Submitted:
11 July 2024
Posted:
17 July 2024
You are already at the latest version
Abstract
Keywords:
1. Introduction
2. Background – AHP in Risk Analysis
3. Materials and Methods
3.1. Defining Risk
3.2. Survey for a Reference System
3.3. Structure of Criteria and Subcriteria
3.4. Selecting Biological Agents
3.5. Panel of experts
3.6. Mathematical Model
3.7. Structuring the Questionnaire
4. Results
4.1. Criteria and Subcriteria Weights
4.2. Assessment of Biological Agents
5. Discussion
5.1. Criteria and Sub Criteria Weights
5.2. Biological Agents
6. Conclusion
Supplementary Materials
Author Contributions
Funding
Informed Consent Statement
Conflicts of Interest
References
- ISO. Risk management guidelines [Internet]. ISO 310002018 [cited 2024 Feb 23];1. Available online: https://www.iso.org/standard/65694.html.
- ISO. Risk management - risk assessment techniques [Internet]. ISO 310102019 [cited 2024 Feb 23];1. Available online: https://www.iso.org/standard/72140.html.
- Tomuzia, K.; Menrath, A.; Frentzel, H.; Filter, M.; Weiser, A.A.; Bräunig, J.; Buschulte, A.; Appel, B. Development of a Comparative Risk Ranking System for Agents Posing a Bioterrorism Threat to Human or Animal Populations. Biosecurity Bioterrorism: Biodefense Strat. Pr. Sci. 2013, 11, S3–S16. [Google Scholar] [CrossRef] [PubMed]
- Machado, M.H.; Coelho MC de, R.; Pereira, E.J.; Telles, A.O.; Soares Neto, J.J.; Ximenes Neto, F.R.G.; et al. Condições de trabalho e biossegurança dos profissionais de saúde e trabalhadores invisíveis da saúde no contexto da COVID-19 no Brasil. Cien. Saude Colet. 2023, 28, 2809–2822. [Google Scholar] [PubMed]
- Mesquita, A.; Sales, J.F.; Bandeira, L.; Martins, S.C.; Martins, C. Biotecnologia no Brasil: normas de biossegurança e acreditação de laboratórios. Enciclopédia Biosf. 2023, 20, 56–71. [Google Scholar] [CrossRef]
- Penna, P.M.M.; Aquino, C.F.; Castanheira, D.D.; Brandi, I.V.; Cangussu, A.S.R.; Macedo Sobrinho, E.; et al. Biossegurança: uma revisão. Arq. Inst. Biol. (Sao. Paulo). 2020, 77, 555–565. [Google Scholar] [CrossRef]
- Brazil. Ministry of Health. Secretariat of Science, Technology, Innovation. Risk Classification of Biological Agents [Internet]. Brasilia, DF: 2022. Available online: https://bvsms.saude.gov.br/bvs/publicacoes/classificacao_risco_agentes_biologicos_1ed.pdf.
- Tegnell, A.; Van Loock, F.; Baka, A.; Wallyn, S.; Hendriks, J.; Werner, A.; et al. Biological weapons: Development of a matrix to evaluate the threat of biological agents used for bioterrorism. Cell. Mol. Life Sci. C. 2006, 63, 2223–2228. [Google Scholar] [CrossRef]
- MacIntyre, C.R.; Seccull, A.; Lane, J.M.; Plant, A. Development of a Risk-Priority Score for Category A Bioterrorism Agents as an Aid for Public Health Policy. Mil. Med. 2006, 171, 589–594. [Google Scholar] [CrossRef] [PubMed]
- Costa E de, F.; Cardoso, M.; Kich, J.D.; Corbellini, L.G. A qualitative risk assessment approach to microbial foodborne hazards in Brazilian intensive pork production: A step towards risk prioritization. Microb. Risk Anal. 2020, 15, 100105. [Google Scholar]
- Corbellini, L.G.; Costa, E.d.F.; Cardoso, M.; Nauta, M. Quantitative microbial risk assessment of Salmonella in dry fermented sausage (salami) in Southern Brazil. Microb. Risk Anal. 2017, 6, 31–43. [Google Scholar] [CrossRef]
- Damaceno MG de, S.; Cruvinel KA da, S.; Santos, A.S.P. Semiquantitative microbiological risk assessment for water reuse in agriculture: a case study in Brazil. Water Supply 2022, 22, 7375–7386. [Google Scholar] [CrossRef]
- Aria, M.; Cuccurullo, C. bibliometrix: An R-tool for comprehensive science mapping analysis. J. Informetr. 2017, 11, 959–975. [Google Scholar] [CrossRef]
- Chan, F.T.; Kumar, N. Global supplier development considering risk factors using fuzzy extended AHP-based approach. Omega 2007, 35, 417–431. [Google Scholar] [CrossRef]
- Taylan, O.; Bafail, A.O.; Abdulaal, R.M.; Kabli, M.R. Construction projects selection and risk assessment by fuzzy AHP and fuzzy TOPSIS methodologies. Appl. Soft Comput. 2014, 17, 105–116. [Google Scholar] [CrossRef]
- Ouma, Y.O.; Tateishi, R. Urban Flood Vulnerability and Risk Mapping Using Integrated Multi-Parametric AHP and GIS: Methodological Overview and Case Study Assessment. Water 2014, 6, 1515–1545. [Google Scholar] [CrossRef]
- Ilbahar, E.; Karaşan, A.; Cebi, S.; Kahraman, C. A novel approach to risk assessment for occupational health and safety using Pythagorean fuzzy AHP & fuzzy inference system. Saf. Sci. 2018, 103, 124–136. [Google Scholar] [CrossRef]
