Submitted:
11 October 2024
Posted:
14 October 2024
You are already at the latest version
Abstract

Keywords:
1. Introduction
2. Materials and Methods
2.1. Powder Preparation
2.2. Laser Powder Bed Fusion Processing and Heat Treatment
2.3. Microstructural and Mechanical Characterization
3. Results and Discussion
3.1. As-Built MMCs Microstructure
3.2. Heat-Treated Microstructure
3.3. Density Characterization
3.4. Mechanical Properties
4. Conclusions
- A density >99% was achieved with the lowest reinforcement particle sizes, while a density >98% was achieved with the other one.
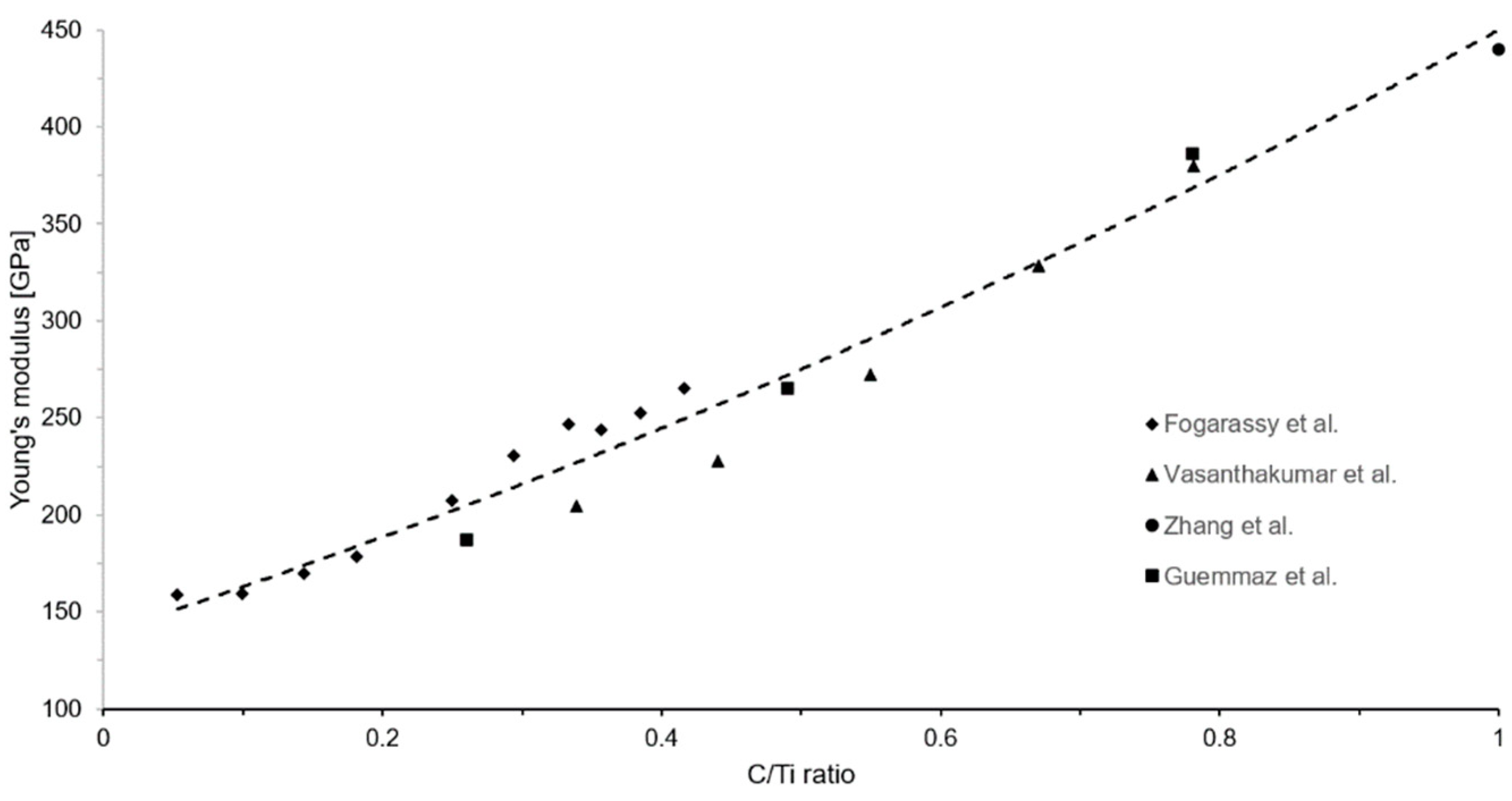
- A drastic evolution of the reinforcement content (12 vol% to 21 vol%) and C/Ti ratio (0.98 to 0.8) was observed following LPBF and heat treatment. The effect of the variation of TiC elastic properties and volumetric fraction on composite elastic properties are discussed.
