Submitted:
01 August 2024
Posted:
01 August 2024
You are already at the latest version
Abstract
Keywords:
1. Introduction
2. Materials and Methods
2.1. Recipients
2.2. Donors
2.3. Pancreas Transplantation Technique
2.4. Immunosuppression
2.5. PCT Methodology
2.6. Estimation of Effective Radiation Dose (Radiation Exposure)
2.7. Statistical Analysis
3. Results
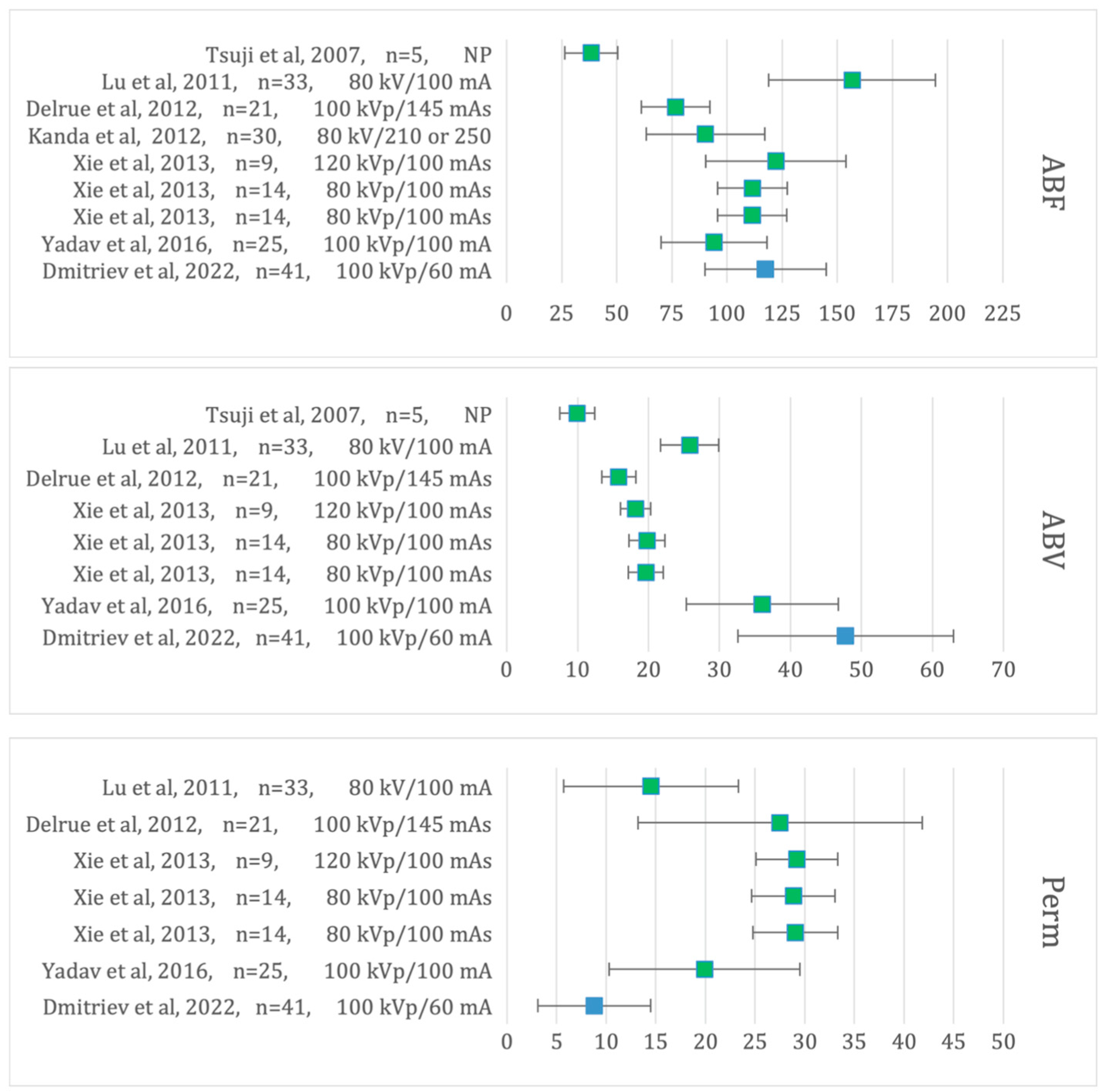
3.1. The Volumetric Perfusion Results of the Pancreas Graft
3.2. The Impact of the Timing of Pancreas Transplantation on the Volumetric Perfusion of Pancreas Graft
3.3. The Impact of the Revascularization Peculiarities on the Volumetric Perfusion of Pancreas Graft
3.4. The Impact of Donor-Related, Recipient-Related and Surgical Factors on the ABF Values of the Pancreas Graft
3.5. Effective Radiation Dose (Radiation Exposure)
4. Conclusion
Limitations of the Study
Author Contributions
Funding
Institutional Review Board Statement
Informed Consent Statement
Data Availability Statement
Acknowledgments
Conflicts of Interest
Abbreviations
| ABF | arterial blood flow. |
| ABV | arterial blood volume. |
| CT | computed tomography. |
| DLP | dose length product. |
| DM | diabetes mellitus. |
| ISABS | isolated splenic artery blood supply. |
| MRI | magnetic resonance imaging. |
| PCT | perfusion computed tomography. |
| PERM | permeability. |
| PG | pancreas graft. |
| ROI | regions of interest. |
| SPKT | simultaneous pancreas and kidney transplantation. |
References
- Boggi U, Vistoli F, Egidi FM, Marchetti P, De Lio N, Perrone V, Caniglia F, Signori S, Barsotti M, Bernini M, Occhipinti M, Focosi D, Amorese G. Transplantation of the pancreas. Curr Diab Rep 2012;12(5):568-79. [CrossRef]
- Papadimitriou JC, Drachenberg CB, Klassen DK, Gaber L, Racusen LC, Voska L, Cangro CB, Ramos E, Wali R, Weir MR, Bartlett ST. Histological grading of chronic pancreas allograft rejection/graft sclerosis. Am J Transplant 2003;3(5):599-605. [CrossRef]
- Patil DT, Yerian LM. Pancreas transplant: recent advances and spectrum of features in pancreas allograft pathology. Adv Anat Pathol 2010;17(3):202-8. [CrossRef]
- Miles KA, Hayball MP, Dixon AK. Measurement of human pancreatic perfusion using dynamic computed tomography with perfusion imaging. Br J Radiol 1995;68(809):471-5. [CrossRef]