- Mangla, S.K.; Kumar, P.; Barua, M.K. Risk analysis in green supply chain using fuzzy AHP approach: A case study. Resour. Conserv. Recycl. 2015, 104, 375–390. [Google Scholar] [CrossRef]
- Zou, Q.; Zhou, J.; Zhou, C.; Song, L.; Guo, J. Comprehensive flood risk assessment based on set pair analysis-variable fuzzy sets model and fuzzy AHP. Stoch. Environ. Res. Risk Assess. 2013, 27, 525–546. [Google Scholar] [CrossRef]
- Samuel, O.W.; Asogbon, G.M.; Sangaiah, A.K.; Fang, P.; Li, G. An integrated decision support system based on ANN and Fuzzy_AHP for heart failure risk prediction. Expert Syst. Appl. 2017, 68, 163–172. [Google Scholar] [CrossRef]
- Aminbakhsh, S.; Gunduz, M.; Sonmez, R. Safety risk assessment using analytic hierarchy process (AHP) during planning and budgeting of construction projects. J. Saf. Res. 2013, 46, 99–105. [Google Scholar] [CrossRef] [PubMed]
- Gaudenzi, B.; Borghesi, A. Managing risks in the supply chain using the AHP method. Int. J. Logist. Manag. 2006, 17, 114–136. [Google Scholar] [CrossRef]
- Fattahi, R.; Khalilzadeh, M. Risk evaluation using a novel hybrid method based on FMEA, extended MULTIMOORA, and AHP methods under fuzzy environment. Saf. Sci. 2018, 102, 290–300. [Google Scholar] [CrossRef]
- Mustafa, M.; Al-Bahar, J. Project risk assessment using the analytic hierarchy process. IEEE Trans. Eng. Manag. 1991, 38, 46–52. [Google Scholar] [CrossRef]
- Wang, X.; Chan, H.K.; Yee, R.W.; Diaz-Rainey, I. A two-stage fuzzy-AHP model for risk assessment of implementing green initiatives in the fashion supply chain. Int. J. Prod. Econ. 2012, 135, 595–606. [Google Scholar] [CrossRef]
- Abdelgawad, M.; Fayek, A.R. Risk Management in the Construction Industry Using Combined Fuzzy FMEA and Fuzzy AHP. J. Constr. Eng. Manag. 2010, 136, 1028–1036. [Google Scholar] [CrossRef]
- Samvedi, A.; Jain, V.; Chan, F.T. Quantifying risks in a supply chain through integration of fuzzy AHP and fuzzy TOPSIS. Int. J. Prod. Res. 2013, 51, 2433–2442. [Google Scholar] [CrossRef]
- Zayed, T.; Amer, M.; Pan, J. Assessing risk and uncertainty inherent in Chinese highway projects using AHP. Int. J. Proj. Manag. 2008, 26, 408–419. [Google Scholar] [CrossRef]
- Zhang, X.; Du, H.; Zhao, Z.; Wu, Y.; Cao, Z.; Zhou, Y.; Sun, Y. Risk Assessment Model System for Aquatic Animal Introduction Based on Analytic Hierarchy Process (AHP). Animals 2023, 13, 2035, Available from: https://www.scopus.com/inward/record.uri?eid=2-s2.0-8516380131. [Google Scholar] [CrossRef] [PubMed]
- Güney, G.; Kahraman, B. Implementation of the analytic hierarchy process (AHP) and Fine–Kinney method (FKM) against risk factors to determine the total cost of occupational health and safety precautions in environmental research laboratories. Int. J. Occup. Saf. Ergon. 2022, 28, 2606–2622, Available from: https://www.scopus.com/inward/record.uri?eid=2-s2.0-8512168850. [Google Scholar] [CrossRef] [PubMed]
- Yan, J.-L.; Xue, Y.-J.; Mohsin, M. Accessing Occupational Health Risks Posed by Fishermen Based on Fuzzy AHP and IPA Methods: Management and Performance Perspectives. Sustainability 2022, 14, 13100, Available from: https://www.scopus.com/inward/record.uri?eid=2-s2.0-8514099704. [Google Scholar] [CrossRef]
- Nguyen, P.-H. Agricultural Supply Chain Risks Evaluation with Spherical Fuzzy Analytic Hierarchy Process. Comput. Mater. Contin. 2022, 73, 4211–4229, Available from: https://www.scopus.com/inward/record.uri?eid=2-s2.0-8513211173. [Google Scholar] [CrossRef]
- Ghosh, A.; Maiti, R. Development of new Ecological Susceptibility Index (ESI) for monitoring ecological risk of river corridor using F-AHP and AHP and its application on the Mayurakshi river of Eastern India. Ecol. Informatics 2021, 63, 101318, Available from: https://www.scopus.com/inward/record.uri?eid=2-s2.0-8510559965. [Google Scholar] [CrossRef]
- Unver, S.; Ergenc, I. Safety risk identification and prioritize of forest logging activities using analytic hierarchy process (AHP). Alex. Eng. J. 2021, 60, 1591–1599, Available from: https://www.scopus.com/inward/record.uri?eid=2-s2.0-8509709435. [Google Scholar] [CrossRef]
- Dai XP, Li DH. Research on risk assessment of alien species based on group AHP [Internet]. In: Advanced Materials Research. School of Information Science and Technology of Hunan Agricultural University, Changha, 410128, China: 2013. page 3094–8. Available online: https://www.scopus.com/inward/record.uri?eid=2-s2.0-8488503061.
