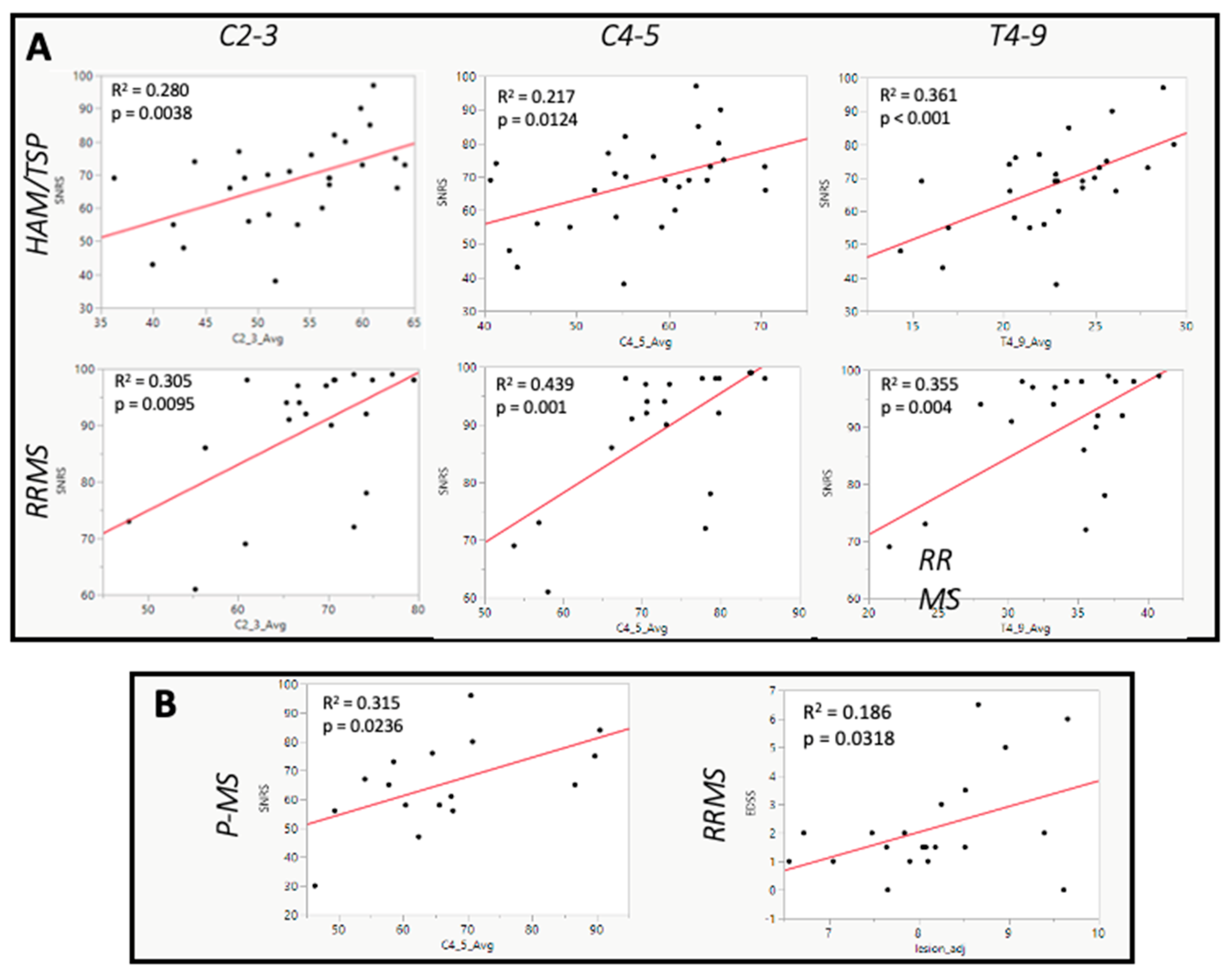
3.3. Correlation of Radiological and Clinical Measures
3.4. Principal Component Results
4. Discussion
5. Conclusions
Author Contributions
Funding
Institutional Review Board Statement
Informed Consent Statement
Data Availability Statement
Acknowledgments
Conflicts of Interest
References
- Araujo, A.Q. and M.T. Silva, The HTLV-1 neurological complex. Lancet Neurol. 2006, 5, 1068–1076. [Google Scholar] [CrossRef] [PubMed]
- Gessain, A. and O. Cassar, Epidemiological Aspects and World Distribution of HTLV-1 Infection. Front. Microbiol. 2012, 3, 388. [Google Scholar] [CrossRef] [PubMed]
- Nosaka, K. , et al., Epidemiological and clinical features of adult T-cell leukemia-lymphoma in Japan, 2010-2011: A nationwide survey. Cancer Sci. 2017, 108, 2478–2486. [Google Scholar] [CrossRef] [PubMed]
- Yamano, Y. and T. Sato, Clinical pathophysiology of human T-lymphotropic virus-type 1-associated myelopathy/tropical spastic paraparesis. Front. Microbiol. 2012, 3, 389. [Google Scholar] [CrossRef]
- Boostani, R. , et al., Human T-lymphotropic virus type I and breastfeeding; systematic review and meta-analysis of the literature. Iran. J. Neurol. 2018, 17, 174–179. [Google Scholar]
- Einsiedel, L.J. , et al., The prevalence and clinical associations of HTLV-1 infection in a remote Indigenous community. Med. J. Aust. 2016, 205, 305–309. [Google Scholar] [CrossRef]
- Jacobson, S. , et al., Circulating CD8+ cytotoxic T lymphocytes specific for HTLV-I pX in patients with HTLV-I associated neurological disease. Nature 1990, 348, 245–248. [Google Scholar] [CrossRef]
- Kubota, R. , et al., Demonstration of human T lymphotropic virus type I (HTLV-I) tax-specific CD8+ lymphocytes directly in peripheral blood of HTLV-I-associated myelopathy/tropical spastic paraparesis patients by intracellular cytokine detection. J. Immunol. 1998, 161, 482–488. [Google Scholar] [CrossRef]
- Nagai, M. , et al. , Increased HTLV-I proviral load and preferential expansion of HTLV-I Tax-specific CD8+ T cells in cerebrospinal fluid from patients with HAM/TSP. Ann Neurol 2001, 50, 807–812. [Google Scholar]
- Ando, H. , et al., Positive feedback loop via astrocytes causes chronic inflammation in virus-associated myelopathy. Brain 2013, 136, 2876–2887. [Google Scholar] [CrossRef]
