Preprint
Article

This version is not peer-reviewed.

Using Light as a Medium to Convey Its Dark Side—A Light Festival Case Study

A peer-reviewed article of this preprint also exists.

Submitted:

17 July 2024

Posted:

18 July 2024

You are already at the latest version

Abstract
An online survey assessed the awareness of Nelson region’s residents, comparing responses between those who experienced the installation and those who did not. Findings indicated that eco-art installations can significantly enhance public understanding of ALAN's environmental and health impacts. The installation successfully increased specific knowledge about ALAN, with 92% of visitors reporting learning something new, however overarching knowledge and levels of concern were largely similar between the groups. Emotional engagement was high, with 62% of viewers stating that the installation invoked an emotional response. While the study did not measure behavioural changes, 94% of festival participants found it at least ‘somewhat appropriate’ and 64% ‘very’ or ‘entirely appropriate’ to raise awareness of these issues at such events, suggesting a potential foundation for future action. This research underscores the promise of art-science collaborations in environmental education and public engagement.
Keywords: 
;  ;  ;  ;  

1. Introduction

The introduction should briefly place the study in a broad context and highlight why it is important. It should define the purpose of the work and its significance. The current state of the research field should be carefully reviewed and key publications cited. Please highlight controversial and diverging hypotheses when necessary. Finally, briefly mention the main aim of the work and highlight the principal conclusions. As far as possible, please keep the introduction comprehensible to scientists outside your particular field of research. References should be numbered in order of appearance and indicated by a numeral or numerals in square brackets—e.g., [1] or [2,3], or [4,5,6]. See the end of the document for further details on references.
The pervasive use of artificial light at night has dramatically increased night-time radiance across much of the Earth’s surface. While anthropogenic light serves important functions such as enhancing orientation, road safety, and the perception of personal safety, it also poses significant negative impacts. Consequences of lighting the night sky above natural levels include adverse effects on human well-being, the diminishing aesthetics of the night sky, and limitations on celestial observations for astronomers and indigenous communities with cultural ties to the night sky [1,2]. Additionally, a growing body of evidence documents that excessive artificial light at night detrimentally affects the flora and fauna around us [3,4,5]. These negative, unintended, consequences of excess anthropogenic light at night are sometimes referred to as light pollution.
Despite calls for New Zealand to become a Dark Sky Nation [6], efforts to reduce light pollution are hindered by a lack of public awareness regarding its impacts and possible mitigation options [7]. Rapid enhancement of awareness and public engagement is crucial to preserving our right to access the night sky and mitigating its negative impacts.
Art can help shift public awareness and attitudes towards environmental issues. Artists around the globe have used various media to capture the beauty of the natural world and highlight the destructive effects of anthropogenic impacts, such as pollution and climate change. The arts are widely adopted as a way of science communication see review in [8], particularly as related to threatened species and climate change e.g. see [9,10,11]. Artistic expressions can evoke powerful emotions and empathy, that help foster a deeper connection between people and the natural world [12]. Through such emotional engagement, art installations and exhibitions can raise awareness of the environmental impacts of human activities and inspire action to mitigate these effects.
Light has long fascinated humans [13,14]. We can leverage this fascination to convey environmental messages about the adverse impacts of light pollution. Light installations at festivals offer a unique method to raise awareness. By transforming familiar places into enchanting wonderlands [13,14], such light installations can attract large audiences at the same time as addressing the negative impacts of artificial light such as increased energy consumption and ecological disruption. The large number of people that visit such places, likely include people who may otherwise not frequently encounter science outreach. By being temporary, these installations do not create lasting negative impacts themselves but can serve to increase awareness and a call to action. Individuals’ (re)actions may include changes in their own behaviour, and/or calling on governments and organisations to lead the way in terms of change in the use of light at night.
In this study, we evaluated the effectiveness of a light installation at a local light festival in increasing public awareness of the negative impacts of anthropogenic light at night. The installation, titled ‘Scope,’ was part of Te Ramaroa festival (July 2023), which is held every two years in Nelson, New Zealand, to celebrate light at the depth of winter. The installation informed visitors about the many negative aspects of anthropogenic light while using light as a medium to transfer that message, as a deliberate, somewhat ironic point in case. We also conducted an online survey to assess the awareness of residents in the Nelson region, comparing responses between those who experienced the ‘Scope’ installation and those who did not, and assessing the impact of the installation on the participants’ knowledge on anthropogenic light at night.