- Gavião LO, Vivoni AM. Supplementary material - A risk analysis model for biosecurity in Brazil using the Analytical Hierarchy Process (AHP) [Internet]. 2024;1. Available online: https://data.mendeley.com/datasets/rb24h9g6m4/1.
- Andersson, M.G.; Tomuzia, K.; Löfström, C.; Appel, B.; Bano, L.; Keremidis, H.; Knutsson, R.; Leijon, M.; Lövgren, S.E.; De Medici, D.; et al. Separated by a Common Language: Awareness of Term Usage Differences Between Languages and Disciplines in Biopreparedness. Biosecurity Bioterrorism: Biodefense Strat. Pr. Sci. 2013, 11, S276–S285. [Google Scholar] [CrossRef] [PubMed]
- Purdy, G. ISO 31000:2009—Setting a New Standard for Risk Management. Risk Anal. 2010, 30, 881–886. [Google Scholar] [CrossRef] [PubMed]
- Fitri, S.D.; Setyowati, D.L.; Duma, K. Implementation of Risk Management Based on ISO 31000: 2009 in the Machine Maintenance Program at PT. X. Faletehan Heal. J. 2019, 6, 16–24. [Google Scholar] [CrossRef]
- Rath J, Ischi M. Biosecurity Risk Management in Research. Handb. Res. Ethics Sci. Integr. 2020;251–61.
- Brazil. Ministry of Defense. GM-MD Ordinance No. 2312, of April 24, 2023. Approves the Biosafety, Bioprotection and Biological Defense Guidelines. 2023;1.
- Menrath, A.; Tomuzia, K.; Frentzel, H.; Braeunig, J.; Appel, B. Survey of Systems for Comparative Ranking of Agents that Pose a Bioterroristic Threat. Zoonoses Public Heal. 2014, 61, 157–166. [Google Scholar] [CrossRef] [PubMed]
- Ssekamatte, T.; Mugambe, R.K.; Nalugya, A.; Isunju, J.B.; Kalibala, P.; Musewa, A.; Bikaako, W.; Nattimba, M.; Tigaiza, A.; Nakalembe, D.; et al. Employment status of AFROHUN-Uganda one health alumni, and facilitators and barriers to application of the one health approach: a tracer study. BMC Heal. Serv. Res. 2022, 22, 1–18. [Google Scholar] [CrossRef] [PubMed]
- Vivoni, A.M.; Gavião, L.O. O Bacillus anthracis (antraz) na guerra biológica: um análise sob o ponto de vista da mcirobiologia. Rev. Marítima Bras. 2018, 138, 69–81. [Google Scholar]
- Demeure, C.E.; Dussurget, O.; Fiol, G.M.; Le Guern, A.-S.; Savin, C.; Pizarro-Cerdá, J. Yersinia pestis and plague: an updated view on evolution, virulence determinants, immune subversion, vaccination, and diagnostics. Genes Immun. 2019, 20, 357–370. [Google Scholar] [CrossRef] [PubMed]
- Barbieri, R.; Signoli, M.; Chevé, D.; Costedoat, C.; Tzortzis, S.; Aboudharam, G.; Raoult, D.; Drancourt, M. Yersinia pestis: the Natural History of Plague. Clin. Microbiol. Rev. 2020, 34. [Google Scholar] [CrossRef]
- Maurin, M.; Gyuranecz, M. Tularaemia: clinical aspects in Europe. Lancet Infect. Dis. 2016, 16, 113–124. [Google Scholar] [CrossRef]
- Maurin, M. Francisella tularensis, Tularemia and Serological Diagnosis. Front. Cell. Infect. Microbiol. 2020, 10, 512090. [Google Scholar] [CrossRef] [PubMed]
- Saaty, TL. The Analytic Hierarchy Process. New York: McGraw-Hill; 1980.
