Submitted:
11 July 2024
Posted:
17 July 2024
You are already at the latest version
Abstract

Keywords:
1. Introduction
2. Materials and Methods
3. Results and Discussion
3.1. Metrics in Practice
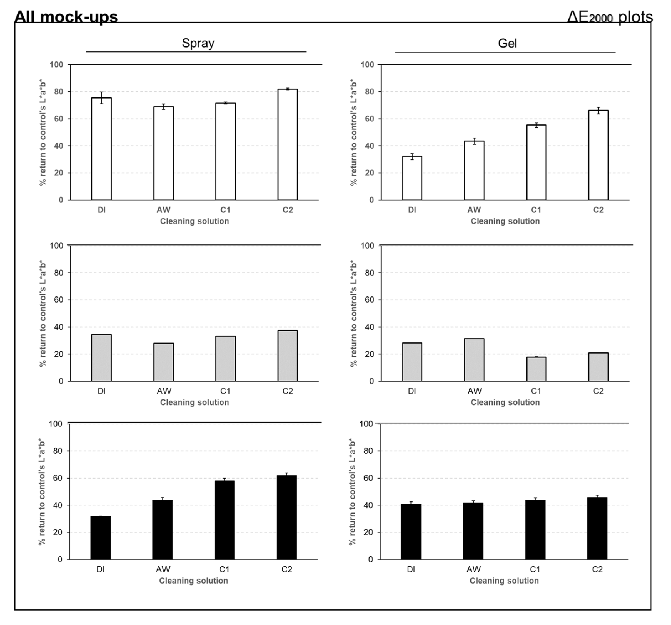
3.1.1. Image-Based Metrics: L*a*b*
3.1.2. Image-Based Metrics: Skewness
3.1.3. Appearance-Based Metrics: Colour and Gloss
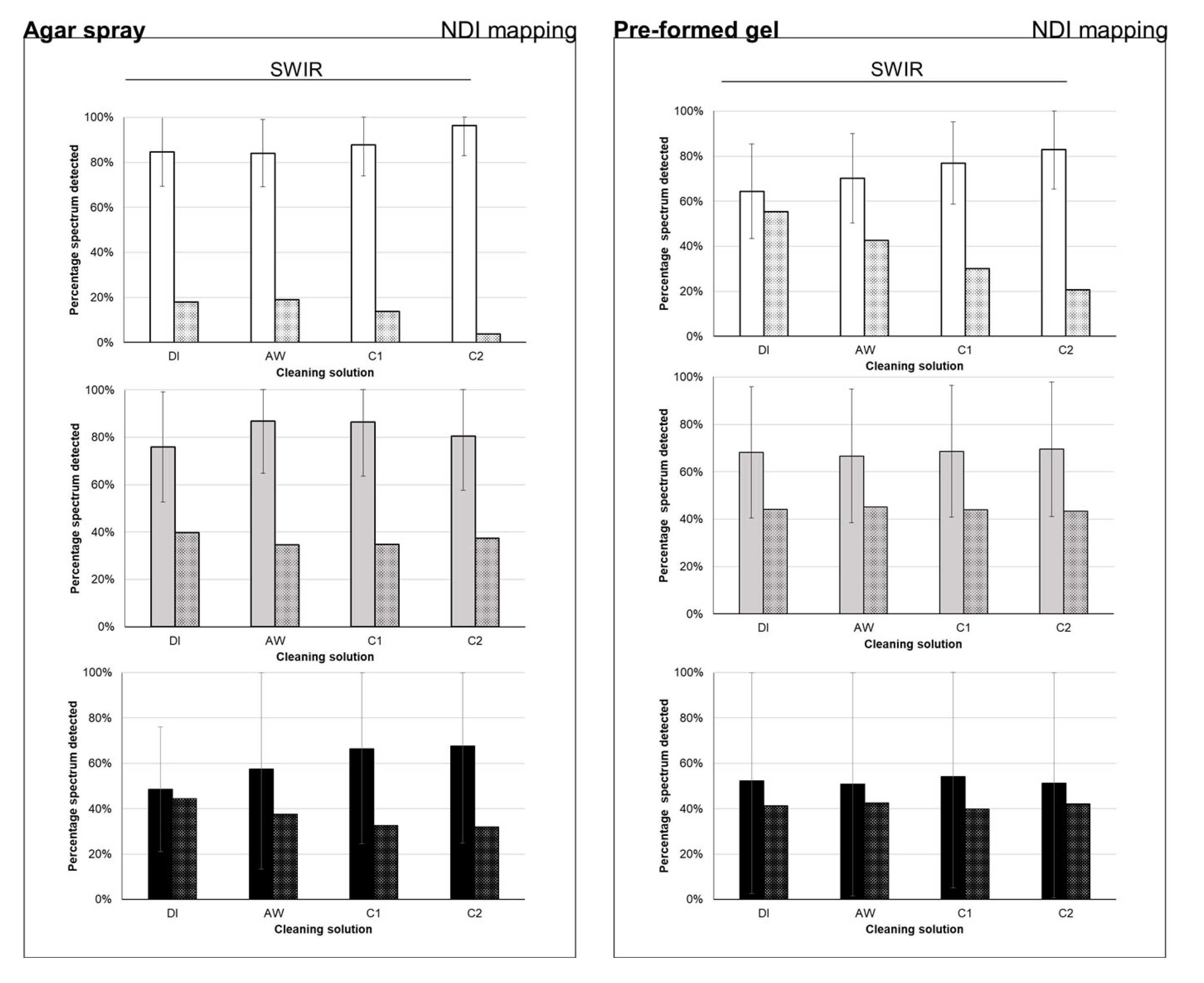
3.1.4. Spectral-Based Metrics: HSI
3.1.5. Spectral-Based Metrics: FTIR
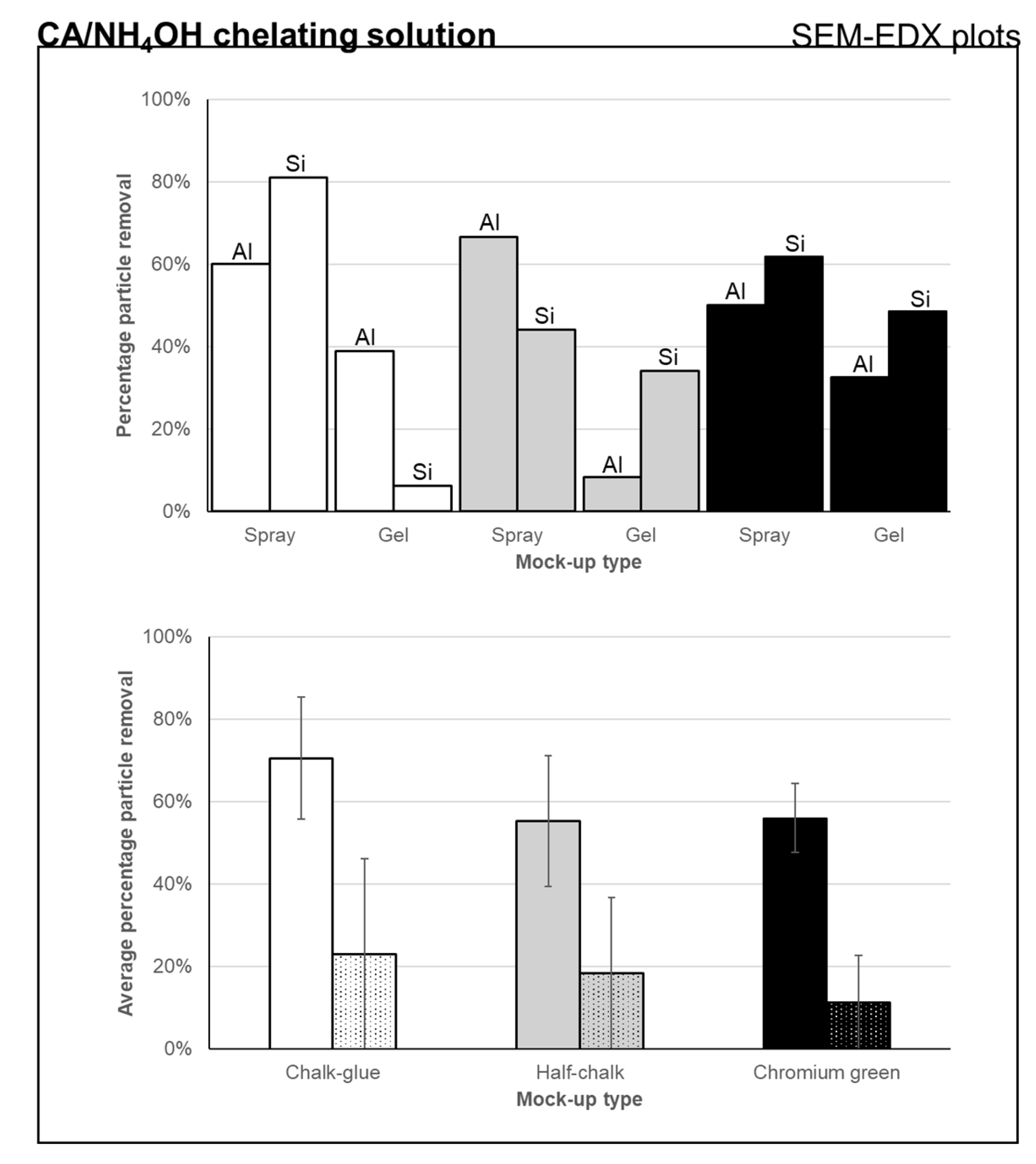
3.1.6. Spectral-Based Metrics: SEM-EDX
3.2. Evaluating Soiling Removal Scores Using the Metrics
4. Conclusions
Supplementary Materials
Author Contributions
Funding
Data Availability Statement
Acknowledgments
Conflicts of Interest
Appendix A: Additional Methodological Details
| Incident Light | Raking Light | ||
|---|---|---|---|
| Image Capture | Image Capture | ||
| ISO | 100 (ground); 200 (paint) | ISO | 160 (ground); 200 (paint) |
| Exposure | 1/125 s | Exposure | 1/125 s |
| Aperture | f/2.8 | Aperture | f/2.8 |
| Setup Geometries | Setup Geometries | ||
| Camera height | 73 cm | Camera height | 73 cm |
| Light quantity | 2 (left and right) | Light quantity | 1 (right) |
| Lights height from plane | 39 cm | Lights height from plane | 16 cm |
| Lights angle from plane | 45o | Lights angle from plane | 60o |