- Levin, M.C. , et al., Immunologic analysis of a spinal cord-biopsy specimen from a patient with human T-cell lymphotropic virus type I-associated neurologic disease. N. Engl. J. Med. 1997, 336, 839–845. [Google Scholar] [CrossRef] [PubMed]
- Matsuura, E. , et al., Visualization of HTLV-1-specific cytotoxic T lymphocytes in the spinal cords of patients with HTLV-1-associated myelopathy/tropical spastic paraparesis. J. Neuropathol. Exp. Neurol. 2015, 74, 2–14. [Google Scholar] [CrossRef] [PubMed]
- Aye, M.M. , et al., Histopathological analysis of four autopsy cases of HTLV-I-associated myelopathy/tropical spastic paraparesis: inflammatory changes occur simultaneously in the entire central nervous system. Acta Neuropathol. 2000, 100, 245–252. [Google Scholar] [CrossRef] [PubMed]
- Akizuki, S. , et al., An autopsy case of human T-lymphotropic virus type I-associated myelopathy. Hum. Pathol. 1988, 19, 988–990. [Google Scholar] [CrossRef]
- Azodi, S. , et al., Imaging spinal cord atrophy in progressive myelopathies: HTLV-I-associated neurological disease (HAM/TSP) and multiple sclerosis (MS). Ann. Neurol. 2017, 82, 719–728. [Google Scholar] [CrossRef]
- Evangelou, I.E., R. Massoud, and S. Jacobson, HTLV-I-associated myelopathy/tropical spastic paraparesis: semiautomatic quantification of spinal cord atrophy from 3-dimensional MR images. J. Neuroimaging 2014, 24, 74–78. [Google Scholar] [CrossRef]
- Godoy, A.J. , et al., Characterization of cerebral white matter lesions of HTLV-I-associated myelopathy/tropical spastic paraparesis in comparison with multiple sclerosis and collagen-vasculitis: a semiquantitative MRI study. J. Neurol. Sci. 1995, 133, 102–111. [Google Scholar] [CrossRef]
- Liu, W. , et al., In vivo imaging of spinal cord atrophy in neuroinflammatory diseases. Ann. Neurol. 2014, 76, 370–378. [Google Scholar] [CrossRef]
- Taniguchi, A. , et al., Spinal cord anteroposterior atrophy in HAM/TSP: Magnetic resonance imaging and neuropathological analyses. J. Neurol. Sci. 2017, 381, 135–140. [Google Scholar] [CrossRef]
- Griffith, C. , et al., Brain volume measurements in patients with human T-cell lymphotropic virus-1-associated tropical spastic paraparesis. J. Neurovirol. 2006, 12, 349–355. [Google Scholar] [CrossRef]
- Kalil, R.S. , et al., Association between high proviral load, cognitive impairment, and white matter brain lesions in HTLV-1-infected individuals. J. Neurovirol. 2021, 27, 810–819. [Google Scholar] [CrossRef] [PubMed]
