Submitted:
24 July 2024
Posted:
25 July 2024
You are already at the latest version
Abstract

Keywords:
1. Introduction
- risk knowledge through the identification of hazards, exposures, and vulnerability;
- forecast and monitoring of hydro-meteorological variables such as water stage, flow velocity, rainfall, etc., and data processing using computational models;
- dissemination and communication of alerts;
- reaction to the alerts issued.
- acquiring the NMB and the associated maximum expected cumulative depth and accumulation period from the QPF to derive an expected rainfall trajectory using DDF curves;
- retrieving the water stage at the OPP station at the time of issuing of the NMB, assessing the initial flow conditions (Q0) and identifying one out of 10 possible reference family of iso-critical discharge DDT curves (Qinit,DDT);
- deriving the expected hydrograph peak flow from the DDTs (Qpeak,DDT), based on the rainfall trajectory (point 1) and the selected reference family of DDT curves (point 2);
- associating Q0 (point 2) with one out of 4 possible initial discharge conditions (Qinit,FES) and Qpeak,DDT (point 3) with one of the 19 possible peaks values (Qpeak,FES), where Qinit,FES and Qpeak,FES are the values considered for the generation of the FESs for the pre-built library;
- retrieving from the library the expected FES associated to the paired Qinit,FES - Qpeak,FES values.
2. Materials and Methods
2.1. Study Area: The City of Palermo and the Oreto River Basin
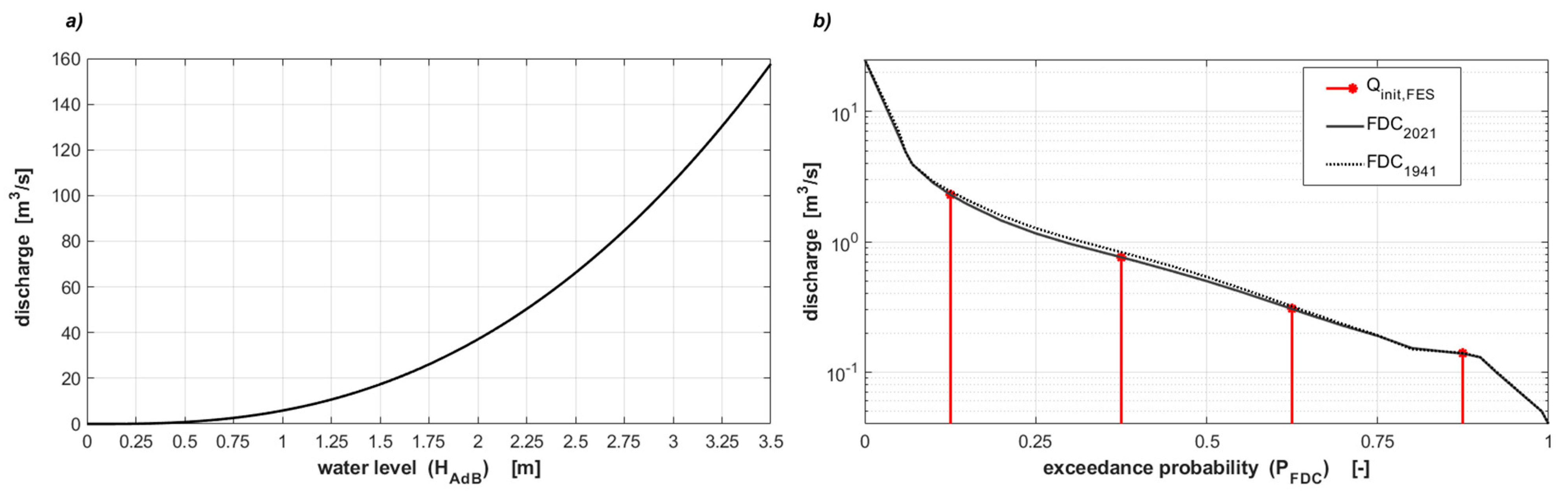
2.1.1. Flow Rating and Flow Duration Curves at OPP
2.1.2. Characterization of The Computational Domain
2.2. Rainfall Depth-Duration Thresholds
2.3. Flood Event Scenarios: Definition and Products
- a report table of “critical flooding points” (CPs), reporting the location (spatial coordinates, CPloc) and timing (CPtime, time in hours from the beginning of the rainfall) of all points along the river, where water level begins to exceed the bankfull stage, thus triggering the flood;
- a flood map, defining the flooding area extension and the maximum flood depth reached at each node of the full computational domain, classified according to following four classes: “low” (0.05 < h < 0.50 m); “moderate” (0.50 ≤ h < 1.00 m); “high” (1.00 ≤ h < 2.00 m); “extreme” (h ≥ 2.00 m). Each flood map also displays all the CPs occurring for the associated scenario;
- three specific hazard maps for people, vehicles and buildings, respectively.