| Lights to lens distance | 45 cm | Lights to lens distance | 75 cm |
| HSI Cameras | VNIR1800 | SWIR384 | Lights | Tungsten-Halogen |
|---|---|---|---|---|
| Spectral range, nm | 407-998 | 951-2505 | Spectral coverage, nm | c. 320-2600 |
| Spectral bands | 186 | 288 | Quantity | 2 |
| Spectral intervala, nm | 3.26 | 5.45 | Room lighting | Darkness |
| Pixels acquired | 1800 | 384 | Geometryb | 45o, h: 130 cm, d: various |
| Focal length, m | 0.30 | 0.30 | Spectral reflectance | Spectralon white (99%) |
| Field-of-viewc, cm | 8.60 | 8.60 | standard | and grey (50%) diffuse |
| Spatial resolution, μm | 50 | 220 | ||
| Mount | Fixed, perpendicular to surface | Mount | Fixed to stage | |
| Acquisition Parameters | ||||
| HSNRd | 0 | 0 | ||
| Integration time, μs | ||||
| for exposed ground | 25000 | 6900 | ||
| for oil paint | 39000 | 10800 | ||



Appendix B: Discussion of Unsupervised Unmixing for Soiling Removal Mapping

References
- Ormsby, B.; Bartoletti, A.; van den Berg, K. J.; Stavroudis, C. Cleaning and Conservation: Recent Successes and Challenges. Heritage Science 2024, 12, 10. [Google Scholar] [CrossRef]
- Dirt and Dirt Removal | Paintings, Conservation; Van den Berg, K. J. Dirt and Dirt Removal | Paintings Conservation; Van den Berg, K. J., Gorter, L., Eds.; Paintings Conservation; Cultural Heritage Agency Netherlands: Amersfoort 2022.