- Ho, W.; Ma, X. The state-of-the-art integrations and applications of the analytic hierarchy process. Eur. J. Oper. Res. 2018, 267, 399–414. [Google Scholar] [CrossRef]
- Youssef AM, Hegab MA. Flood-hazard assessment modeling using multicriteria analysis and GIS: a case study—Ras Gharib Area, Egypt. In: Spatial modeling in GIS and R for earth and environmental sciences. Elsevier; 2019. page 229–57.
- Ho, W. Integrated analytic hierarchy process and its applications – A literature review. Eur. J. Oper. Res. 2008, 186, 211–228. [Google Scholar] [CrossRef]
- Abdulrahman, S.; Bwambale, J. A review on flood risk assessment using multicriteria decision making technique. World Water Policy 2021, 7, 209–221. [Google Scholar] [CrossRef]
- Raka, C.; Liangrokapart, J. An Analytical Hierarchy Process (AHP) Approach to Risk Analysis: A Case Study of a New Generic Drug Development Process. J. Pharm. Innov. 2017, 12, 319–326. [Google Scholar] [CrossRef]
- Saaty, T. A scaling method for priorities in hierarchical structures. J. Math. Psychology. 1977, 15, 234–281. [Google Scholar] [CrossRef]
- McKenzie, J.; Simpson, H.; Langstaff, I. Development of methodology to prioritise wildlife pathogens for surveillance. Prev. Veter- Med. 2007, 81, 194–210. [Google Scholar] [CrossRef]
- Saaty, TL. Fundamentals of the analytic hierarchy process. In: Schmoldt DL, Kangas J, Mendoza GA, Pesonen M, editors. The Analytic Hierarchy Process in natural resource and environmental decision making. Springer Netherlands; 2001. page 15–35.
- Benítez, J.; Carpitella, S.; Certa, A.; Izquierdo, J. Characterization of the consistent completion of analytic hierarchy process comparison matrices using graph theory. J. Multi-Criteria Decis. Anal. 2019, 26, 3–15. [Google Scholar] [CrossRef]
- Benítez, J.; Delgado-Galván, X.; Izquierdo, J.; Pérez-García, R. Consistent completion of incomplete judgments in decision making using AHP. J. Comput. Appl. Math. 2015, 290, 412–422. [Google Scholar] [CrossRef]
- Benítez, J.; Carrión, L.; Izquierdo, J.; Pérez-García, R. Characterization of Consistent Completion of Reciprocal Comparison Matrices. Abstr. Appl. Anal. 2014, 2014, 1–12. [Google Scholar] [CrossRef]
- Kułakowski, K.; Szybowski, J.; Prusak, A. Towards quantification of incompleteness in the pairwise comparisons methods. Int. J. Approx. Reason. 2019, 115, 221–234. [Google Scholar] [CrossRef]
- Srdjevic, B.; Srdjevic, Z.; Blagojevic, B. First-Level Transitivity Rule Method for Filling in Incomplete Pair-Wise Comparison Matrices in the Analytic Hierarchy Process. Appl. Math. Inf. Sci. 2014, 8, 459–467. [Google Scholar] [CrossRef]
- Van Uden, E.; Bubnicki, Z.; Hryniewicz, O.; Kulikowski, R. Estimating missing data in pairwise comparison matrices. Oper. Syst. Res. face to Chall. XXI century, methods. Tech. Inf. Anal. Decis. Mak. 2002, II–73. [Google Scholar]
- Harker, P. Incomplete pairwise comparisons in the analytic hierarchy process. Math. Model. 1987, 9, 837–848. [Google Scholar] [CrossRef]
- Harker, P. Alternative modes of questioning in the analytic hierarchy process. Math. Model. 1987, 9, 353–360. [Google Scholar] [CrossRef]
- Ergu, D.; Kou, G.; Peng, Y.; Zhang, M. Estimating the missing values for the incomplete decision matrix and consistency optimization in emergency management. Appl. Math. Model. 2016, 40, 254–267. [Google Scholar] [CrossRef]
- Ergu, D.; Kou, G.; Peng, Y.; Li, F.; Shi, Y. Data Consistency in Emergency Management. Int. J. Comput. Commun. Control. 2012, 7, 450. [Google Scholar] [CrossRef]
- Bozóki, S.; Csató, L.; Temesi, J. An application of incomplete pairwise comparison matrices for ranking top tennis players. Eur. J. Oper. Res. 2016, 248, 211–218. [Google Scholar] [CrossRef]
- Zhou, X.; Hu, Y.; Deng, Y.; Chan, F.T.S.; Ishizaka, A. A DEMATEL-based completion method for incomplete pairwise comparison matrix in AHP. Ann. Oper. Res. 2018, 271, 1045–1066. [Google Scholar] [CrossRef]
- Certa, A.; Enea, M.; Galante, G.M.; La Fata, C.M. A Multistep Methodology for the Evaluation of Human Resources Using the Evidence Theory. Int. J. Intell. Syst. 2013, 28, 1072–1088. [Google Scholar] [CrossRef]
- Hua, Z.; Gong, B.; Xu, X. A DS–AHP approach for multi-attribute decision making problem with incomplete information. Expert Syst. Appl. 2008, 34, 2221–2227. [Google Scholar] [CrossRef]
- Shafer, G. A mathematical theory of evidence. Princeton university press; 1976.