- Tsushima Y, Miyazaki M, Taketomi-Takahashi A, Endo K. Feasibility of measuring human pancreatic perfusion in vivo using imaging techniques. Pancreas 2011;40(5):747-52. [CrossRef]
- Grözinger G, Grözinger A, Horger M. The role of volume perfusion CT in the diagnosis of pathologies of the pancreas. Rofo 2014;186(12):1082-93. [CrossRef]
- Tsuji Y, Yamamoto H, Yazumi S, Watanabe Y, Matsueda K, Yamamoto H, Chiba T. Perfusion computerized tomography can predict pancreatic necrosis in early stages of severe acute pancreatitis. Clin Gastroenterol Hepatol 2007;5(12):1484-92. [CrossRef]
- Lu N, Feng XY, Hao SJ, Liang ZH, Jin C, Qiang JW, Guo QY. 64-slice CT perfusion imaging of pancreatic adenocarcinoma and mass-forming chronic pancreatitis. Acad Radiol 2011;18(1):81-8. [CrossRef]
- Delrue L, Blanckaert P, Mertens D, Van Meerbeeck S, Ceelen W, Duyck P. Tissue perfusion in pathologies of the pancreas: assessment using 128-slice computed tomography. Abdom Imaging 2012;37(4):595-601. [CrossRef]
- Kanda T, Yoshikawa T, Ohno Y, Fujisawa Y, Kanata N, Yamaguchi M, Seo Y, Yano Y, Koyama H, Kitajima K, Takenaka D, Sugimura K. Perfusion measurement of the whole upper abdomen of patients with and without liver diseases: initial experience with 320-detector row CT. Eur J Radiol 2012;81(10):2470-5. [CrossRef]
- Xie Q, Wu J, Tang Y, Dou Y, Hao S, Xu F, Feng X, Liang Z. Whole-organ CT perfusion of the pancreas: impact of iterative reconstruction on image quality, perfusion parameters and radiation dose in 256-slice CT-preliminary findings. PLoS One 2013;8(11):e80468. [CrossRef]
- Yadav AK, Sharma R, Kandasamy D, Bhalla AS, Gamanagatti S, Srivastava DN, Upadhyay AD, Garg PK. Perfusion CT: can it predict the development of pancreatic necrosis in early stage of severe acute pancreatitis? Abdom Imaging 2015;40(3):488-99. [CrossRef]
- Pieńkowska J, Gwoździewicz K, Skrobisz-Balandowska K, Marek I, Kostro J, Szurowska E, Studniarek M. Perfusion-CT--Can We Predict Acute Pancreatitis Outcome within the First 24 Hours from the Onset of Symptoms? PLoS One 2016;11(1):e0146965. [CrossRef]
- Aslan S, Nural MS, Camlidag I, Danaci M. Efficacy of perfusion CT in differentiating of pancreatic ductal adenocarcinoma from mass-forming chronic pancreatitis and characterization of isoattenuating pancreatic lesions. Abdom Radiol (NY) 2019;44(2):593-603. [CrossRef]