- Ogata, A. , et al., MRI-pathological correlate of brain lesions in a necropsy case of HTLV-I associated myelopathy. J. Neurol. Neurosurg. Psychiatry 1993, 56, 194–196. [Google Scholar] [CrossRef] [PubMed]
- Puccioni-Sohler, M. , et al., HAM/TSP: association between white matter lesions on magnetic resonance imaging, clinical and cerebrospinal fluid findings. Arq. Neuropsiquiatr. 2012, 70, 246–251. [Google Scholar] [CrossRef]
- Mina, Y. , et al., Cervical and thoracic cord atrophy in multiple sclerosis phenotypes: Quantification and correlation with clinical disability. Neuroimage Clin. 2021, 30, 102680. [Google Scholar] [CrossRef] [PubMed]
- Walton, C. , et al., Rising prevalence of multiple sclerosis worldwide: Insights from the Atlas of MS, third edition. Mult. Scler. 2020, 26, 1816–1821. [Google Scholar] [CrossRef]
- Wattjes, M.P. , et al., 2021 MAGNIMS-CMSC-NAIMS consensus recommendations on the use of MRI in patients with multiple sclerosis. Lancet Neurol. 2021, 20, 653–670. [Google Scholar] [CrossRef]
- Thompson, A.J. , et al., Diagnosis of multiple sclerosis: 2017 revisions of the McDonald criteria. Lancet Neurol. 2018, 17, 162–173. [Google Scholar] [CrossRef]
- Losseff, N.A. , et al., Progressive cerebral atrophy in multiple sclerosis. A serial MRI study. Brain 1996, 119, 2009–2019. [Google Scholar] [CrossRef]
- Rocca, M.A. , et al., Brain MRI atrophy quantification in MS: From methods to clinical application. Neurology 2017, 88, 403–413. [Google Scholar] [CrossRef]
- Selvaganesan, K. , et al., Robust, atlas-free, automatic segmentation of brain MRI in health and disease. Heliyon 2019, 5, e01226. [Google Scholar] [CrossRef]
- Dieckhaus, H. , et al., Logistic Regression-Based Model Is More Efficient Than U-Net Model for Reliable Whole Brain Magnetic Resonance Imaging Segmentation. Top. Magn. Reson. Imaging 2022, 31, 31–39. [Google Scholar] [CrossRef] [PubMed]
- Chien, A. , et al., White and Gray Matter Changes are Associated With Neurocognitive Decline in HIV Infection. Ann. Neurol. 2024, 95, 941–950. [Google Scholar] [CrossRef] [PubMed]
- Takatani, M. , et al., Clinical and laboratory features of HTLV-I asymptomatic carriers and patients with HTLV-I-associated myelopathy/tropical spastic paraparesis from the Brazilian Amazon. Rev. Inst. Med. Trop. 2017, 59, e5. [Google Scholar] [CrossRef] [PubMed]