2. Materials and Methods

2.1. Description of the Scope Installation

Klaasz Breukel’s installation Scope comprised of a tall pillar-like installation (approximately 2.0 x 0.5 x 0.5 m), made from plywood and finished with black and white paint, invoking the contrast of night and day. The installation featured 12 peepholes, and was hosted in an indoor venue of the festival. Festival attendants could peek into each one of the peepholes to find gently backlit slides with short statements/facts about negative consequences of anthropogenic light at night (light pollution). The installation also projected a slideshow on the wall opposite the installation, featuring further facts and additional detail on the impacts of light at night. In this way the installation demonstrated both externally projected light (potentially ‘polluting’) and internalised light (‘non polluting’). Each peephole and slide presented a scientific fact related to an impact of light at night in a concise, illustrated and hopefully visually attractive manner. Based on scientific literature, each statement was short and easy to read for people ‘on the go’ with limited amount of time.
Examples of statements used, include ‘Artificial lights can disrupt the migration of birds, causing them to stray off course and leave too early or too late in the season’, and ‘Artificial light and a night can throw off a plant’s natural cycle and response to the change of seasons. This then affects all animals that depend on this plant’.
The installation intended to evoke the curiosity of people of all ages, with the height determining who could easily access which parts of the installation. For example, young children were encouraged to interact with the installation by going around the peepholes at their height and finding the pictures with the kiwi bird in it while their parents might try to access one of the higher peepholes. At each of the five nights of the festival, either of the authors (artist/researcher KB, or researcher EC) were present at the installation to engage in conversations with participants and provide context for the installation. Visitors were invited to participate in a questionnaire and given a small card with a QR code and weblink to the online questionnaire (see below). The cards were also available in a holder on the installation, so that people could access the questionnaire invitation even if the installation wasn’t supervised. In addition, the QR code was presented in the slide show on the opposing wall. Elsewhere on the festival terrain, these same cards were handed out to festivalgoers, with the question to fill out the questionnaire.

2.2. Participant Recruitment

We sought participants 16 years and over living in the Nelson-Tasman-Marlborough region (Te Tau Ihu o Te Waka a Māui) of New Zealand. We were interested to hear from people who attended Te Ramaroa Light Festival Nelson (July 2023) and people who did not. To recruit participants, we advertised the online survey both online and physically:
1)
during Te Ramaroa festival (30 June – 4 July 2023), where we handed out small cards with a QR code and weblink to the survey;
2)
in the physical marketing material, website and social media content provided by the Te Ramaroa festival organisers;
3)
through neighbourhood social media groups on Facebook, and advertisements in free local newspapers.
Survey invitations and announcements were phrased neutrally with respect to light and dark, so as not to bias responses. For example: “The aim of this study is to assess people’s perception of attitude to light and dark at night. We hope to better understand how important the different uses of light and darkness at night are to you, the underlying reasons of these attitudes, and whether they are adaptable.” and “What is the power of light and dark at night?” and “This survey is part of a research study that aims to assess people’s perception of light and dark at night. What motivates us to illuminate our surroundings, and when do we prefer to keep things dark?”
The online survey was hosted on SurveyMonkey, was anonymous and internet protocol (IP) addresses were not collected. However, as a reward for their time, participants who completed the survey were free to leave their email addresses to go into the draw for one of five NZ$100 gift vouchers. Survey data were received on a single source file handled by the research lead (EC), who unlinked the personal details (used only for the prize purposes) from the responses that were submitted.

2.3. Participant Recruitment

The online survey instrument consisted of a series of 5-point unipolar rating questions, in addition to some background questions. The survey instrument employed a combination of existing questions from the literature and new questions. Existing instruments did not adequately cover the content, and were framed narrowly around ‘light pollution’ [15,16,17,18]. Our approach required a more neutral framing, hence we used and rephrased questions from the existing instruments, and designed additional novel questions to effectively reach the target population. The usability and technical functionality of the electronic survey instrument was tested in the field and the phrasing of questions was amended according to feedback to improve clarity. The landing page of the questionnaire included the estimated completion time (10-15 min), and details about the purpose of the study. Informed consent to participation was implicit through submission of the online questionnaire. The study was approved by the Te Pūkenga Nelson-Marlborough Institute of Technology Research & Ethics Committee.
Figure 1. The Scope installation at Te Ramaroa Festival 2023. (a) Conceptual diagram; (b) The Scope installation, including examples of statements in the peepholes, and a visitor viewing through a peephole while the accompanying slide show is presenting on the opposite wall.
Figure 1. The Scope installation at Te Ramaroa Festival 2023. (a) Conceptual diagram; (b) The Scope installation, including examples of statements in the peepholes, and a visitor viewing through a peephole while the accompanying slide show is presenting on the opposite wall.
Preprints 112479 g001
The final survey consisted of five sections:
  • Demographics and background (age, gender, highest education, affinity with nature, place of residence);
  • Knowledge of and concern about unintended consequences of light at night;
  • Perceptions of the light-scape and of functions of light and darkness in the participant’s neighbourhood/place of residence. Results on this section are not included in the current study;
  • Participants of the survey were asked whether they attended Te Ramaroa Light festival and whether they engaged with the ‘Scope’ installation, in which case they were asked some specific questions about this installation;
  • For those people who attended Te Ramaroa, additional questions were asked about the light festival itself. These responses were for the benefit of the festival organisers only, and are not reported on here.
Since all questions were compulsory, there were no missing data. We asked participants whether they were aware of various potential negative consequences of light at night, and if they noted they were aware, we followed up with a question regarding their level of concern about this consequence. For each consequence, we combined these questions to get one measure of concern, by considering those who reported not to be aware of a negative impact of ALAN to also have no concern about such impacts. Open text box answers with details about the participants’ reported emotional response to the installation were coded according to the 34 emotional categories reported by Cowen & Keltner [19] and these results were qualitatively described only, due to the small sample size.