- Beynon, M.; Curry, B.; Morgan, P. The Dempster–Shafer theory of evidence: an alternative approach to multicriteria decision modelling. Omega 1999, 28, 37–50. [Google Scholar] [CrossRef]
- Dong, M.; Li, S.; Zhang, H. Approaches to group decision making with incomplete information based on power geometric operators and triangular fuzzy AHP. Expert Syst. Appl. 2015, 42, 7846–7857. [Google Scholar] [CrossRef]
- Gavião LO, Lima GBA, Garcia PA de A. Procedimento de redução das avaliações do AHP por transitividade da escala verbal de Saaty. In: Senhoras EM, editor. Engenharia de Produção: além dos produtos e sistemas produtivos. Ponta Grossa - PR: Editora Atena; 2021. page 88–102.
- Gaviao, L.O.; Dutra, L.D.; Kostin, S. Prioritization of multilateral agreements on export control of defense products and sensitive technologies by hierarchical analysis process. AUSTRAL Brazilian J. Strateg. Int. Relations [Internet] 2021, 10, 138–174. [Google Scholar]
- Assis SR de Gavião, L.O.; Kostin, S.; Lima, G.B.A. Prioritizing flight simulators of the brazilian air force by the analytic hierarchy process and hypothesis tests. Brazilian J. Oper. Prod. Manag. 2022, 19, 1–19. [Google Scholar]
- Borges AG, Gavião LO. Relações governamentais no Plano Estratégico da Marinha. Rev. da Esc. Guerr. Nav. 2023, 29, 113–143. [Google Scholar]
- Liao, H.; Zeng, Z.; Jiang, L. Identify Information Variability in Reciprocal Cognitive Fuzzy Preference Relations by an Additive Transitivity Learning Model. Int. J. Fuzzy Syst. 2022, 24, 3770–3780. [Google Scholar] [CrossRef]
- Liu, F.; Zou, S.-C.; You, Q.-R. Transitivity measurements of fuzzy preference relations. Fuzzy Sets Syst. 2021, 422, 27–47. [Google Scholar] [CrossRef]
- Li, C.-C.; Dong, Y.; Xu, Y.; Chiclana, F.; Herrera-Viedma, E.; Herrera, F. An overview on managing additive consistency of reciprocal preference relations for consistency-driven decision making and fusion: Taxonomy and future directions. Inf. Fusion 2019, 52, 143–156. [Google Scholar] [CrossRef]
- Ureña, R.; Chiclana, F.; Morente-Molinera, J.; Herrera-Viedma, E. Managing incomplete preference relations in decision making: A review and future trends. Inf. Sci. 2015, 302, 14–32. [Google Scholar] [CrossRef]
- Herrera-Viedma, E.; Chiclana, F.; Herrera, F.; Alonso, S. Group Decision-Making Model With Incomplete Fuzzy Preference Relations Based on Additive Consistency. IEEE Trans. Syst. Man Cybern. Part B (Cybernetics) 2007, 37, 176–189. [Google Scholar] [CrossRef] [PubMed]
- Tavana, M.; Soltanifar, M.; Santos-Arteaga, F.J. Analytical hierarchy process: revolution and evolution. Ann. Oper. Res. 2023, 326, 879–907. [Google Scholar] [CrossRef]
- Liu CH, Lin C-WR. The Comparative of the AHP Topsis Analysis Was Applied for the Commercialization Military Aircraft Logistic Maintenance Establishment. Int. Bus. Manag. 2016, 10, 6428–6432. [Google Scholar]
- Cho HTF. Analytic Hierarchy Process for Survey Data in R (Vignettes). 2018.
- Fang, J.; Partovi, F.Y. Criteria determination of analytic hierarchy process using a topic model. Expert Syst. Appl. 2021, 169, 114306. [Google Scholar] [CrossRef]
- Lane, E.F.; Verdini, W.A. A Consistency Test for AHP Decision Makers. Decis. Sci. 1989, 20, 575–590. [Google Scholar] [CrossRef]
- Nguyen, T.; Nahavandi, S. Modified AHP for Gene Selection and Cancer Classification Using Type-2 Fuzzy Logic. IEEE Trans. Fuzzy Syst. 2015, 24, 273–287. [Google Scholar] [CrossRef]
- Fong, K.Y.; Zhao, J.J.; Tan, E.; Syn, N.L.; Sultana, R.; Da Zhuang, K.; Chua, J.M.E.; Patel, A.; Irani, F.G.; Tay, K.H.; et al. Drug Coated Balloons for Dysfunctional Haemodialysis Venous Access: A Patient Level Meta-Analysis of Randomised Controlled Trials. Eur. J. Vasc. Endovasc. Surg. 2021, 62, 610–621. [Google Scholar] [CrossRef]
- Meng, Z.; Wang, J.; Lin, L.; Wu, C. Sensitivity analysis with iterative outlier detection for systematic reviews and meta-analyses. Stat. Med. 2024, 43, 1549–1563. [Google Scholar] [CrossRef]
- Shackelford, G.E.; Martin, P.A.; Hood, A.S.C.; Christie, A.P.; Kulinskaya, E.; Sutherland, W.J. Dynamic meta-analysis: a method of using global evidence for local decision making. BMC Biol. 2021, 19, 1–13. [Google Scholar] [CrossRef]
- Son, J.; Yang, S. A New Approach to Machine Learning Model Development for Prediction of Concrete Fatigue Life under Uniaxial Compression. Appl. Sci. 2022, 12, 9766. [Google Scholar] [CrossRef]
- Furlan, E.; Torresan, S.; Ronco, P.; Critto, A.; Breil, M.; Kontogianni, A.; Garmendia, M.; Pascual, M.; Sauzade, D.; Skourtos, M.; et al. Tools and methods to support adaptive policy making in marine areas: Review and implementation of the Adaptive Marine Policy Toolbox. Ocean Coast. Manag. 2018, 151, 25–35. [Google Scholar] [CrossRef]
- Motta, R.; de Oliveira, K.; Travassos, G. Technical report: Rapid reviews on engineering of internet of things software systems. arXiv Prepr. arXiv2101.05869 2021.