- Nortvedt, M.W. , et al., Quality of life in multiple sclerosis: measuring the disease effects more broadly. Neurology 1999, 53, 1098–1103. [Google Scholar] [CrossRef]
- Kamrani, M. , et al., Cognitive deficits in HTLV-1 patients. J. Neurovirol. 2023, 29, 416–424. [Google Scholar] [CrossRef]




| Diagnosis | N (% female) |
Age (years) Mean ± SD |
EDSS Med (IQR) |
SNRS Med (IQR) |
IPEC Med (IQR) |
T25FW (s) Med (IQR) |
9-HPT (s) Med (IQR) |
|---|---|---|---|---|---|---|---|
| HAM/TPS | 43 (77) | 58 ± 12 | 6.5 (0.4) | 69 (17) | 15.5 (6.5) | 16.5 (14.8) | 21.7 (5.1) |
| RRMS | 26 (69) | 54 ± 12 | 1.75 (0.5) | 93 (13) | -- | 4.9 (1.1) | 19.0 (4.4) |
| P-MS | 20 (70) | 61 ± 8 | 6 (1.25) | 65 (18) | -- | 10.9 (10.4) | 26.9 (15.4) |
| SPMS | 13 (69) | 60 ± 8 | 6 (0.5) | 65 (15) | -- | 11.1 (11.5) | 29.1 (16.3) |
| PPMS | 7 (71) | 63 ± 9 | 5 (2.5) | 71 (24) | -- | 10.7 (5.1) | 23.5 (6.7) |
| HV | 24 (63) | 51 ± 13 | -- | -- | -- | 4.6 (0.7) | 18.5 (2.4) |
| Group | Region | EDSS | SNRS | IPEC | T25FW | 9-HPT |
|---|---|---|---|---|---|---|
| HAM/TSP | C2-3 | -0.38* | 0.53** | -0.36 | -0.37 | -0.27 |
| C4-5 | -0.26 | 0.47* | -0.22 | -0.25 | -0.19 | |
| T4-9 | -0.40* | 0.60*** | -0.35 | -0.55** | -0.13 | |
| WMH | 0.00 | 0.05 | -- | 0.26 | 0.09 | |
| RRMS | C2-3 | -0.16 | 0.55** | -- | -0.11 | 0.24 |
| C4-5 | -0.27 | 0.66*** | -- | -0.19 | 0.24 | |
| T4-9 | -0.25 | 0.60** | -- | -0.31 | 0.02 | |
| WMH | 0.47* | -0.32 | -- | 0.56** | 0.48* | |
| P-MS | C2-3 | -0.27 | 0.34 | -- | -0.17 | -0.31 |
| C4-5 | -0.37 | 0.56* | -- | -0.28 | -0.38 | |
| T4-9 | -0.23 | 0.37 | -- | -0.12 | -0.15 | |
| WMH | -0.42 | -0.02 | -- | -0.22 | 0.13 |
Disclaimer/Publisher’s Note: The statements, opinions and data contained in all publications are solely those of the individual author(s) and contributor(s) and not of MDPI and/or the editor(s). MDPI and/or the editor(s) disclaim responsibility for any injury to people or property resulting from any ideas, methods, instructions or products referred to in the content. |
© 2024 by the authors. Licensee MDPI, Basel, Switzerland. This article is an open access article distributed under the terms and conditions of the Creative Commons Attribution (CC BY) license (http://creativecommons.org/licenses/by/4.0/).