- Passaretti, A.; Cuvillier, L.; Sciutto, G.; Guilminot, E.; Joseph, E. Biologically Derived Gels for the Cleaning of Historical and Artistic Metal Heritage. Applied Sciences 2021, 11, 3405. [Google Scholar] [CrossRef]
- Angelova, L. V.; Ormsby, B.; Townsend, J.; Wolbers, R. Gels in the Conservation of Art; Archetype Publications 2017.
- Mastrangelo, R.; Montis, C.; Bonelli, N.; Tempesti, P.; Baglioni, P. Surface Cleaning of Artworks: Structure and Dynamics of Nanostructured Fluids Confined in Polymeric Hydrogel Networks. Phys. Chem. Chem. Phys. 2017, 19, 23762–23772. [Google Scholar] [CrossRef]
- Issue S1: Proceedings of the LACONA 10 Conference, Sharjah 2014, 15; Elnaggar, A., Nevin, A., Castillejo, M., Strlič, M., Eds.; Routledge: Studies in Conservation 2015. 20 August.
- Alabone, G.; Carvajal, M. S. The Removal of Bronze Paint Repairs from Overgilded Picture Frames Using an Erbium:YAG Laser. Journal of the Institute of Conservation 2020, 43, 107–121. [Google Scholar] [CrossRef]
- Duncan, T. T.; Chan, E. P.; Beers, K. L. Maximizing Contact of Supersoft Bottlebrush Networks with Rough Surfaces to Promote Particulate Removal. ACS Appl. Mater. Interfaces 2019, 11, 45310–45318. [Google Scholar] [CrossRef]
- Freese, S.; Diraoui, S.; Mateescu, A.; Frank, P.; Theodorakopoulos, C.; Jonas, U. Polyolefin-Supported Hydrogels for Selective Cleaning Treatments of Paintings. Gels 2019, 6, 1. [Google Scholar] [CrossRef]
- Bartoletti, A.; Barker, R.; Chelazzi, D.; Bonelli, N.; Baglioni, P.; Lee, J.; Angelova, L. V.; Ormsby, B. Reviving WHAAM! A Comparative Evaluation of Cleaning Systems for the Conservation Treatment of Roy Lichtenstein’s Iconic Painting. Herit Sci 2020, 8, 9. [Google Scholar] [CrossRef]
- Mastrangelo, R.; Chelazzi, D.; Poggi, G.; Fratini, E.; Pensabene Buemi, L.; Petruzzellis, M. L.; Baglioni, P. Twin-Chain Polymer Hydrogels Based on Poly(Vinyl Alcohol) as New Advanced Tool for the Cleaning of Modern and Contemporary Art. Proc Natl Acad Sci U S A 2020, 117, 7011–7020. [Google Scholar] [CrossRef]
- Sansonetti, A.; Bertasa, M.; Canevali, C.; Rabbolini, A.; Anzani, M.; Scalarone, D. A Review in Using Agar Gels for Cleaning Art Surfaces. Journal of Cultural Heritage 2020, 44, 285–296. [Google Scholar] [CrossRef]
- Al-Emam, E.; Motawea, A. G.; Caen, J.; Janssens, K. Soot Removal from Ancient Egyptian Complex Painted Surfaces Using a Double Network Gel: Empirical Tests on the Ceiling of the Sanctuary of Osiris in the Temple of Seti I—Abydos. Heritage Science 2021, 9, 1–10. [Google Scholar] [CrossRef]
- Bertasa, M.; Canevali, C.; Sansonetti, A.; Lazzari, M.; Malandrino, M.; Simonutti, R.; Scalarone, D. An In-Depth Study on the Agar Gel Effectiveness for Built Heritage Cleaning. Journal of Cultural Heritage 2021, 47, 12–20. [Google Scholar] [CrossRef]
- Jia, Y.; Sciutto, G.; Botteon, A.; Conti, C.; Focarete, M. L.; Gualandi, C.; Samorì, C.; Prati, S.; Mazzeo, R. Deep Eutectic Solvent and Agar: A New Green Gel to Remove Proteinaceous-Based Varnishes from Paintings. Journal of Cultural Heritage 2021, 51, 138–144. [Google Scholar] [CrossRef]
- Stoveland, L. P.; Frøysaker, T.; Stols-Witlox, M.; Grøntoft, T.; Steindal, C. C.; Madden, O.; Ormsby, B. Evaluation of Novel Cleaning Systems on Mock-Ups of Unvarnished Oil Paint and Chalk-Glue Ground within the Munch Aula Paintings Project. Herit Sci 2021, 9, 144. [Google Scholar] [CrossRef]
- Giordano, A.; Caruso, M. R.; Lazzara, G. New Tool for Sustainable Treatments: Agar Spray—Research and Practice. Heritage Science 2022, 10, 123. [Google Scholar] [CrossRef]
- Delattre, C.; Bearman, G.; Choi, Y. L.; McPherson, L.; Stiglitz, M. The Use of Enzymatic Gels in the Conservation Treatment of Mendelssohn’s “Green Books.” In ICOM-CC 20th Triennial Conference Preprints Valencia 18-22 September; ICOM: Paris 2023; pp 1–8.