2.4. Analysis

We assessed to what extent the ‘Scope’ light installation at a local light festival (Te Ramaroa, Nelson, New Zealand) affected the participants’ awareness of unintended negative impacts of light at night. We report quantitative data as median and interquartile range or absolute frequency and percentage, as appropriate. To allow comparison of the different participant groups, we first assessed whether these groups differed in background and demographics.
Tests of independence were used to assess differences in background and demographics for the participant in the different groups (group A: those who visited Te Ramaroa vs group B those who didn’t; and for those who did – whether they visited Scope or not). A Chi-square test was conducted for categorical variables (gender, working day); and if the variable was ordered (age group, education, nature relationship, urban-rural gradient) a linear-by-linear association test was used [20], using the lbl_test function in the coin package [21]. In both cases, an asymptotic distribution was used to estimate the statistic and p-value, following [22]. Since background and demographic variables did not differ between participant groups, we then used the same tests to assess whether festivalgoers and participants engaging with the Scope installation differed in knowledge (Chi-square) and extent of concern (linear-by-linear association test) for each of nine categories of unintended consequences of light at night with other participants. All analyses were conducted in R version 4.4.0 [23].

3. Results

In total, 329 participants completed the survey, of which 222 (67.5%) attended the light festival (Group A) and 107 (32.5%) did not attend. Of the festival participants, 107 engaged with the Scope installation and 115 did not (35% and 32.5% of respondents, respectively). Due to the recruitment process, the response rate was not calculable. Completion rate of the survey was high at 79%. The survey had a margin of error of 5% at a 95% confidence level.
The majority of respondents were female (70.5%), and the overwhelming majority of respondents resided in Nelson city (90.9%). Respondent median age was 45 years (interquartile range 30-55 years). Demographics and background variables age, education, working day and connectedness to nature did not differ between the participants who visited or did not visit Te Ramaroa (Group A vs B), nor between those who visited the Scope installation at the festival vs other festival participants (Group A1 vs A2). However, participants who visited Te Ramaroa were significantly more likely to live in suburban and inner city areas, compared with participants who did not attend the festival (see Supplementary Information, Table S1).
Almost half (n = 115) of the festival-going respondents did not engage with the Scope installation for reasons unspecified. This was not unexpected, as the festival was spread out over the city, and hence not all visitors would have been near the installation, which was housed in the Arts and Media building, or it may have been busy in this part of the building when they were there. Of the 107 respondents who engaged with Scope, 92% self-reported that the installation had taught them at least something new about the unintended consequences of light at night (with 67 participants reporting some new information, 27 a lot of information, and four participants stating that all the information was new to them; an additional five festivalgoers responded they already knew all the content, and four ‘did not remember’).
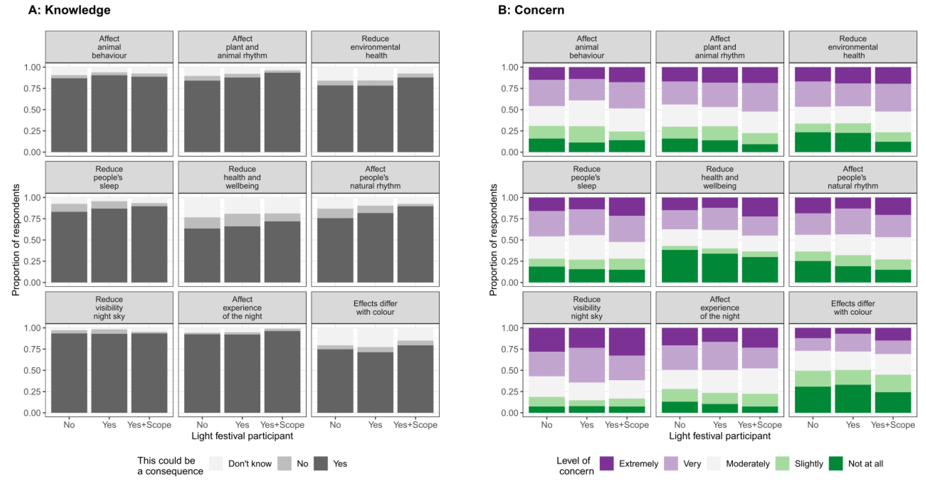
All participants were asked whether they considered each of nine categories to be an impact of artificial light at night (e.g. “Do you think that outdoor artificial light at night can cause the following potential unintended consequences? Artificial light at night can.... affect the behaviour of animals” Answer options: I don’t know / Yes / No). There was a high level of self-reported knowledge regarding nine categories of potential impacts that were presented (Figure 2a). Almost half of the respondents (n = 157, 48%) reported being aware of all the nine consequences, while 7% (n = 24) of respondents only identified three or fewer impact categories. When next asked about their level of concern for each these categories, the majority (73%) of respondents showed at least moderate concern for five or more impacts, whereas about 5% of respondents reported at least moderate concern for only one of the impacts.
For each unintended consequence of ALAN, we compared knowledge and the level of concern reported by participants who visited Te Ramaroa festival and those who did not, and by general festivalgoers compared with those who engaged with the Scope installation (Table 1, Figure 2). Festivalgoers were more likely to report that they knew that light at night can affect the natural rhythm of people than those respondents who didn’t visit the festival (p = 0.027). There were no other differences between these groups. There was some evidence (p = 0.078) that those who engaged with Scope were more likely to report that light at night can cause reduction of the health of the environment compared with those festival participants who did not engage with the installation (Figure 2a). While it appeared that festival participants who engaged with Scope were somewhat less likely to report a ‘Not at all’ or ‘slight’ level of concern for several consequences (Figure 2b), none of these differences were significant (Table 1). No other differences between festivalgoers who engaged with Scope and those who did not were found.
Sixty-six participants out of the 107 that engaged with Scope (61.7%) reported that the installation evoked an emotional response (27 responded it didn’t, and 14 did not remember). Of those who reported an emotional response, more than half (36) voluntarily left details in the optional open text box about their emotional experience, with the most common responses relating to feelings of sadness, surprise, empathy and admiration (Figure 3a). Those who self-reported an increasing level of new knowledge were more likely to also report an emotional response (p = 0.004, Z = -2.85) (Figure 3b).
Out of all 201 festivalgoers surveyed, only 6% (n = 13) felt it was ‘not at all appropriate’ to raise awareness about the unintended consequences of light at night at a light festival. In contrast, 32% felt it was ‘somewhat’ or ‘moderately appropriate’ (n = 31 and 33, respectively) and 62% found it ‘very appropriate’ or ‘entirely appropriate’ (n = 60 and 64, respectively). Whether or not participants engaged with Scope was not associated with the response (linear-by-linear association test, z = -1.328, p = 0.18).