- Li HO, Guo J, Sun C, Li X, Qi YD, Wang XM, Xu ZD, Chen JH, Liu C. Assessment of pancreatic adenocarcinoma: Use of low-dose whole pancreatic CT perfusion and individualized dual-energy CT scanning. J Med Imaging Radiat Oncol 2015;59(5):590-8. [CrossRef]
- Yadav AK, Sharma R, Kandasamy D, Pradhan RK, Garg PK, Bhalla AS, Gamanagatti S, Srivastava DN, Sahni P, Upadhyay AD. Perfusion CT - Can it resolve the pancreatic carcinoma versus mass forming chronic pancreatitis conundrum? Pancreatology 2016;16(6):979-987. [CrossRef]
- Kovač JD, Đurić-Stefanović A, Dugalić V, Lazić L, Stanisavljević D, Galun D, Mašulović D. CT perfusion and diffusion-weighted MR imaging of pancreatic adenocarcinoma: can we predict tumor grade using functional parameters? Acta Radiol 2019;60(9):1065-1073. [CrossRef]
- Bao J, Liu A, Zhao C, Hao F, Su X, Bao L, Zhao L. Correlation Between Dual-Energy Computed Tomography Single Scan and Computed Tomography Perfusion for Pancreatic Cancer Patients: Initial Experience. J Comput Assist Tomogr 2019;43(4):599-604. [CrossRef]
- Bize PE, Platon A, Becker CD, Poletti PA. Perfusion measurement in acute pancreatitis using dynamic perfusion MDCT. AJR Am J Roentgenol 2006;186(1):114-8. [CrossRef]
- Yin Y, Jiang J. JOG Technique Versus Nonspiral Axial Scan in Pancreatic Perfusion Computed Tomography Imaging and Their Preliminary Application. J Comput Assist Tomogr 2016;40(6):880-885. [CrossRef]
- Pinchuk AV, Dmitriev IV, Anisimov YA, Storozhev RV, Balkarov AG, Kondrashkin AS, Khodilina IV, Muslimov RS. Pancreas transplantation with isolated splenic artery blood supply - Single center experience. Asian J Surg 2020;43(1):315-321. [CrossRef]
- Muslimov RSH, Ternovoy SK, Serova NS, Anisimov YuA, Storozhev RV, Pinchuk AV. A technique of evaluating of pancreas graft perfusion using dynamic volume computed tomography. REJR 2017;7(4):74-82. Russian. [CrossRef]
- Doherty DT, Khambalia HA, Summers A, Moinuddin Z, Yiannoullou P, Krishnan A, Augustine T, Naish JH, van Dellen D. Future imaging modalities for the assessment of pancreas allografts a scan of the horizon. Transplant Rev (Orlando) 2022;36(2):100692. [CrossRef]

Radiologist 1,
Radiologist 2, ☐ median, rectangle – 25–75 %, segment – min–max, ○ outliers, * extreme points.