- Husby, L. M.; Andersen, C. K.; Pedersen, N. B.; Ormsby, B. Selecting, Modifying, and Evaluating of Water-Based Methods for the Removal of Dammar Varnish from Oil Paint. Meddelelser om Konservering 2023 2023, 51–65. [Google Scholar]
- Husby, L. M.; Andersen, C. K.; Pedersen, N. B.; Ormsby, B. Evaluating Three Water-Based Systems and One Organic Solvent for the Removal of Dammar Varnish from Artificially Aged Oil Paint Samples. Heritage Science 2023, 11, 244. [Google Scholar] [CrossRef]
- Ortiz Miranda, A. S.; Lehmann Banke, P.; Ludvigsen, L. Non-Invasive Imaging Systems as Tools for Evaluating Treatments: The Case “Bathers” by Henri Matisse. In ICOM-CC 20th Triennial Conference Preprints Valencia 18-22 September; Bridgland, J., Ed.; ICOM: Paris 2023; pp 1–11. 22 September.
- Tobin, G.; Sawicki, M. Developing Conservation Practices for Cleaning Gilded Surfaces: Application for xPVOH-Borax Organogels to Clean Two Gilded Frames. In ICOM-CC 20th Triennial Conference Preprints Valencia 18-22 September; Bridgland, J., Ed.; ICOM: Paris 2023; pp 1–16. 22 September.
- Cuvillier, L.; Passaretti, A.; Guilminot, E.; Joseph, E. Agar and Chitosan Hydrogels’ Design for Metal-Uptaking Treatments. Gels 2024, 10, 55. [Google Scholar] [CrossRef] [PubMed]
- Giordano, A.; Cremonesi, P. New Methods of Applying Rigid Agar Gels: From Tiny to Large-Scale Surface Areas. Studies in Conservation 2021, 66, 437–448. [Google Scholar] [CrossRef]
- Macchia, A.; Biribicchi, C.; Carnazza, P.; Montorsi, S.; Sangiorgi, N.; Demasi, G.; Prestileo, F.; Cerafogli, E.; Colasanti, I. A.; Aureli, H.; et al. Multi-Analytical Investigation of the Oil Painting “Il Venditore Di Cerini” by Antonio Mancini and Definition of the Best Green Cleaning Treatment. Sustainability 2022, 14, 3972. [Google Scholar] [CrossRef]
- Frøysaker, T. Unintended Contamination? A Selection of Munch’s Paintings with Non-Original Zinc White. In Public paintings by Edvard Munch and his contemporaries. Change and conservation challanges; Frøysaker, T., Streeton, N. L. W., Kutzke, H., Hanssen-Bauer, F., Topalova-Casadiego, B., Eds.; Archetype Publications: London 2015; pp 132–140.
- Daudin-Schotte, M.; Bisschoff, M.; Joosten, I.; Keulen, H. van; Berg, K. J. van den. Dry Cleaning Approaches for Unvarnished Paint Surfaces. In New Insights into the Cleaning of Paintings: Proceedings from the Cleaning 2010 International Conference Universidad Politécnica de Valencia and Museum Conservation Institute; Mecklenburg, M., Charola, A. E., Koestler, R. J., Eds.; Smithsonian Institution Scholary Press: Washington D.C. 2013; pp 209–219.
- Gillman, M.; Lee, J.; Ormsby, B.; Burnstock, A. Water-Sensitivity in Modern Oil Paintings: Trends in Phenomena and Treatment Options. In Conservation of Modern Oil Paintings; van den Berg, K. J., Bonaduce, I., Burnstock, A., Ormsby, B., Scharff, M., Carlyle, L., Heydenreich, G., Keune, K., Eds.; Springer International Publishing: Cham 2019; pp 477–494. [CrossRef]
- Ormsby, B.; Lee, J.; Bonaduce, I.; Lluveras-Tenorio, A. Evaluating Cleaning Systems for Use on Water Sensitive Modern Oil Paints: A Comparative Study. In Conservation of Modern Oil Paintings; van den Berg, K. J., Bonaduce, I., Burnstock, A., Ormsby, B., Scharff, M., Carlyle, L., Heydenreich, G., Keune, K., Eds.; Springer International Publishing: Cham 2019; pp 11–35. [CrossRef]
- Bartoletti, A.; Maor, T.; Chelazzi, D.; Bonelli, N.; Baglioni, P.; Angelova, L. V.; Ormsby, B. A. Facilitating the Conservation Treatment of Eva Hesse’s Addendum through Practice-Based Research, Including a Comparative Evaluation of Novel Cleaning Systems. Heritage Science 2020, 8, 35. [Google Scholar] [CrossRef]
- Chung, J.; Ormsby, B.; Burnstock, A.; Van den Berg, K.; Lee, J. An Investigation of Methods for Surface Cleaning Unvarnished Water-Sensitive Oil Paints Based on Recent Developments for Acrylic Paints. In ICOM-CC 18th Triennial Conference, Preprints, Copenhagen; ICOM: Copenhagen 2017; pp 4–8.