4. Discussion

This study focussed on the role of a light festival and art installation in raising awareness about the unintended consequences of anthropogenic light at night (ALAN) in a New Zealand community. Our findings underscore the potential of art-science collaborations in environmental education and public engagement.
Engagement through art installations can raise awareness about the environmental impacts of human activities and inspire actions to mitigate these effects [24]. Previous research has primarily demonstrated this in relation to pollution and climate change [9,10,11,24]. The visual nature of light emissions and humanity’s attraction to light offers a compelling medium to illustrate humanity’s impact on the environment [25]. Our study showed an increase in factual knowledge self-reported by participants, and supports the idea that light festivals are effective fora for engaging the public on the issue of light pollution, i.e. the negative consequences of excess anthropogenic light at night. By placing installations in accessible public spaces, these events can reach a diverse audience, including those who might not typically visit art galleries or engage with scientific discussions.
The Scope installation at the Te Ramaroa Nelson Light Festival exemplifies a temporary “eco-art installation,” driven by the need to communicate impacts of anthropogenic light at night. It bridges art and science, employing didacticism to persuade viewers of ecological priorities [26], but also provides a counter-intuitive strategy through using light as the medium to convey its dark side. Below, we further analyse the communicative nature of the Scope installation, using Cucuzzella’s application [27] of Habermas’s four areas of communicative actions: the instrumental, normative, teleological, and dramaturgical realms [28].
The Scope installation was of such an instrumental nature, i.e. it was firmly grounded in scientific facts [27] about ALAN. The installation’s messages (both in the peepholes of the installation and on the adjacent presentation) depicted ecological and health impacts of artificial light, which are well-documented in scientific literature including e.g., [1,5,29,30,31]. Accurate scientific information is known to increase factual accuracy and support for government action to address it immediately after exposure [32]. The Scope installation successfully increased factual knowledge among its viewers. The propensity of self-reported increased specific knowledge at a lower-level (i.e. facts such as “migrating birds may be attracted”) suggests that eco-art installations, such as Scope, can be powerful tools for education. However, the knowledge of overarching ALAN impacts (“animal and plants may be affected”) did not differ between festivalgoers who engaged with Scope and those who didn’t. While our survey results indicated that a substantial majority of the general community were aware of some of unintended consequences associated with our 24-hour economy, few recognised the full range of consequences (as communicated via the Scope installation and posed by the questionnaire). Although not significant, trends also indicated a somewhat increased level of concern about the consequences of light at night among those who interacted with the installation, compared with those who did not.
People with increased engagement with eco-artworks are more likely to remember the content, which ultimately can translate into action [33]. The Scope installation used light, the very medium of the issue at hand, to highlight its negative impacts, creating a direct and relevant connection, designed to increase engagement and enhance understanding and retention. The installation hence had a clear and deliberate relation between the form and the content (i.e. normative nature [27]). We anticipated that this alignment between form and content helped convey the message in a more impactful and memorable way. Moreover, form and content were specifically designed to be in-line with and juxtaposed to the installation’s context, respectively. That is, the installation highlighted negative effects of light at a light festival where participants came to celebrate and enjoy light. This dissonance was an item commonly raised by visitors in casual conversation with the authors at the festival. The juxtaposition may help with increased retention and ultimately pro-environmental action [34]. The installation was developed in such a way to be cognisant of the context, and to illustrate the subject in a non-threatening way. Our findings show strong support for using light festivals as platforms for raising awareness about ALAN. Of the festival participants surveyed, 94% felt it was at least ‘somewhat appropriate’ (and 62% ‘very appropriate’ or ‘entirely appropriate’) to raise awareness of the unintended consequences of light at night at such events. This indicates a general acceptance of integrating educational and environmental messages into recreational and cultural activities, suggesting that light festivals can effectively serve dual purposes of entertainment and educational outreach. Our findings suggest that festivals are relevant fora for educational outreach, capable of reaching diverse public audiences and promoting greater environmental consciousness.