- Young’s moduli of both MMCs were 26% higher (149 GPa) than the one of Ti.
- The fracture strain after heat treatment was more than twice the one observed in as-built conditions. The elastic modulus was not affected by the heat treatment.
- Fracture up to 1.7% were achieved after heat treatment and for lower particle size distribution. The value is 30% higher than previously reported for Ti-based MMCs produced by LPBF with similar elastic modulus.
- Lower particle sizes were shown to be beneficial for both density and mechanical properties. Further decrease of reinforcement size could lead to even higher performances.
Author Contributions
Funding
Institutional review board statement
Data Availability Statement
Acknowledgments
Conflicts of Interest
Appendix A

| ASTM E8 [mm] | Effective dimensions [mm] | |
|---|---|---|
| G- Gauge length | 10±0.1 | 10 |
| D- Diameter | 2.5±0.1 | 2.5 |
| R- Radius of filler, min | 2 | 2 |
| A- Length of reduced parallel section, min | 20 | 25 |




References
- Chandran, K.S.R.; Panda, K.B.; Sahay, S.S. TiBw-reinforced Ti composites: Processing, Properties, Application Prospects, and Research Needs. JOM 2004, 56, 42–48. [Google Scholar] [CrossRef]
- MA, L.; Agote I; Atxaga G; Adarraga O, Pambaguian L. Fabrication and characterisation of Titanium Matrix Composites obtained using a combination of Self propagating High temperature Synthesis and Spark Plasma Sintering. Materials Science and Engineering: A 2016, 655, 44–49. [Google Scholar] [CrossRef]
- Kim, M.-K.; et al. Strategies and Outlook on Metal Matrix Composites Produced Using Laser Powder Bed Fusion: A Review. Metals 2023, 13, 1658. [Google Scholar] [CrossRef]
- Attar H; Ehtemam-Haghighi S; Kent D, Dargusch MS. Recent developments and opportunities in additive manufacturing of titanium-based matrix composites: A review. International Journal of Machine Tools and Manufacture 2018, 133, 85–102. [Google Scholar] [CrossRef]
- Hayat, M.D.; Singh, H.; He, Z. , and P. Cao. Titanium metal matrix composites: An overview. Composites Part A: Applied Science and Manufacturing 2019, 121, 418–438. [Google Scholar] [CrossRef]
- Xi L; Ding K; Gu D; Guo S; Cao M; Zhuang J; Lin K; Okulov I; Sarac B; Eckert J, Prashanth KG. Interfacial structure and wear properties of selective laser melted Ti/(TiC+TiN) composites with high content of reinforcements. Journal of Alloys and Compounds 2021, 870, 159436. [Google Scholar] [CrossRef]
- Radhakrishnan, M.; Hassan, M.; Long, B.; Otazu, D.; Lienert, T. , and O. Anderoglu. Microstructures and properties of Ti/TiC composites fabricated by laser-directed energy deposition. Additive Manufacturing 2021, 46, 102198. [Google Scholar] [CrossRef]
- Gu D; Meng G; Li C; Meiners W, Poprawe R. Selective laser melting of TiC/Ti bulk nanocomposites: Influence of nanoscale reinforcement. Scripta Materialia 2012, 67, 185–188. [Google Scholar] [CrossRef]
- Gu D; Y-C, H. ; Meiners W; Wissenbach K, Poprawe R. Nanocrystalline TiC reinforced Ti matrix bulk-form nanocomposites by Selective Laser Melting (SLM): Densification, growth mechanism and wear behavior. Composites Science and Technology Sept. 2011, 71, 1612–1620. [Google Scholar] [CrossRef]
- Yan Q; Chen B, Li JS. Super-high-strength graphene/titanium composites fabricated by selective laser melting. Carbon Apr. 2021, 174, 451–462. [Google Scholar] [CrossRef]
- Andrieux J; Gardiola B, Dezellus O. Synthesis of Ti matrix composites reinforced with TiC particles: in situ synchrotron X-ray diffraction and modeling. J Mater Sci 2018, 53, 9533–9544. [Google Scholar] [CrossRef]
- Roger J; Gardiola B; Andrieux J; J-C, V. , Dezellus O. Synthesis of Ti matrix composites reinforced with TiC particles: thermodynamic equilibrium and change in microstructure. J. Mater. Sci. Dec. 2016, 13, 4129–4141. [Google Scholar]
- Lin Y; RH, Z. , Chin BA. In situ formation of three-dimensional TiC reinforcements in Ti-TiC composites. MTA Apr. 1991, 22, 859–865. [Google Scholar] [CrossRef]