2.4. Architecture of the Early Warning System
2.5. Generation of the Pre-Built Library of FESs
- hydrological study aimed to: i) derive six representative hydrographs at the ICS with different return periods (i.e., 10, 25, 50, 100, 300, and 500 years), and ii) evaluate the scaling factor, kp, between the peak flow at the ICS and the OPP section;
- normalization of the obtained hydrographs and estimation of a standard Unit Hydrograph (UH);
- scaling procedure application to the standard UH in order to obtain a set of 19 design hydrographs with peak flow (Qpeak,FES) varying from 100 to 1,000 m3/s with steps of 50 m3/s;
- hydraulic modelling to simulate the propagation of the 19 hydrographs within the computational domain, under the four alternative initial conditions defined in Table 1 (i.e., QLF, QLM, QMH, and QHF);
- derivation of the FES products defined in Sect. 2.3 (Figure 4) from each simulation;
- generation of the FESs library, where a label, given by paired Qinit,FES and Qpeak,FES values, is associated with each of the 76 generated scenarios (19 Qpeak,FES x 4 Qinit,FES).
2.5.1. Generation of the Design Hydrographs
2.5.2. Hydraulic Modelling
3. Results
3.1. Analysis of the Critical Flooding Points
3.2. Floodable Areas and Hazard Variability across Different FESs
3.3. Testing the EWS with a Historical Event
4. Discussion
5. Conclusions
Author Contributions
Funding
Data Availability Statement
Acknowledgments
Conflicts of Interest
References
- European Commission, (2020). Datasets, ESM 2015-2019, https://ghsl.jrc.ec.europa.eu/esm_R2019.php.
- Pumo, D.., and Noto, L.V., (2021) Exploring the linkage between dew point temperature and precipitation extremes: A multi-time-scale analysis on a semi-arid Mediterranean region. Atmospheric Research 254: 105508. [CrossRef]
- Noto, L. V., Cipolla, G., Francipane, A., & Pumo, D. (2023). Climate change in the mediterranean basin (part I): Induced alterations on climate forcings and hydrological processes. Water Resources Management, 37(6), 2287-2305, 10.1007/s11269-022-03400-0.
- Noto, L. V., Cipolla, G., Pumo, D., & Francipane, A. (2023). Climate change in the Mediterranean Basin (Part II): A review of challenges and uncertainties in climate change modeling and impact analyses. Water Resources Management, 37(6), 2307-2323, 10.1007/s11269-023-03444-w.
- UN DESA (2018), 2018 Revision of World Urbanization Prospects; UN DESA Publication. Available from: https://www.un.org/en/desa/2018-revision-world-urbanization-prospects. (accessed on 12 June 2024).
- Pumo D., Arnone E., Francipane A., Caracciolo D., Noto L.V. (2017), Potential implications of climate change and urbanization on watershed hydrology, Journal of Hydrology, 554: 80-99. [CrossRef]
- Arnone, E., Pumo, D., Francipane, A., La Loggia, G., Noto, L. (2018). The role of urban growth, climate change, and their interplay in altering runoff extremes. Hydrological Processes, 32(12), 1755-1770, 10.1002/hyp.13141.
- ISPRA (2018). Landslides and floods in Italy: Hazard and Risk Indicators - Summary Report 2018. ISPRA Rapporti 287/bis/18 by Trigila A. and Iadanza C.; ISPRA: Rome, Italy, 2018; ISBN 978-88-448-0934-8. Available from: https://www.isprambiente.gov.it/en/publications/reports/landslides-and-floods-in-italy-hazard-and-risk-indicators-2013-summary-report-2018 (accessed on 12 June 2024).