With respect to the dramaturgical nature of the installation, Scope was highly expressive, and successfully evoked emotional responses such as surprise, sadness, and empathy among viewers. Such emotional reactions are crucial for fostering a connection to the issue and motivating action. The high percentage of participants who reported learning new information and feeling emotionally affected (61.7%) supports the installation’s effectiveness in engaging viewers meaningfully. Through affecting people’s emotion and effective communication of scientific data, art can also overcome barriers associated with traditional science communication [33]. Art installations are particularly effective when they are interactive [8]. The lure of the peepholes at different heights, created an attraction and required active engagement. Future work will incorporate participatory approaches, where the audience becomes a collaborator or creator of the art, which is even more effective [8,35].
The intention of the installation was to raise awareness, rather than having the message of a ‘call to action’. Our study did not directly measure the impact on people’s (intended or real) behaviour, so the teleological nature (i.e. the effectiveness in initiating action, [27]) of the installation remains unknown. Without prompt, in an optional comments box at the end of the survey, three respondents noted that this installation was a call to action for them. The high levels of awareness and concern reported by respondents who engaged with the Scope suggest that such installations can create a foundation for individual action and public demand for policy changes. Moreover, the high percentage of festivalgoers who found it appropriate to raise awareness at a light festival (94%) indicates strong public support, which can influence corporate and governmental actions. Future research should investigate whether installations such as these lead to concrete actions by individuals and other entities.
Our study was based on a voluntary survey, which may bias results, for example, through self-selection bias. Demographics of respondents broadly reflected the Nelson region population [36], although females were overrepresented in our sample. We took great care in the marketing of the survey as well as the survey question framing to ensure neutral language about darkness and light at night, rather than e.g. referring to ‘light pollution’, so as not to bias responses to certain groups in the population. We cannot ascertain the response rate of the survey due to the generic recruitment methods employed, but the high completion rate (79% of people who started the survey, completed it) suggests that respondents engaged with the survey. Having an opportunity of a reward for survey completion (i.e. draw for a voucher) may have helped reduce self-selection bias and increase completion rates.

5. Conclusions

Reports of increased knowledge and evoked emotions through engagement with the installation Scope, suggest that such installations can effectively provoke thought and encourage a deeper engagement with environmental issues. Hence, we propose that eco-art installations at light festivals hold significant promise for raising public awareness about the impacts of anthropogenic light at night. By effectively combining art and science, such platforms can enhance learning and inspire informed actions to mitigate light pollution and preserve the integrity of our night-time environment.

Supplementary Materials

The following supporting information can be downloaded at the website of this paper posted on Preprints.org, Table S1 Summary of demographic and background variables for the different groups of participants, and tests of differences between the groups.

Author Contributions

Study conceptualization and writing, KB and EC; Artistic creation, KB; Survey design, methodology and analysis, E.C.

Funding

This research was funded by the Nelson-Marlborough Institute of Technology, and supported by Te Ramaroa Festival.