- AS Kurlov and A., I. Gusev. High-energy milling of nonstoichiometric carbides: Effect of nonstoichiometry on particle size of nanopowders. Journal of Alloys and Compounds 2014, 582, 108–118. [Google Scholar] [CrossRef]
- E28 Committee. Test Methods for Tension Testing of Metallic Materials. ASTM International. [CrossRef]
- Wang J; Li L; Lin P, Wang J. Effect of TiC particle size on the microstructure and tensile properties of TiCp/Ti6Al4V composites fabricated by laser melting deposition. Optics & Laser Technology Sept. 2018, 105, 195–206. [CrossRef]
- Haase, F.; Siemers, C. , and J. Rösler. Laser powder bed fusion (LPBF) of commercially pure titanium and alloy development for the LPBF process. Front. Bioeng. Biotechnol. 2023, 11, 1260925. [Google Scholar] [CrossRef]
- ASzkliniarz, W. Szkliniarz. Carbon in Commercially Pure Titanium. Materials 2023, 16, 711. [Google Scholar] [CrossRef]
- Fogarassy, Z.; et al. . The structural and mechanical characterization of TiC and TiC/Ti thin films grown by DC magnetron sputtering. Journal of the European Ceramic Society 2018, 38, 2886–2892. [Google Scholar] [CrossRef]
- KVasanthakumar, S.R. Bakshi. Effect of C/Ti ratio on densification, microstructure and mechanical properties of TiCx prepared by reactive spark plasma sintering. Ceramics International 2018, 44, 484–494. [Google Scholar] [CrossRef]
- Guemmaz, M.; Mosser, A.; Boudoukha, L.; Grob, J.J.; Raiser, D. , and J. C. Sens. Ion beam synthesis of non-stoichiometric titanium carbide: composition structure and nanoindentation studies. Nuclear Instruments and Methods in Physics Research Section B: Beam Interactions with Materials and Atoms 1996, 111, 263–270. [Google Scholar] [CrossRef]
- Zhang, J.; Dong, H.; Li, X.; Wang, Z. , and X. Dong. First-principles study on the stability and mechanical properties of TiCxN1-x. J Mater Sci 2023, 58, 4474–4486. [Google Scholar] [CrossRef]
- Hashin, Z.; Shtrikman, S. A variational approach to the theory of the elastic behaviour of multiphase materials. Journal of the Mechanics and Physics of Solids Mar. 1963, 11, 127–140. [Google Scholar] [CrossRef]











| Hatching region | Contour | General parameters | |||
|---|---|---|---|---|---|
| VED [J/mm3] | Hatching distance [µm] | VED [J/mm3] | Layer thickness [µm] | Contour distance [µm] | Contour number [–] |
| 166.7 | 40 | 52 | 30 | 30 | 1 |
| Parameters | TiC45 AB | TiC23 AB | TiC45 HT | TiC23 HT |
|---|---|---|---|---|
| [Å] | 2.957 | 2.956 | 2.961 | 2.961 |
| [Å] | 4.698 | 4.698 | 4.707 | 4.706 |
| [-] | 1.589 | 1.589 | 1.590 | 1.589 |
| [Å] | 4.279 | 4.282 | 4.319 | 4.318 |
| * [Å] | 4.295 | 4.308 | 4.324 | 4.326 |
| [-] | 0.45 | 0.55 | 0.76 | 0.81 |
| [Å] | 4.321 | 4.310 | x | x |
| * [Å] | 4.326 | 4.326 | x | x |
| [-] | 1.00 | 1.00 | x | x |
| Sample | Sample density [%] | Hatching density [%] |
|---|---|---|
| TiC23 | 99.5 | 99.9 |
| TiC45 | 98.8 | 99.1 |
| TiC45 AB | TiC45 HT | TiC23 AB | TiC23 HT | Ti | |
|---|---|---|---|---|---|
| E300 [GPa] | 153±4 | 148±7 | 149±17 | 147±4 | 117±7 |
| E700 [GPa] | - | 149±9 | - | 149±3 | - |
| YS [MPa] | - | 700±74 | - | 806±20 | 512±6 |
| UTS [MPa] | 668±21 | 752±11 | 778±15 | 827±9 | 576±4 |
| e [%] | 0.5±0.0 | 1.3±0.1 | 0.7±0.1 | 1.7±0.2 | 29.3±3.1 |
Disclaimer/Publisher’s Note: The statements, opinions and data contained in all publications are solely those of the individual author(s) and contributor(s) and not of MDPI and/or the editor(s). MDPI and/or the editor(s) disclaim responsibility for any injury to people or property resulting from any ideas, methods, instructions or products referred to in the content. |
© 2024 by the authors. Licensee MDPI, Basel, Switzerland. This article is an open access article distributed under the terms and conditions of the Creative Commons Attribution (CC BY) license (http://creativecommons.org/licenses/by/4.0/).