- UNISDR, (2012). Towards a Post-2015 Framework for Disaster Risk Reduction. The United Nations Office for Disaster Risk Reduction. Available from: https://www.undrr.org/publication/towards-post-2015-framework-disaster-risk-reduction. (accessed on 12 June 2024).
- Kundzewicz, Z.W. (2002). Non-structural Flood Protection and Sustainability. Water International, 27 (1). [CrossRef]
- Pumo, D. , Francipane, A., Lo Conti, F., Arnone, E., Bitonto, P., Viola, F., et al. (2016). The SESAMO early warning system for rainfall-triggered landslides. Journal of Hydroinformatics, 18(2), 256-276, 10.2166/hydro.2015.060.
- Acosta-Coll, M., Ballester-Merelo, F., Martinez-Peiró, M., de La Hoz-Franco, E., (2018), Real-Time Early Warning System Design for Pluvial Flash Floods-A Review. Sensors, 18 (7), 2255. [CrossRef]
- Keil, C. , and Craig, G.C., (2011). Regime-dependent forecast uncertainty of convective precipitation. Meteorologische Zeitschrift, 20 (2), 145-151. [CrossRef]
- Silvestro, F., Rebora, N., Cummings, G., Ferraris, L. (2017). Experiences of dealing with flash floods using an ensemble hydrological nowcasting chain: implications of communication, accessibility and distribution of the results. J Flood Risk Manag 10(4):446–462. [CrossRef]
- Norbiato, D. , Borga, M., Degli Esposti, S., Gaume, E., Anquetin, S., (2008). Flash flood warning based on rainfall depth-duration thresholds and soil moisture conditions: an assessment for gauged and ungauged basins. Journal of Hydrology 362 (3–4), 274–290. [CrossRef]
- Zanchetta, A.D.L.; Coulibaly, P. (2020). Recent Advances in Real-Time Pluvial Flash Flood Forecasting. Water, 12, 570. [CrossRef]
- Alfieri, L. , Salamon, P., Pappenberger, F., Wetterhall, F., Thielen, J., (2012). Operational early warning systems for water-related hazards in Europe. Environ. Sci. Policy 21, 35–49, 10.1016/j.envsci.2012.01.008.
- Alfieri, L.; Thielen, J. (2015). A European precipitation index for extreme rain-storm and flash flood early warning. Meteorol. Appl., 22, 3–13. [CrossRef]
- Georgakakos, K.P. , (2006). Analytical results for operational flash flood guidance. J. Hydrol. 317(1), 81–103. [CrossRef]
- Gourley, J.J., Erlingis, J.M., Hong, Y., Wells, E.B. (2012). Evaluation of tools used for monitoring and forecasting flash floods in the United States. Weather Forecast, 27, 158–173. [CrossRef]
- Reed, S. , Schaake, J., Zhang, Z., (2007) A distributed hydrologic model and threshold frequency-based method for flash flood forecasting at ungauged locations. J. Hydrol. 337, 402–420. [CrossRef]
- Javelle, P. , Demargne, J., Defrance, D., Pansu, J., Arnaud, P., (2014). Evaluating flash-flood warnings at ungauged locations using post-event surveys: A case study with the AIGA warning system. Hydrol. Sci. J. 2014, 59 (7), 1390–1402, 10.1080/02626667.2014.923970.