Institutional Review Board Statement

The study was approved by the Te-Pūkenga Nelson-Marlborough Institute of Technology Research & Ethics Committee (2023-B03).

Informed Consent Statement

Informed consent from all subjects involved in this study was implied by their voluntary submission of the online survey.

Data Availability Statement

The raw data supporting the conclusions of this article will be made available by the authors on request.

Acknowledgments

We would like to thank the Te Ramaroa 2023 organising and selection committees for the opportunity to conduct this study during the festival. We thank Pearl and Tanē Heke for handing out invitations to the online survey during the festival, Velma Vermaat for logistical support, and Jeff Dalley for survey methodological support and review of the manuscript.

Conflicts of Interest

The authors declare no conflicts of interest.

References

  1. Royal Commission on Environmental Pollution Artificial Light in the Environment; Office of Public Sector Information: London, UK, 2009; p. 43;
  2. Harris, P.; Matamua, R.; Smith, T.; Kerr, H.; Waaka, T. A Review of Māori Astronomy in Aotearoa-New Zealand. J. Astron. Hist. Herit. 2013, 16, 325–336. [Google Scholar] [CrossRef]
  3. Gaston, K.J. Lighting up the Nighttime. Science 2018, 362, 744–746. [Google Scholar] [CrossRef] [PubMed]
  4. Gaston, K.J.; Ackermann, S.; Bennie, J.; Cox, D.T.C.; Phillips, B.B.; Sánchez de Miguel, A.; Sanders, D. Pervasiveness of Biological Impacts of Artificial Light at Night. Integrative and Comparative Biology 2021, 61, 1098–1110. [Google Scholar] [CrossRef]
  5. Jägerbrand, A.; Spoelstra, K. Effects of Anthropogenic Light on Species and Ecosystems. Science 2023, 380, 1125–1130. [Google Scholar] [CrossRef] [PubMed]
  6. Zielinska-Dabkowska, K.M.; Xavia, K. Looking up to the Stars. A Call for Action to Save New Zealand’s Dark Skies for Future Generations to Come. Sustainability 2021, 13, 13472. [Google Scholar] [CrossRef]
  7. Cieraad, E.; Farnworth, B. Lighting Trends Reveal State of the Dark Sky Cloak: Light at Night and Its Ecological Impacts in Aotearoa New Zealand. New Zealand Journal of Ecology 2023, 47, 3559. [Google Scholar] [CrossRef]
  8. Lesen, A.E.; Rogan, A.; Blum, M.J. Science Communication Through Art: Objectives, Challenges, and Outcomes. Trends in Ecology & Evolution 2016, 31, 657–660. [Google Scholar] [CrossRef]
  9. Sommer, L.K.; Swim, J.K.; Keller, E.; Klöckner, C.A. “Pollution Pods”: The Merging of Art and Psychology to Engage the Public in Climate Change. Global Environmental Change 2019, 59, 101992. [Google Scholar] [CrossRef]
  10. Brook, L. Evaluating the Emotional Impact of Environmental Artworks Using Q Methodology. AJHA 2022, 9, 211–232. [Google Scholar] [CrossRef]
  11. Burke, M.; Ockwell, D.; Whitmarsh, L. Participatory Arts and Affective Engagement with Climate Change: The Missing Link in Achieving Climate Compatible Behaviour Change? Global Environmental Change 2018, 49, 95–105. [Google Scholar] [CrossRef]
  12. Nummenmaa, L.; Hari, R. Bodily Feelings and Aesthetic Experience of Art. Cognition and Emotion 2023, 0, 1–14. [Google Scholar] [CrossRef] [PubMed]
  13. Edensor, T. Light Design and Atmosphere. Visual Communication 2015, 14, 331–350. [Google Scholar] [CrossRef]
  14. Edensor, T. The Rich Potentials of Light Festivals: Defamiliarization, a Sense of Place, and Convivial Atmospheres. In Urban lighting, light pollution and society; Meier, Hasenohrl, Krause, Pottharst; 2015; p. Chapter 5.
  15. Lyytimäki, J.; Rinne, J. Voices for the Darkness: Online Survey on Public Perceptions on Light Pollution as an Environmental Problem. Journal of Integrative Environmental Sciences 2013, 10, 127–139. [Google Scholar] [CrossRef]
  16. Besecke; Hansch Residents’ Perceptions of Light and Darkness. In Urban Lighting, Light Pollution and Society; Meier, Hasenohrl, Krause, Pottharst; Routledge, 2015; p. Chapter 12.
  17. Coogan, A.N.; Cleary-Gaffney, M.; Finnegan, M.; McMillan, G.; González, A.; Espey, B. Perceptions of Light Pollution and Its Impacts: Results of an Irish Citizen Science Survey. International Journal of Environmental Research and Public Health 2020, 17, 5628. [Google Scholar] [CrossRef] [PubMed]
  18. Schulte-Römer, N.; Meier, J.; Dannemann, E.; Söding, M. Lighting Professionals versus Light Pollution Experts? Investigating Views on an Emerging Environmental Concern. Sustainability 2019, 11, 1696. [Google Scholar] [CrossRef]