- Khodarahmi, E. Crisis management. Disaster Prev. Manag. An Int. J. 2009, 18, 523–528. [Google Scholar] [CrossRef]
- Scolobig, A.; De Marchi, B.; Borga, M. The missing link between flood risk awareness and preparedness: findings from case studies in an Alpine Region. Nat. Hazards 2012, 63, 499–520. [Google Scholar] [CrossRef]
- Training, B.; The, C.; Sector, F.; Rumsfeld, D.; Bates, A.M.; Ferguson, A.N.; et al. Managing Risk : Identifying Black Swans through Knowledge Management. 2010. [Google Scholar]
- Aven, T. On the meaning of a black swan in a risk context. Saf. Sci. 2013, 57, 44–51. [Google Scholar] [CrossRef]
- Taleb, N.N. Black Swans and the Domains of Statistics. Am. Stat. 2007, 61, 198–200. [Google Scholar] [CrossRef]
- Tin, D.; Sabeti, P.; Ciottone, G.R. Bioterrorism: An analysis of biological agents used in terrorist events. Am. J. Emerg. Med. 2022, 54, 117–121. [Google Scholar] [CrossRef]
- Parker, L. Bioterrorism and Intelligence. Glob. Secur. Stud. 2013, 4. [Google Scholar]
- Radosavljevic, V.; Belojevic, G. A New Model of Bioterrorism Risk Assessment. Biosecurity Bioterrorism: Biodefense Strat. Pr. Sci. 2009, 7, 443–451. [Google Scholar] [CrossRef]
- Patlovich, S.J.; King, K.G.; Emery, R.J.; Becker, Z.B.; Kairis, R.B. Practical Considerations for Navigating Withdrawal from the Federal Select Agent Program. Appl. Biosaf. 2023, 29, 19–25. [Google Scholar] [CrossRef] [PubMed]
- Haines, C.A.; Gronvall, G.K. Improving U.S. Biosafety and Biosecurity: Revisiting Recommendations from the Federal Experts Security Advisory Panel and the Fast Track Action Committee on Select Agent Regulations. Appl. Biosaf. 2023, 28, 43–54. [Google Scholar] [CrossRef] [PubMed]












| Ref.1 | Title | Journal | Year | Citations (27 feb. 2024) | Experts / DM 1 | Valid.1 | Sens. An.1 |
|---|---|---|---|---|---|---|---|
| [14] | Global supplier development considering risk factors using fuzzy extended AHP-based approach | OMEGA | 2007 | 994 | N | N | Y |
| [15] | Construction projects selection and risk assessment by fuzzy AHP and fuzzy TOPSIS methodologies | Applied Soft Computing Journal | 2014 | 435 | 7 | N | N |
| [16] | Urban flood vulnerability and risk mapping using integrated multi-parametric AHP and GIS: methodological overview and case study assessment | Water (Switzerland) | 2014 | 413 | 16 | Y | N |
| [17] | A novel approach to risk assessment for occupational health and safety using pythagorean fuzzy AHP & fuzzy inference system | Safety Science | 2018 | 385 | N | Y | N |
| [18] | Risk analysis in green supply chain using fuzzy AHP approach: a case study | Resources, Conservation and Recycling | 2015 | 368 | 16 | N | Y |
| [19] | Comprehensive flood risk assessment based on set pair analysis-variable fuzzy sets model and fuzzy AHP | Stochastic Environmental Research and Risk Assessment | 2013 | 308 | 6 | Y | N |
| [20] | An integrated decision support system based on ANN and fuzzy AHP for heart failure risk prediction | Expert Systems with Applications | 2017 | 290 | N | N | Y |
| [21] | Safety risk assessment using Analytic Hierarchy Process (AHP) during planning and budgeting of construction projects | Journal of Safety Research | 2013 | 275 | N | Y | N |
| [22] | Managing risks in the supply chain using the AHP method | The International Journal of Logistics Management | 2006 | 273 | 4 | N | N |
| [23] | Risk evaluation using a novel hybrid method based on FMEA, extended MULTIMOORA, and AHP methods under fuzzy environment | Safety Science | 2018 | 272 | 5 | N | Y |
| [24] | Project risk assessment using the Analytic Hierarchy Process | IEEE Transactions on Engineering Management | 1991 | 268 | N | N | Y |
| [25] | A two-stage fuzzy-AHP model for risk assessment of implementing green initiatives in the fashion supply chain | International Journal of Production Economics | 2012 | 252 | N | N | N |