- Heuvelink, D., Berenguer, M., Brauer, C., & Uijlenhoet, R. (2020). Hydrological application of radar rainfall nowcasting in The Netherlands. Environment International, 136, 105431. [CrossRef]
- Berenguer, M. , Sempere-Torres, D., Pegram, G.G., (2011). SBMcast – an ensemble nowcasting technique to assess the uncertainty in rainfall forecasts by Lagrangian extrapolation. J. Hydrol. 404, 226–240. [CrossRef]
- Vivoni, E.R., Entekhabi, D., Bras, R.L., Ivanov, V.Y., Van Horne, M.P., Grassotti, C., Hoffman, R.N., (2006). Extending the predictability of hydrometeorological flood events using radar rainfall nowcasting. J. Hydrometeorol. 7, 660–677. [CrossRef]
- Rebora, N., Ferraris, L., von Hardenberg, J., Provenzale, A. (2006). RainFARM: Rainfall downscaling by a Filtered Autoregressive Model. J. Hydrometeorol., 7, 724–738. [CrossRef]
- Silvestro, F., Rossi, L., Campo, L., Parodi, A., Fiori, E., Rudari, R., Ferraris, L. (2019). Impact-based flash-flood forecasting system: Sensitivity to high resolution numerical weather prediction systems and soil moisture, Journal of Hydrology, 572, 388-402. [CrossRef]
- Spyrou, C., Varlas, G., Pappa, A., Mentzafou, A., Katsafados, P., Papadopoulos, A., Anagnostou, M.N., Kalogiros, J., (2020). Implementation of a Nowcasting Hydrometeorological System for Studying Flash Flood Events: The Case of Mandra, Greece. Remote Sens. 2020, 12, 2784. [CrossRef]
- Hofmann, J. , Schüttrumpf, H., (2019). Risk-Based Early Warning System for Pluvial Flash Floods: Approaches and Foundations, Geosciences 9, 3: 127. [CrossRef]
- Massazza, G., Tamagnone, P., Wilcox, C., Belcore, E., Pezzoli, A., Vischel, T., Panthou, G., Housseini Ibrahim, M., Tiepolo, M., Tarchiani, V., et al. (2019). Flood hazard scenarios of the Sirba river (Niger): Evaluation of the hazard thresholds and flooding areas. Water, 11 (5), 1018. [CrossRef]
- USACE (2000). Hydrologic Modeling System HEC-HMS, Technical Reference Manual by Feldman A.D., March 2000, U.S. Army Corps of Engineers, Hydrologic Engineering Center, HEC, Available from: https://www.hec.usace.army.mil/software/hec-hms/documentation. (accessed on 12 June 2024).
- USACE (2016). HEC-RAS, River Analysis System Hydraulic Reference Manual, Technical Reference Manual by Brunner, G.W, February 2016, U.S. Army Corps of Engineers, Hydrologic Engineering Center, HEC, Available from: https://www.hec.usace.army.mil/software/hec-hms/documentation. (accessed on 12 June 2024).
- Russo, B.; Gómez, M.; Macchione, F. (2013). Pedestrian hazard criteria for flooded urban areas. Nat. Hazards, 69, 251–265. [CrossRef]
- Blanco-Vogt, A. , & Schanze, J. (2014). Assessment of the physical flood susceptibility of buildings on a large scale—Conceptualand methodological frameworks. Natural Hazards and Earth System Sciences, 14(8), 2105–2117. [CrossRef]
- Xia, J.; Falconer, R.A.; Wang, Y.; Xiao, X. (2014). New criterion for the stability of a human body in floodwaters. J. Hydraul. Res., 52, 93–104, 10.1080/00221686.2013.875073.
- Xia, J.; Falconer, R.A.; Xiao, X.; Wang, Y. (2014). Criterion of vehicle stability in floodwaters based on theoretical and experimental studies. Natural Hazards: Journal of the International Society for the Prevention and Mitigation of Natural Hazards, 70 (2), 1619–1630. [CrossRef]
- Milanesi, L.; Pilotti, M.; Bacchi, R. (2016). Using web-based observations to identify thresholds of a person’s stability in a flow. Water Resour. Res. 2016, 52, 7793–7805. [CrossRef]
- Martínez-Gomariz, E., Gómez, M. & Russo, B. (2016). Experimental study of the stability of pedestrians exposed to urban pluvial flooding. Nat Hazards 82, 1259–1278. [CrossRef]
- Martínez-Gomariz, E.; Gómez, M.; Russo, B.; Djordjevi ́c, S. (2017). A new experiments-based methodology to define the stability threshold for any vehicle exposed to flooding. Urban Water J., 14, 930–939. [CrossRef]
- Chanson, H.; Brown, R. (2018). Stability of Individuals during Urban Inundations: What Should We Learn from Field Observations? Geosciences, 8 (9), 341. [CrossRef]
- Chen, Q. , Xia, J., Falconer R. A., Guo, P. (2018). Further improvement in a criterion for human stability in floodwaters. J Flood Risk Management. 2019; 12: e12486. [CrossRef]
- Leal, M. , Reis, E., Pereira, S., Santos, P.P., (2021). Physical vulnerability assessment to flash floods using an indicator-based methodology based on building properties and flow parameters. J Flood Risk Management.2021;14: doi/10.1111/jfr3.12712.