  19. Cowen, A.S.; Keltner, D. Self-Report Captures 27 Distinct Categories of Emotion Bridged by Continuous Gradients. Proceedings of the National Academy of Sciences 2017, 114, E7900–E7909. [Google Scholar] [CrossRef]
  20. Agresti, A. Categorical Data Analysis; John Wiley & Sons, Ltd, 2002; ISBN 978-0-471-24968-9.
  21. Hothorn, T.; Hornik, K.; Wiel, M.A. van de; Zeileis, A. Implementing a Class of Permutation Tests: The Coin Package. Journal of Statistical Software 2008, 28, 1–23. [Google Scholar] [CrossRef]
  22. García-Pérez, M.A.; Núñez-Antón, V. Asymptotic versus Exact Methods in the Analysis of Contingency Tables: Evidence-Based Practical Recommendations. Stat Methods Med Res 2020, 29, 2569–2582. [Google Scholar] [CrossRef] [PubMed]
  23. R Core Team R: A Language and Environment for Statistical Computing 2024.
  24. Ricci, K.; Li, N. Communicating Environmental and Ecological Sciences through Visual Arts: A Cross-Disciplinary Review. Environmental Communication 2024, 0, 1–16. [Google Scholar] [CrossRef]
  25. Martynski, C.L. Navigating the Anthropocene: A Study of Audience Experiences with Three Creative Interventions - White Rose ETheses Online. PhD, University of Leeds: Leeds, UK, 2021.
  26. Cucuzzella, C.; Chupin, J.-P.; Hammond, C. Eco-Didacticism in Art and Architecture: Design as Means for Raising Awareness. Cities 2020, 102, 102728. [Google Scholar] [CrossRef]
  27. Cucuzzella, C. Analysing Eco-Art Installations for Their Value in Affecting Change. International Journal of Education Through Art 2023, 19, 43–58. [Google Scholar] [CrossRef]
  28. Habermas, J. Reason and the Rationalization of Society; The Theory of Communicative Action; Beacon Press: Boston, USA, 1984. [Google Scholar]
  29. Gaston, K.J.; Davies, T.W.; Nedelec, S.L.; Holt, L.A. Impacts of Artificial Light at Night on Biological Timings. Annual Review of Ecology, Evolution, and Systematics 2017, 48, 49–68. [Google Scholar] [CrossRef]
  30. Cabrera-Cruz, S.A.; Smolinsky, J.A.; Buler, J.J. Light Pollution Is Greatest within Migration Passage Areas for Nocturnally-Migrating Birds around the World. Sci Rep 2018, 8, 1–8. [Google Scholar] [CrossRef]
  31. Kyba, C.C.M.; Altıntaş, Y.Ö.; Walker, C.E.; Newhouse, M. Citizen Scientists Report Global Rapid Reductions in the Visibility of Stars from 2011 to 2022. Science 2023, 379, 265–268. [Google Scholar] [CrossRef] [PubMed]
  32. Nyhan, B.; Porter, E.; Wood, T.J. Time and Skeptical Opinion Content Erode the Effects of Science Coverage on Climate Beliefs and Attitudes. Proceedings of the National Academy of Sciences 2022, 119, e2122069119. [Google Scholar] [CrossRef]
  33. Kaufmann, D.B.; Palawat, K.; Sandhaus, S.; Buxner, S.; McMahon, E.; Ramírez-Andreotta, M.D. Communicating Environmental Data through Art: The Role of Emotion and Memory in Evoking Environmental Action. Humanit Soc Sci Commun 2023, 10, 1–14. [Google Scholar] [CrossRef]
  34. Buening, R.; Maeda, T.; Liew, K.; Aramaki, E. Between Fact and Fabrication: How Visual Art Might Nurture Environmental Consciousness. Front. Psychol. 2022, 13. [Google Scholar] [CrossRef] [PubMed]
  35. Trott, C.D.; Even, T.L.; Frame, S.M. Merging the Arts and Sciences for Collaborative Sustainability Action: A Methodological Framework. Sustain Sci 2020, 15, 1067–1085. [Google Scholar] [CrossRef]
  36. Stats NZ Tatauranga Aotearoa 2023 Census. Available online: https://www.stats.govt.nz/2023-census/ (accessed on 23 June 2024).
Figure 2. Knowledge (a) and level of concern (b) regarding categories of unintended consequences of ALAN across the different light festival participant groups (No: did not participate in Te Ramaroa 2023; Yes: did visit the light festival Te Ramaroa 2023 but did not engage with the Scope Installation; Yes + Scope: engaged with the Scope installation at Te Ramaroa 2023).
Figure 2. Knowledge (a) and level of concern (b) regarding categories of unintended consequences of ALAN across the different light festival participant groups (No: did not participate in Te Ramaroa 2023; Yes: did visit the light festival Te Ramaroa 2023 but did not engage with the Scope Installation; Yes + Scope: engaged with the Scope installation at Te Ramaroa 2023).
Preprints 112479 g002