- Sully, D. Conservation Theory and Practice: Materials, Values, and People in Heritage Conservation. In The International Handbooks of Museum Studies; John Wiley & Sons, Ltd 2015; pp 293–314. [CrossRef]
- Cutajar, J. D.; Duckor, A.; Sully, D.; Fredheim, L. H. A Significant Statement: New Outlooks on Treatment Documentation. Journal of the Institute of Conservation 2016, 39, 81–97. [Google Scholar] [CrossRef]
- Fredheim, L. H.; Khalaf, M. The Significance of Values: Heritage Value Typologies Re-Examined. International Journal of Heritage Studies 2016, 22, 466–481. [Google Scholar] [CrossRef]
- Avrami, E.; Mason, R. Mapping the Issue of Values. Values in heritage management. Emerging approaches and research directions 2019, 9–33. [Google Scholar]
- Lithgow, K.; Golfomitsou, S.; Dillon, C. Coming Clean about Cleaning. Professional and Public Perspectives: Are Conservators Truthful and Visitors Useful in Decision-Making? Studies in Conservation 2018, 63 (sup1), 392–396. [Google Scholar] [CrossRef]
- Coming Clean http://www.comingcleanucl.com (accessed Oct 29 2022).
- Carlyle, L.; Witlox, M. Historically Accurate Reconstructions of Artists’ Oil Painting Materials. Tate Papers 2005, 7, 1–9. [Google Scholar]
- Carlyle, L. Historically Accurate Reconstructions of Oil Painters Materials: An Overview of the HART Project 2002-2005. In Reporting Highlights of the De Mayerne Programme: Research programme on molecular studies in conservation and technical studies in history; Ferreira, E. S. B., Jaap, J. B., Eds.; Netherlands Organisation for Scientific Research: The Hague 2006; pp 63–76.
- Lawson, L.; Cane, S. Do Conservators Dream of Electric Sheep? Replicas and Replication. Studies in Conservation 2016, 61 (sup2), 109–113. [Google Scholar] [CrossRef]
- Pugliese, M.; Ferriani, B.; Ratti, I. Materiality and Immateriality in Lucio Fontana’s Environments: From Documentary Research to the Reproduction of Lost Artworks. Studies in Conservation 2016, 61 (sup2), 188–192. [Google Scholar] [CrossRef]
- Stoveland, L. P.; Stols-Witlox, M.; Ormsby, B.; Streeton, N. L. W. Mock-Ups and Materiality in Conservation Research. In Transcending boundaries: integrated approaches to conservation. ICOM-CC 19th triennial conference Beijing preprints; Bridgland, J., Ed.; ICOM-CC: Beijing 2021; pp 1–14.
- Stoveland, L. P.; Ormsby, B.; Stols-Witlox, M.; Frøysaker, T.; Caruso, F. Designing Paint Mock-Ups for a Study of Novel Surface Cleaning Techniques for Munch’s Unvarnished Aula Paintings. In Conservation of Modern Oil Paintings; van den Berg, K. J., Bonaduce, I., Burnstock, A., Ormsby, B., Scharff, M., Carlyle, L., Heydenreich, G., Keune, K., Eds.; Springer International Publishing: Cham 2019; pp 553–563. [CrossRef]
- Frøysaker, T.; Miliani, C.; Grøntoft, T.; Kleiva, I. Monitoring of Surface Blackening and Zinc Reaction Products on Prepared Samples Located Adjacent to Munch’s The Source in the Aula at the University of Oslo. In Public paintings by Edvard Munch and his contemporaries. Change and conservation challanges; Frøysaker, T., Streeton, N. L. W., Kutzke, H., Hanssen-Bauer, F., Topalova-Casadiego, B., Eds.; Archetype Publications: London 2015; pp 126–131.
- Duncan, T. T.; Vicenzi, E. P.; Lam, T.; Brogdon-Grantham, S. A. A Comparison of Dry Cleaning Materials for the Removal of Soot from Rough Papers: Journal of the American Institute for Conservation 2023, 39.
- Striova, J.; Dal Fovo, A.; Fontana, R. Reflectance Imaging Spectroscopy in Heritage Science. Riv. Nuovo Cim. 2020, 43, 515–566. [Google Scholar] [CrossRef]
- Duncan, T. T.; Chan, E. P.; Beers, K. L. Quantifying the ‘Press and Peel’ Removal of Particulates Using Elastomers and Gels. Journal of Cultural Heritage 2021, 48, 236–243. [Google Scholar] [CrossRef]
- Schindelin, J.; Arganda-Carreras, I.; Frise, E.; Kaynig, V.; Longair, M.; Pietzsch, T.; Preibisch, S.; Rueden, C.; Saalfeld, S.; Schmid, B.; et al. Fiji: An Open-Source Platform for Biological-Image Analysis. Nat Methods 2012, 9, 676–682. [Google Scholar] [CrossRef]
- Drumetz, L.; Chanussot, J.; Jutten, C. Chapter 2.7 - Variability of the Endmembers in Spectral Unmixing. In Data Handling in Science and Technology; Amigo, J. M., Ed.; Elsevier 2020; Vol. 32, pp 167–203. [CrossRef]
- Nascimento, J.; Martín, G. Chapter 2.6 - Nonlinear Spectral Unmixing. In Data Handling in Science and Technology; Amigo, J. M., Ed.; Elsevier 2020; Vol. 32, pp 151–166. [CrossRef]
- Quintano, C.; Fernández-Manso, A.; Shimabukuro, Y. E.; Pereira, G. Spectral Unmixing. International Journal of Remote Sensing 2012, 33, 5307–5340. [Google Scholar] [CrossRef]