| [26] | Risk management in the construction industry using combined fuzzy FMEA and fuzzy AHP | Journal of Construction Engineering and Management | 2010 | 247 | 1* | Y | N |
| [27] | Quantifying risks in a supply chain through integration of fuzzy AHP and fuzzy TOPSIS | International Journal of Production Research | 2013 | 241 | 3* | Y | N |
| [28] | Assessing risk and uncertainty inherent in chinese highway projects using AHP | International Journal of Project Management | 2008 | 228 | 4 | Y | N |
| Main Goal | ||
| Propose a risk analysis model for biological agents with potential offensive use in Brazil | ||
| Specific Objectives | Steps and Procedures | Sections |
| a. Review the literature on biosecurity risk analysis | 1. Search the literature for risk analysis models for biological agents; | Section 2 and Section 3.2 |
| 2. Select a reference system that meets the requirements for this study; | Section 3.2 | |
| b. Adapt a reference system to the Brazilian conditions (geographic, epidemiological aspects, others) | 3. Translate the selected model; | Supplementary material [36] |
| 4. Adapt the criteria and subcriteria to the Brazilian context; | Section 3.3 | |
| 5. Select biological agents to test the model | Section 3.4 | |
| c. Select a decision support method for risk analysis | 6. Survey a suitable method to address the problem; | Section 2 |
| d. Test the proposed system with experts. | 7. Prepare a questionnaire; | Section 3.5 and the Supplementary material [36] |
| 8. Select a panel of Brazilian experts; | Section 3.5 | |
| 9. Design the algorithm and calculation procedures; | Section 3.6 | |
| 10. Collect experts’ answers; | Supplementary material [36] | |
| 11. Compute experts’ answers; | Section 4 | |
| 12. Analyze the results. | Section 5 | |
| Expert | Undergrad. | Postgrad. | Occupation | Professional experience (years) | Laboratory experience (years) |
| Exp 1 | Microbiology and Immunology | Master's and PhD in Microbiology | Researcher at a governmental Public Health Institute | 20 | 25 |
| Exp 2 | Veterinary medicine | Master’s in Microbiology | Military Veterinarian | 19 | 12 |
| Exp 3 | Veterinary medicine | Master's in Health Surveillance | Federal Agricultural Tax Auditor | 21 | 27 |
| Exp 4 | Veterinary medicine | Master's in Parasitology and PhD in Biochemistry | Full Professor | 25 | 25 |
| Exp 5 | Engineering | Specialization in Epidemiology; Master's in Environmental Sciences; PhD in Public Health |
Technologist | 24 | -- |
| Exp 6 | Nursing | Specialization in Public Health, Infectious Diseases, Emergency Management, Disasters and Epidemiology | Full Professor | 19 | -- |
| Exp 7 | Pharmacy and Medicine | Specialization in Occupational Medicine and Nuclear Medicine | Coordinator of sensitive goods in the biological area | 20 | 10 |
| Exp 8 | Biological Sciences | Master's and PhD in Molecular Pathology (Immunology) | Environmental Analyst and Federal Environmental Agent | 19 | 10 |
| Exp 9 | Biological Sciences | PhD in Cellular and Molecular Biology | Public Health Researcher | 35 | 35 |
| Pairwise evaluation | Scale points | Expert’s perception | Example of pairwise evaluation (see Figure 5) |
| Equivalent | 1 | Two criteria are equivalent with respect to the main objective; Two alternatives are equivalent with respect to a criterion. |
“Criterion 1 is equivalent to Criterion 2, in relation to the main objective” |
| Moderate | 3 | One criterion is little more important than another in relation to the objective; One alternative is little more important than another with respect to a criterion. |
“Alternative 3 is little more important than Alternative 1, considering the Criterion 2” |
| Little strong | 5 | One criterion is more important than another in relation to the objective; One alternative is more important than another in relation to a criterion. |
“Criterion 4 is more important than Criterion 2, in relation to the main objective” |