Figure 3. Emotional responses evoked by the Scope installation. (a) Word cloud illustrating the coded emotional responses described by the 36 respondents who provided optional detail on their emotional response. Font size and colour intensity are proportional to the frequency of each emotions reported; (b) Association between self-reported new knowledge learnt from the Scope installation, and whether the installation invoked an emotional response (p = 0.004, Z = -2.85). The width of the bars is proportional to the number of respondents.
Figure 3. Emotional responses evoked by the Scope installation. (a) Word cloud illustrating the coded emotional responses described by the 36 respondents who provided optional detail on their emotional response. Font size and colour intensity are proportional to the frequency of each emotions reported; (b) Association between self-reported new knowledge learnt from the Scope installation, and whether the installation invoked an emotional response (p = 0.004, Z = -2.85). The width of the bars is proportional to the number of respondents.
Preprints 112479 g003
Table 1. Summary of tests of differences in reporting of knowledge of and concern about unintended consequences between the different groups of participants (Chi-square tests for knowledge, df = 1, and linear-by-linear association test for concern, df = 4; p-values < 0.05 are bolded, and p < 0.10 are italicised). The knowledge questions was posed as “Do you think that outdoor artificial light at night can cause the following unintended consequences?” (Options: Yes, No, I don’t know – tested here as Yes vs No or I don’t know). The concern question was “To what extent are you concerned about the following unintended consequences of artificial light at night?” (Unipolar scale with 5 options: Not at all concerned, slightly concerned, moderately concerned, very concerned, or extremely concerned).
Table 1. Summary of tests of differences in reporting of knowledge of and concern about unintended consequences between the different groups of participants (Chi-square tests for knowledge, df = 1, and linear-by-linear association test for concern, df = 4; p-values < 0.05 are bolded, and p < 0.10 are italicised). The knowledge questions was posed as “Do you think that outdoor artificial light at night can cause the following unintended consequences?” (Options: Yes, No, I don’t know – tested here as Yes vs No or I don’t know). The concern question was “To what extent are you concerned about the following unintended consequences of artificial light at night?” (Unipolar scale with 5 options: Not at all concerned, slightly concerned, moderately concerned, very concerned, or extremely concerned).
Knowledge Concern
General public vs Te Ramaroa Te Ramaroa
–Scope vs not Scope
General public vs Te Ramaroa Te Ramaroa
–Scope vs not Scope
Artificial light at night can.... X2 p-value X2 p-value Z p-value Z p-value
Affect animal behaviour 0.537 0.562 0.162 0.823 -0.362 0.718 -1.006 0.314
Affect natural rhythms of plants and animals 2.921 0.104 2.053 0.187 -0.984 0.325 -1.087 0.277
Reduce the health of the natural environment around us 0.916 0.376 3.593 0.078 -0.956 0.339 -1.520 0.128
Reduce people’s sleep 1.628 0.214 0.409 0.579 -0.520 0.603 -0.868 0.386
Reduce people’s health and wellbeing 0.943 0.387 0.893 0.388 -0.969 0.333 -1.207 0.227
Reduce the visibility/vibrancy of the night sky 0.005 1.00 0.015 1.00 -0.617 0.537 -0.306 0.760
Affect how people experience the night 0.317 0.668 1.68 0.261 -0.515 0.606 -0.552 0.581
Affect the natural rhythm of people 4.858 0.027 2.861 0.102 -0.865 0.387 -1.127 0.260
Have different effects depending on the colour of the light 0.008 1.00 1.968 0.16 -0.289 0.772 -1.392 0.164
Disclaimer/Publisher’s Note: The statements, opinions and data contained in all publications are solely those of the individual author(s) and contributor(s) and not of MDPI and/or the editor(s). MDPI and/or the editor(s) disclaim responsibility for any injury to people or property resulting from any ideas, methods, instructions or products referred to in the content.
Copyright: This open access article is published under a Creative Commons CC BY 4.0 license, which permit the free download, distribution, and reuse, provided that the author and preprint are cited in any reuse.
Prerpints.org logo

Preprints.org is a free preprint server supported by MDPI in Basel, Switzerland.

Subscribe

Disclaimer

Terms of Use

Privacy Policy

Privacy Settings

© 2026 MDPI (Basel, Switzerland) unless otherwise stated