- Neher, R. A.; Mitkovski, M.; Kirchhoff, F.; Neher, E.; Theis, F. J.; Zeug, A. Blind Source Separation Techniques for the Decomposition of Multiply Labeled Fluorescence Images. Biophysical Journal 2009, 96, 3791–3800. [Google Scholar] [CrossRef] [PubMed]
- McRae, T. D.; Oleksyn, D.; Miller, J.; Gao, Y.-R. Robust Blind Spectral Unmixing for Fluorescence Microscopy Using Unsupervised Learning. PLOS ONE 2019, 14, e0225410. [Google Scholar] [CrossRef] [PubMed]
- Malegori, C.; Alladio, E.; Oliveri, P.; Manis, C.; Vincenti, M.; Garofano, P.; Barni, F.; Berti, A. Identification of Invisible Biological Traces in Forensic Evidences by Hyperspectral NIR Imaging Combined with Chemometrics. Talanta 2020, 215, 120911. [Google Scholar] [CrossRef] [PubMed]
- Piarulli, S.; Sciutto, G.; Oliveri, P.; Malegori, C.; Prati, S.; Mazzeo, R.; Airoldi, L. Rapid and Direct Detection of Small Microplastics in Aquatic Samples by a New near Infrared Hyperspectral Imaging (NIR-HSI) Method. Chemosphere 2020, 260, 127655. [Google Scholar] [CrossRef] [PubMed]
- Lugli, F.; Sciutto, G.; Oliveri, P.; Malegori, C.; Prati, S.; Gatti, L.; Silvestrini, S.; Romandini, M.; Catelli, E.; Casale, M.; et al. Near-Infrared Hyperspectral Imaging (NIR-HSI) and Normalized Difference Image (NDI) Data Processing: An Advanced Method to Map Collagen in Archaeological Bones. Talanta 2021, 226, 122126. [Google Scholar] [CrossRef]
- Cutajar, J. D.; Babini, A.; Deborah, H.; Hardeberg, J. Y.; Joseph, E.; Frøysaker, T. Hyperspectral Imaging Analyses of Cleaning Tests on Edvard Munch’s Monumental Aula Paintings. Studies in Conservation 2022, 67 (sup1), 59–68. [Google Scholar] [CrossRef]
- CHANGE https://change-itn.eu/ (accessed Jul 1 2024).
- The Munch Aula Paintings project (MAP) - Department of Archaeology, Conservation and History https://www.hf.uio.no/iakh/english/research/projects/aula-project/index.html (accessed Jul 1 2024).
- Lee, J.; Ormsby, B.; Burnstock, A.; van den Berg, K. J. Modern Oil Paintings in Tate’s Collection: A Review of Analytical Findings and Reflections on Water-Sensitivity. In Conservation of Modern Oil Paintings; van den Berg, K. J., Bonaduce, I., Burnstock, A., Ormsby, B., Scharff, M., Carlyle, L., Heydenreich, G., Keune, K., Eds.; Springer International Publishing: Cham 2019; pp 495–522. [CrossRef]
- Frøysaker, T. The Paintings of Edvard Munch in the Assembly Hall of Oslo University. Their Treatment History and the Aula-Project. Restauro. Forum für Restauratoren, Konservatoren und Denkmalpfleger 2007, 113, 246–257. [Google Scholar]
- Frøysaker, T.; Liu, M. Four (of Eleven) Unvarnished Oil Paintings on Canvas by Edvard Munch in the Aula of Oslo University. Preliminary Notes on Their Materials, Techniques and Original Appearances. Restauro. Forum für Restauratoren, Konservatoren und Denkmalpfleger 2009, 115, 44–62. [Google Scholar]
- Frøysaker, T.; Miliani, C.; Liu, M. Non-Invasive Evaluation of Cleaning Tests Performed on “Chemistry” (1909-1916). A Large Unvarnished Oil Painting on Canvas by Edvard Munch. Restauro. Forum für Restauratoren, Konservatoren und Denkmalpfleger 2011, 117, 53–63. [Google Scholar]
- Frøysaker, T.; Liu, M.; Miliani, C. Extended Abstract—Noninvasive Assessments of Cleaning Tests on an Unvarnished Oil Painting on Canvas by Edvard Munch. In New Insights into the Cleaning of Paintings: Proceedings from the Cleaning 2010 International Conference, Universidad Politécnica de Valencia and Museum Conservation Institute; Mecklenburg, M., Charola, A. E., Koestler, R. J., Eds.; Smithsonian Institution Scholary Press: Washington D.C. 2013; pp 119–123.
- Mengshoel, K.; Liu, M.; Kempton, H. M.; Frøysaker, T. Moving Monumental Munch: From Listed Building to Temporary Studio - and Back Again. In Moving Collections. Processes and Consequences; Bronken, I. A. T., Braovac, S., Olstad, T. M., Ørnhøi, A. A., Eds.; Archetype Publications: London 2012; pp 65–72.
- Scharffenberg, K. S. Investigations of a Tide-Line and Its Influences on the Painting Materials in The Source. In Public paintings my Edvard Munch and his contemporaries. Change and conservation challanges; Frøysaker, T., Streeton, N. L. W., Kutzke, H., Hanssen-Bauer, F., Topalova-Casadiego, B., Eds.; Archetype Publications: London 2015; pp 117–125.
- Frøysaker, T.; Schönemann, A.; Gernert, U.; Stoveland, L. P. Past and Current Examinations of Ground Layers in Edvard Munch’s Canvas Paintings. Journal of Art Technology and Conservation 2019, 34, 285–300. [Google Scholar]
- Ormsby, B.; Soldano, A.; Keefe, M.; Phenix, A.; Learner, T. An Empirical Evaluation of a Range of Cleaning Agents for Removing Dirt from Artist’s Acrylic Emulsion Paints. In The AIC Painting Specialty Group Postprints. Volume 23 2010.; Buckley, B., Ed.; AIC: Washington D.C. 2013; pp 77–87.