- Forestieri, A. , Caracciolo D., E. Arnone, Noto L.V., (2016). Derivation of Rainfall Thresholds for Flash Flood Warning in a Sicilian Basin Using a Hydrological Model. Procedia Engineering, 154, 818-825. [CrossRef]
- INRIX, 2022. Inrix 2022 Global Traffic Scorecard. Avaialble online at: https://inrix.com/scorecard. (accessed on 12 June 2024).
- Francipane, A., Pumo, D., Sinagra, M., La Loggia, G., and Noto, L.V. (2021). A paradigm of extreme rainfall pluvial floods in complex urban areas: The flood event of 15 July 2020 in Palermo (Italy). Natural Hazards and Earth System Sciences, 21 (8), 2563-2580.
- Pumo D., Viola F., La Loggia G., Noto L.V. (2014). Annual flow duration curves assessment in ephemeral small basins. Journal of Hydrology, 519 (Part A): 258-270. [CrossRef]
- Chow, V. T. (1959). Open-channel hydraulics. McGraw-Hill Book Co., New York, N.Y.
- Martina, M.L.V. , Todini, E. Libralon, A. (2006). A Bayesian decision approach to rainfall thresholds based flood warning, Hydrol. Earth Syst. Sci. 10 (3), 413-426. [CrossRef]
- Norbiato, D. , Borga, M., Degli Esposti, S., Gaume, E., Anquetin, S., (2008). Flash flood warning based on rainfall depth-duration thresholds and soil moisture conditions: an assessment for gauged and ungauged basins. Journal of Hydrology 362 (3–4), 274–290. [CrossRef]
- Montesarchio, V., Lombardo, F., Napolitano, F. (2009). Rainfall thresholds and flood warning: an operative case study, Nat. Hazards Earth Syst. Sci., 9, 135–144. [CrossRef]
- Noto, L. V. (2014). Exploiting the Topographic Information in a PDM-Based Conceptual Hydrological Model, J. Hydrol. Eng. 19 (6). [CrossRef]
- Radice, A.; Longoni, L.; Papini, M.; Brambilla, D.; Ivanov, V.I. Generation of a Design Flood-Event Scenario for a Mountain River with Intense Sediment Transport. Water 2016, 8, 597. [Google Scholar] [CrossRef]
- Yin, J. , Yu, D., Yin, Z., Wang, J., Xu, S., (2015). Modelling the anthropogenic impacts on fluvial flood risks in a coastal mega-city: A scenario-based case study in Shanghai, China. Landscape and Urban Planning, 136. [CrossRef]
- Salvati, P., Petrucci, O., Rossi, M., Bianchi, C., Pasqua, A. A., & Guzzetti, F. (2018). Gender, age and circumstances analysis of flood and landslide fatalities in Italy. Science of the total environment, 610, 867-879. [CrossRef]
- DEFRA,(2006). Flood Risks to People, Phase 2, FD2321/TR2 Guidance Document. Defra and UK Environment Agency: Flood and Coastal Defence R&D Programme. Published by the Department for Environment, Food and Rural Affairs. Printed in the UK (March, 2006). PB NO. 11545. Authors: HR Wallingford, Flood Hazard Research Centre, Middlesex University, Risk & Policy Analysts Ltd. Available on the Defra website: www.defra.gov.uk/environ/fcd/research. (accessed on 12 June 2024).
- Reiter, P. (2000). International methods of Risk Analysis, Damage evaluation and social impact studies concerning Dam-Break accidents. EU-Project RESCDAM. Helsinki PR Water Consulting.
- Maijala, T. (2001) Rescdam: Development of rescue actions based on dam-break flood analysis. Final Report, Grant agreement no.650. Subv 99/52623 Community Action Programme in the field of civil protection, Helsinki: Finnish Environment Institute. Available online at: https://civil-protection-humanitarian-aid.ec.europa.eu/system/files/2014-11/rescdam_rapportfin.pdf. (accessed on 12 June 2024).
- Clausen,L. and Clark, P.B. (1990) The development of criteria for predicting dam break flood damages using modelling of historical dam failures in the international conference on River Flood Hydraulics, edited by W.R. White, 17-20 September, 1990. John Wiley & Stons Ltd, Hydraulics Research Limited, 1990. Pp. 369-380.