Radiologist 1,
Radiologist 2, ☐ median, rectangle – 25–75 %, segment – min–max, ○ outliers, * extreme points.
Radiologist 1,
Radiologist 2,.☐ median, rectangle – 25–75 %, segment – min–max, ○ outliers, * extreme points.
Radiologist 1,
Radiologist 2,.☐ median, rectangle – 25–75 %, segment – min–max, ○ outliers, * extreme points.

| Radiologist 1 | Radiologist 2 | P* | |
|---|---|---|---|
| ABF, mL/100 mL/min | 114 [98.8;130.3] | 116.3 [103.8;128.1] | 0.18 |
| ABV, mL/min | 47 [37.2;56.9] | 46.1 [38.2;56.9] | 0.24 |
| Perm, mL/100 mL/min | 8.5 [4.1;11.4] | 8.6 [4.2;11.4] | 0.12 |
| Parameter | Value | P*(h-b-t) | P*(h-b) | P*(b-t) | P*(h-t) | Р**(r1-r2) |
|---|---|---|---|---|---|---|
| Radiologist 1 | ||||||
| ABF (h), mL/100 mL/min | 116.9 [97.9;127.8] | 0.026 | 0.4 | 0.016+ | 0.01+ | 0.96 |
| ABF (b), mL/100 mL/min | 118.2 [101.9;134.3] | 0.81 | ||||
| ABF(t), mL/100 mL/min | 110.7 [96.5;129.8] | 0.003+ | ||||
| ABV(h), mL/min | 49.6 [36.7;57] | 0.16 | 0.064 | 0.38 | 0.046 | 0.64 |
| ABV(b), mL/min | 47.2 [33.9;55.2] | 0.52 | ||||
| ABV(t), mL/min | 42.4 [35.5;54] | 0.036+ | ||||
| Perm (h), mL/100 mL/min | 8.4 [4.1;11.3] | 0.8 | 0.92 | 0.12 | 0.37 | 0.55 |
| Perm (b), mL/100 mL/min | 8.3 [4.1;12] | 0.99 | ||||
| Perm (t), mL/100 mL/min | 8.5 [3.6;11.4] | 0.11 | ||||
| Radiologist 2 | ||||||
| ABF (h), mL/100 mL/min | 116.5 [101.1;131.2] | 0.84 | 0.25 | 0.61 | 0.24 | 0.96 |
| ABF (b), mL/100 mL/min | 117 [99.9;139] | 0.81 | ||||
| ABF(t), mL/100 mL/min | 118.4 [101.2;131.2] | 0.003+ | ||||
| ABV(h), mL/min | 47.2 [39.3;55] | 0.39 | 0.18 | 0.94 | 0.35 | 0.64 |
| ABV(b), mL/min | 45.1 [37.7;57.8] | 0.52 | ||||
| ABV(t), mL/min | 44.7 [38.9;59.3] | 0.036+ | ||||
| Perm (h), mL/100 mL/min | 9 [4.1;11.2] | 0.67 | 0.77 | 0.21 | 0.32 | 0.55 |
| Perm (b), mL/100 mL/min | 8.6 [4.4;12.1] | 0.99 | ||||
| Perm (t), mL/100 mL/min | 8.1 [3.8;11.4] | 0.11 | ||||
| Group I (n=15) |
Group II (n=14) |
Group III (n=12) |
P* | |
|---|---|---|---|---|
| Radiologist 1 | ||||
| ABF, mL/100 mL/min | 114.9 [98.8;130.3] |
123.1 [105.9;153.7] |
106.3 [95.6;128.5] |
0.37 |
| ABV, mL/min | 47 [33.6;56.9] |
45.3 [37.4;52.1] |
48.4 [33.7;61.9] |
0.92 |
| Perm, mL/100 mL/min | 5.1 [3.7;10.6] |
10.4 [8.4;11.3] |
9 [2.7;11.9] |
0.3 |
| Radiologist 2 | ||||
| ABF, mL/100 mL/min | 116.3 [108.9;127.8] |
123.6 [104.2;139.2] |
107.9 [95.6;129.9] |
0.32 |