- Mills, L.; Burnstock, A.; Keulen, H.; Duarte, F.; Megens, L.; Van den Berg, K. J. Water Sensitivity of Modern Artists’ Oil Paints. In ICOM Committee for Conservation, 15th Triennial Meeting; ICOM-CC: Rome 2008; Vol. 2, pp 651–659.
- ISO. ISO 4628-6: 2011. Paints and Varnishes — Evaluation of Degradation of Coatings — Designation of Quantity and Size of Defects, and of Intensity of Uniform Changes in Appearance — Part 6: Assessment of Degree of Chalking by Tape Method 2011.
- Giordano, A.; Cremonesi, P. Gel rigidi polisaccaridici per il trattamento dei manufatti artistici; Il Prato 2019.
- Keynan, D.; Hughes, A. Testing the Waters: New Technical Applications for the Cleaning of Acrylic Paint Films and Paper Supports. 2013, 9.
- Stavroudis, C.; Doherty, T. The Modular Cleaning Program in Practice: Application to Acrylic Paintings. In Proceedings from the Cleaning 2010 International Conference; Citeseer: Universidad Politecnica de Valencia and Museum Conservation Institute 2013; pp 139–145.
- Stoveland, L. P. Soiling Removal from Painted Mock-Ups. Evaluation of Novel Surface Cleaning Methods on Oil Paint and Chalk-Glue Ground in the Context of the Unvarnished Aula Paitnings by Edvard Munch. PhD, University of Oslo: Oslo 2021.
- Stavroudis, C. Gels: Evolution in Practice. In Gels in the conservation of art; Angelova, L. V., Ormsby, B., Townsend, J., Eds.; Archetype Publications: London 2017; pp 209–227.
- Charola, A. E.; Wachowiak, M.; Webb, E. K.; Grissom, C. A.; Chong, W.; Szczepanowska, H.; DePriest, P. Developing a Methodology to Evaluate the Effectiveness of a Biocide. New York 2012, 10. [Google Scholar]
- Doane, D. P.; Seward, L. E. Measuring Skewness: A Forgotten Statistic? Journal of Statistics Education 2011, 19, null. [Google Scholar] [CrossRef]
- Mills, J. S.; Smith, P. Cleaning, Retouching and Coating: Technology and Practice for Easel Paintings and Polychrome Sculpture; International Institute for Conservation of Historic and Artistic Works, 1990.
- Szczepanowska, H. M. Conservation of Cultural Heritage: Key Principles and Approaches; Routledge 2013.
- Issues in Contemporary Oil Paint; van den Berg, K. J., Burnstock, A., de Keijzer, M., Krueger, J., Learner, T., Tagle, de, A., Heydenreich, G., Eds.; Springer International Publishing: Cham 2014. [CrossRef]
- Conversation of Easel Paintings, 2nd edition.; Stoner, J. H., Rushfield, R. A., Eds.; Routledge series in conservation and museology; Routledge: New York 2021.
- Quabeck, N. Reframing the Notion of “The Artist’s Intent:” A Study of Caring for Thomas Hirschhorn’s Intensif-Station (2010). Journal of the American Institute for Conservation, 2021, 60 (2–3), 77–91. [CrossRef]
- Haralick, R. M.; Shanmugam, K.; Dinstein, I. Textural Features for Image Classification. IEEE Transactions on Systems, Man, and Cybernetics, 1973, SMC-3 (6), 610–621. [CrossRef]
- Murata, S.; Herman, P.; Lakowicz, J. R. Texture Analysis of Fluorescence Lifetime Images of AT- and GC-Rich Regions in Nuclei. J Histochem Cytochem 2001, 49, 1443–1451. [Google Scholar] [CrossRef] [PubMed]
- Cabrera, J. E. GLCM Texture Analyzer 2006.. https://imagej.nih.gov/ij/plugins/texture.html (accessed Nov 11 2022).
- Rosi, F.; Harig, R.; Miliani, C.; Braun, R.; Sali, D.; Daveri, A.; Brunetti, B. G.; Sgamellotti, A. Mid-Infrared Hyperspectral Imaging of Painting Materials; Pezzati, L., Targowski, P., Eds.; Munich, Germany 2013; p 87900Q. [CrossRef]
- Rosi, F.; Miliani, C.; Braun, R.; Harig, R.; Sali, D.; Brunetti, B. G.; Sgamellotti, A. Noninvasive Analysis of Paintings by Mid-Infrared Hyperspectral Imaging. Angew. Chem. Int. Ed. 2013, 52, 5258–5261. [Google Scholar] [CrossRef] [PubMed]
- Sandak, J.; Sandak, A.; Legan, L.; Retko, K.; Kavčič, M.; Kosel, J.; Poohphajai, F.; Diaz, R. H.; Ponnuchamy, V.; Sajinčič, N.; et al. Nondestructive Evaluation of Heritage Object Coatings with Four Hyperspectral Imaging Systems. Coatings 2021, 11, 244. [Google Scholar] [CrossRef]
- Russo, S.; Brambilla, L.; Thomas, J.-B.; Joseph, E. 2D Chemical Imaging for the Monitoring of the Formation of Metal Soaps on Oil-Painted Copper and Zinc Substrates. In Metal 2022 Proceedings of the Interim Meeting of the ICOM-CC Metals Working Group September 5-9 2022 Helsinki, Finland; COM-CC: Helsinki.