- Forestieri, A. , Lo Conti, F., Blenkinsop, S., Cannarozzo, M., Fowler, H.J. and Noto, L.V. (2018) Regional frequency analysis of extreme rainfall in Sicily (Italy). International Journal of Climatology, 38, e698–e716. [CrossRef]
- SCS (1993). Soil Conservation Service (SCS). Hydrology. In National Engineering Handbook; Soil Conservation Service, USDA: Washington, DC, USA, 1993; Section 4, Chapter 4.
- Brocca, L., Liersch, S., Melone, F., Moramarco, T., and Volk, M. (2013). Application of a model-based rainfall-runoff database as efficient tool for flood risk management. Hydrol. Earth Syst. Sci., 17, 3159–3169. [CrossRef]














| Discharge classes | Discharge at OPP | Qinit,FES | ||||
| frequency - FDC | [m3/s] | symbol | [m3/s] | PFDC,2021 | ||
| low flow | LF | Q0 < Q274 | Q0 < 0.19 | QLF = | 0.14 | 0.875 |
| low-medium flow | LM | Q274 ≤ Q0 < Q185 | 0.19 ≤ Q0 < 0.50 | QLM = | 0.31 | 0.625 |
| medium-high flow | MH | Q185 ≤ Q0 < Q91 | 0.50 ≤ Q0 < 1.16 | QMH = | 0.76 | 0.375 |
| high flow | HF | Q0 ≥ Q91 | Q0 > 1.16 | QHF = | 2.30 | 0.125 |
| Initial Discharge for the DDT [m3/s] | ||||||
| Qinit,DDT1 | = | 0.05 | Qinit,DDT6 | = | 0.77 | |
| Qinit,DDT2 | = | 0.15 | Qinit,DDT7 | = | 1.06 | |
| Qinit,DDT3 | = | 0.23 | Qinit,DDT8 | = | 1.58 | |
| Qinit,DDT4 | = | 0.36 | Qinit,DDT9 | = | 2.90 | |
| Qinit,DDT5 | = | 0.54 | Qinit,DDT10 | = | 7.00 | |
| Feature | SB1 | SB2 |
|---|---|---|
| Area [km2] | 84.76 | 26.14 |
| Length [km] | 20.11 | 13.86 |
| Average Elevation [m. a.s.l.] | 500 | 385 |
| Tc [h] | 4 | 3 |
| CNII | 79.38 | 77.27 |
| CNIII | 88.18 | 87.65 |
| Impervious Area [%] | 1.33% | 11.04% |
| Time of evaluation EWS | [year/month/day h:min] | 02/11/2018 12:00 | 03/11/2018 12:00 | |
| Actual pre-announcement time | [h] | 33 | 9 | |
| Reference Bulletins | NMB1 | NMB2 | ||
| Max. expected cumulative rainfall | Ec | [mm] | 130 | 65 |
| Max. expected accumulation period | dNMB | [h] | 24 | 12 |
| Regional growth curve factor (DDF) | Kt | [-] | 1.835 | 1.178 |
| Water stage at OPP | HAdB | [m] | 0.96 | 0.74 |
| Init. discharge at the OPP | Q0 | [m3/s] | 5.22 | 2.54 |
| Initial condition for FES selection | Qinit,FES | QHF | QHF | |
| Initial condition for DDT | Qinit,DDT | Qinit,DDT10 | Qinit,DDT09 | |
| Peak Discharge at OPP | Qpeak,DDT | [m3/s] | 288 | 125 |
| Peak Discharge at ICS | Qpeak,ICS | [m3/s] | 383 | 166 |
| Peak Discharge for FES selection | Qpeak,FES | [m3/s] | 400 | 200 |
| Selected FES from the Library | FES | Q0400HF | Q0200HF | |
Disclaimer/Publisher’s Note: The statements, opinions and data contained in all publications are solely those of the individual author(s) and contributor(s) and not of MDPI and/or the editor(s). MDPI and/or the editor(s) disclaim responsibility for any injury to people or property resulting from any ideas, methods, instructions or products referred to in the content. |
© 2024 by the authors. Licensee MDPI, Basel, Switzerland. This article is an open access article distributed under the terms and conditions of the Creative Commons Attribution (CC BY) license (http://creativecommons.org/licenses/by/4.0/).