| ABV, mL/min | 46.1 [38;61] |
44.7 [38.2;52.1] |
48.1 [36.3;60.2] |
0.85 |
| Perm, mL/100 mL/min | 7.4 [3.9;11.2] |
10.1 [8.4;11.4] |
9.3 [3.2;12.9] |
0.48 |
| Group | Radiologist | ABF, mL/100 mL/min | P* | ABV, mL/min | P* | Perm, mL/100 mL/min | P* |
|---|---|---|---|---|---|---|---|
| I (n=15) | 1 | 114.9 [98.8;130.3] | 0.21 | 47 [33.6;56.9] | 0.23 | 5.1 [3.7;10.6] | 0.29 |
| 2 | 116.3 [108.9;127.8] | 46.1 [38;61] | 7.4 [3.9;11.2] | ||||
| II (n=14) | 1 | 123.1 [105.9;153.7] | 0.38 | 45.3 [37.4;52.1] | 0.67 | 10.4 [8.4;11.3] | 0.81 |
| 2 | 123.6 [104.2;139.2] | 44.7 [38.2;52.1] | 10.1 [8.4;11.4] | ||||
| III (n=12) | 1 | 106.3 [95.6;128.5] | 0.67 | 48.4 [33.7;61.9] | 0.32 | 9 [2.7;11.9] | 0.12 |
| 2 | 107.9 [95.6;129.9] | 48.1 [36.3;60.2] | 9.3 [3.2;12.9] |
| Group IISABS, n=7 | Group IIY-graft, n=34 | P* | |
|---|---|---|---|
| Radiologist 1 | |||
| ABF, mL/100 mL/min | 128.1 [110.7;154] | 113 [97.8;127.6] | 0.15 |
| ABV, mL/min | 40.6 [33.6;65.6] | 47.1 [37.2;56.9] | 0.82 |
| Perm, mL/100 mL/min | 10.6 [3.7;11.8] | 8.5 [4.1;11.4] | 0.89 |
| Radiologist 2 | |||
| ABF, mL/100 mL/min | 126.7 [112.3;146.4] | 115 [101.8;127.8] | 0.28 |
| ABV, mL/min | 40.6 [32.8;67.1] | 46.1 [40.9;56.9] | 0.59 |
| Perm, mL/100 mL/min | 10.8 [3.7;11.7] | 8.6 [4.2;11.4] | 0.94 |
| Group | Radiologist | ABF, mL/100, mL/min | P* | ABV, mL/min | P* | Perm, mL/100 mL/min | P* |
|---|---|---|---|---|---|---|---|
| IISABS (n=7) | 1 | 128.1 [110.7;154] | 0.60 | 40.6 [33.6;65.6] | 0.46 | 10.6 [3.7;11.8] | 0.69 |
| 2 | 126.7 [112.3;146.4] | 40.6 [32.8;67.1] | 10.8 [3.7;11.7] | ||||
| IIY-graft (n=34) | 1 | 113 [97.8;127.6] | 0.06 | 47.1 [37.2;56.9] | 0.31 | 8.5 [4.1;11.4] | 0.07 |
| 2 | 115 [101.8;127.8] | 46.1 [40.9;56.9] | 8.6 [4.2;11.4] |
Disclaimer/Publisher’s Note: The statements, opinions and data contained in all publications are solely those of the individual author(s) and contributor(s) and not of MDPI and/or the editor(s). MDPI and/or the editor(s) disclaim responsibility for any injury to people or property resulting from any ideas, methods, instructions or products referred to in the content. |
© 2024 by the authors. Licensee MDPI, Basel, Switzerland. This article is an open access article distributed under the terms and conditions of the Creative Commons Attribution (CC BY) license (http://creativecommons.org/licenses/by/4.0/).