| Stronger | 7 | One criterion is much more important than another in relation to the objective; One alternative is much more important than another in relation to a criterion. |
“Alternative 2 is much more important than Alternative 1, considering the Criterion 3” |
| Extreme | 9 | One criterion is extremely more important than another in relation to the objective; One alternative is extremely more important than another in relation to a criterion. |
“Criterion 2 is extremely more important than Criterion 3, in relation to the main objective” |
| Intermediate intensities | 2, 4, 6, 8 | Gradations of relationships by intermediate values of the nine-point scale. | “Alternative 1 is between equivalent and little more important than Alternative 2, in relation to Criterion 3” |
| Equations | Description | Examples | |
![]() |
A: matrix of pairwise evaluations of an Expert aij: value of a pairwise evaluation n: number of criteria/alternatives |
![]() |
(1) |
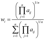
![]() |
wi: matrix eigenvectors (weights of the criteria or alternatives) i: matrix line j: matrix column ∑: sum ∏: product |
wA = 0.1884 wB = 0.7306 wC= 0.0809 |
(2) |
![]() |
As: product matrix of evaluations and eigenvector (w) | w'A = 0.5774 w’B = 2.2393 w’C= 0.2481 |
(3) |
![]() |
λmax: maximum eigenvalue of the reciprocal matrix | λmax = 3.0649 | (4) |
![]() |
IC: Consistency Index | IC = 0.0324 | (5) |
![]() |
RC: Consistency Ratio (evaluator logic) RC<0,1 – threshold for logical consistent evaluations IR: Random Index based on Table 6 |
IR = 0.58 RC = 0.0559 |
(6) |
| Number of variables in the matrix | 1 | 2 | 3 | 4 | 5 | 6 | 7 | 8 | 9 |
| Random Index (IR) | 0 | 0 | 0.58 | 0.9 | 1.12 | 1.24 | 1.32 | 1.41 | 1.45 |
| Crit/ SubC | Exp 1 | Exp 2 | Exp 3 | Exp 4 | Exp 5 | Exp 6 | Exp 7 | Exp 8 | Exp 9 | Mean |
| C1 | 0.14 | 0.50 | 0.11 | 0.17 | 0.50 | 0.10 | 0.17 | 0.11 | 0.10 | 0.21 |
| SC1.1 | 0.05 | 0.04 | 0.04 | 0.06 | 0.06 | 0.04 | 0.07 | 0.07 | 0.10 | 0.06 |
| SC1.2 | 0.37 | 0.32 | 0.37 | 0.52 | 0.49 | 0.32 | 0.47 | 0.62 | 0.56 | 0.45 |
| SC1.3 | 0.21 | 0.32 | 0.21 | 0.21 | 0.31 | 0.32 | 0.29 | 0.07 | 0.25 | 0.24 |
| SC1.4 | 0.37 | 0.32 | 0.37 | 0.21 | 0.13 | 0.32 | 0.17 | 0.23 | 0.10 | 0.25 |
| C2 | 0.86 | 0.50 | 0.89 | 0.83 | 0.50 | 0.90 | 0.83 | 0.89 | 0.90 | 0.79 |
| SC2.1 | 0.34 | 0.16 | 0.52 | 0.02 | 0.19 | 0.10 | 0.09 | 0.12 | 0.10 | 0.18 |
| SC2.2 | 0.15 | 0.05 | 0.08 | 0.02 | 0.04 | 0.02 | 0.03 | 0.03 | 0.02 | 0.05 |
| SC2.3 | 0.09 | 0.16 | 0.08 | 0.15 | 0.19 | 0.10 | 0.33 | 0.12 | 0.10 | 0.15 |
| SC2.4 | 0.09 | 0.16 | 0.05 | 0.15 | 0.03 | 0.10 | 0.03 | 0.07 | 0.16 | 0.09 |
| SC2.5 | 0.05 | 0.16 | 0.14 | 0.15 | 0.19 | 0.58 | 0.17 | 0.41 | 0.04 | 0.21 |
| SC2.6 | 0.05 | 0.16 | 0.08 | 0.15 | 0.19 | 0.01 | 0.04 | 0.12 | 0.10 | 0.10 |
| SC2.7 | 0.23 | 0.16 | 0.05 | 0.35 | 0.19 | 0.10 | 0.33 | 0.12 | 0.48 | 0.22 |
| Excluded outliers | P-value | Significant difference between Y. pestis and F. tularensis risks (confidence level 95%) |
| Exp 4 | 0.05469 | No (p-value > 0.05) |
| Exp 6 | 0.3828 | No (p-value > 0.05) |
| Exp 9 | 0.1484 | No (p-value > 0.05) |
| Exp 4 and Exp 6 | 0.1094 | No (p-value > 0.05) |
| Exp 4 and Exp 9 | 0.03125 | Yes (p-value < 0.05) |
| Exp 6 and Exp 9 | 0.2969 | No (p-value > 0.05) |
| Exp 4, Exp 6 and Exp 9 | 0.0625 | No (p-value > 0.05) |
Disclaimer/Publisher’s Note: The statements, opinions and data contained in all publications are solely those of the individual author(s) and contributor(s) and not of MDPI and/or the editor(s). MDPI and/or the editor(s) disclaim responsibility for any injury to people or property resulting from any ideas, methods, instructions or products referred to in the content. |
© 2024 by the authors. Licensee MDPI, Basel, Switzerland. This article is an open access article distributed under the terms and conditions of the Creative Commons Attribution (CC BY) license (http://creativecommons.org/licenses/by/4.0/).