- Knez, D.; Toulson, B. W.; Chen, A.; Ettenberg, M. H.; Nguyen, H.; Potma, E. O.; Fishman, D. A. Spectral Imaging at High Definition and High Speed in the Mid-Infrared. Science Advances 2022, 8, eade4247. [Google Scholar] [CrossRef] [PubMed]
- Bindokas, V.; Mascalchi, P. ImageJ / Fiji Macro to Automatically Correct White Balance in RGB Images 2017. https://github.com/pmascalchi/ImageJ_Auto-white-balance-correction (accessed Nov 1 2022).
- Image.sc. Auto White Balance of Stack - Image Analysis 2019. https://forum.image.sc/t/auto-white-balance-of-stack/22439/1 (accessed Nov 1 2022).
- Schwartzwald, D. Color Space Converter 2012. https://imagej.nih.gov/ij/plugins/color-space-converter.html (accessed Nov 1 2022).
- Pillay, R.; Hardeberg, J. Y.; George, S. Hyperspectral Imaging of Art: Acquisition and Calibration Workflows. Journal of the American Institute for Conservation, 2019, 58 (1–2), 3–15. [CrossRef]
- Deborah, H.; George, S.; Hardeberg, J. Y. Spectral-Divergence Based Pigment Discrimination and Mapping: A Case Study on The Scream (1893) by Edvard Munch. Journal of the American Institute for Conservation 2019, 58 (1–2), 90–107. [CrossRef]
- Babini, A.; George, S.; Hardeberg, J. Y. Hyperspectral Imaging Workflow for the Acquisition and Analysis of Stained-Glass Panels. In Optics for Arts, Architecture, and Archaeology VIII; Groves, R., Liang, H., Eds.; SPIE: Online Only, Germany 2021; p. 51. [Google Scholar] [CrossRef]
- Babini, A. Hyperspectral Imaging of Stained Glass. PhD, NTNU: Gjøvik 2023.
- Grillini, F. Reflectance Imaging Spectroscopy: Fusion of VNIR and SWIR for Cultural Heritage Analysis. PhD, NTNU: Gjøvik 2023.
- Vagnini, M.; Miliani, C.; Cartechini, L.; Rocchi, P.; Brunetti, B. G.; Sgamellotti, A. FT-NIR Spectroscopy for Non-Invasive Identification of Natural Polymers and Resins in Easel Paintings. Anal Bioanal Chem 2009, 395, 2107–2118. [Google Scholar] [CrossRef] [PubMed]
- Hourant, P.; Baeten, V.; Morales, M. T.; Meurens, M.; Aparicio, R. Oil and Fat Classification by Selected Bands of Near-Infrared Spectroscopy. Appl. Spectrosc., AS 2000, 54, 1168–1174. [Google Scholar] [CrossRef]
- Duconseille, A.; Andueza, D.; Picard, F.; Santé-Lhoutellier, V.; Astruc, T. Molecular Changes in Gelatin Aging Observed by NIR and Fluorescence Spectroscopy. Food Hydrocolloids 2016, 61, 496–503. [Google Scholar] [CrossRef]
- Eldin, A. B. Near Infra Red Spectroscopy; IntechOpen 2011. [CrossRef]
- Amato, S. R.; Burnstock, A.; Michelin, A. A Preliminary Study on the Differentiation of Linseed and Poppy Oil Using Principal Component Analysis Methods Applied to Fiber Optics Reflectance Spectroscopy and Diffuse Reflectance Imaging Spectroscopy. Sensors (Basel) 2020 20, 7125. [CrossRef]
- Albregtsen, F. Statistical Texture Measures Computed from Gray Level Coocurrence Matrices 2008.
- Li, X.; Sun, C.; Zhou, B.; He, Y. Determination of Hemicellulose, Cellulose and Lignin in Moso Bamboo by near Infrared Spectroscopy. Sci Rep 2015, 5, 17210. [Google Scholar] [CrossRef] [PubMed]
- Catelli, E.; Sciutto, G.; Prati, S.; Chavez Lozano, M. V.; Gatti, L.; Lugli, F.; Silvestrini, S.; Benazzi, S.; Genorini, E.; Mazzeo, R. A New Miniaturised Short-Wave Infrared (SWIR) Spectrometer for on-Site Cultural Heritage Investigations. Talanta 2020, 218, 121112. [Google Scholar] [CrossRef] [PubMed]
- Magnusson, M.; Sigurdsson, J.; Armansson, S. E.; Ulfarsson, M. O.; Deborah, H.; Sveinsson, J. R. Creating RGB Images from Hyperspectral Images Using a Color Matching Function. In IGARSS 2020 - 2020 IEEE International Geoscience and Remote Sensing Symposium; 2020; pp 2045–2048. [CrossRef]
- Miller, J. N.; Miller, J. C. Statistics and Chemometrics for Analytical Chemistry, 6th ed.; Prentice Hall/Pearson: Harlow 2018.
- Luo, M. R.; Cui, G.; Rigg, B. The Development of the CIE 2000 Colour-difference Formula: CIEDE2000. Color Research & Application: Endorsed by Inter-Society Color Council, The Colour Group (Great Britain), Canadian Society for Color, Color Science Association of Japan, Dutch Society for the Study of Color, The Swedish Colour Centre Foundation, Colour Society of Australia, Centre Français de la Couleur 2001, 26, 340–350. [Google Scholar]
- Habekost, M. Which Color Differencing Equation Should Be Used. International Circular of Graphic Education and Research, 2013, 6, 20–33.
- Boronkay, G. Colour Conversion Centre. http://ccc.orgfree.com/ (accessed Nov 1 2022).
- Williams, J. H. Guide to the Expression of Uncertainty in Measurement (the GUM). Quantifying Measurement: The tyranny of numbers, 2016. [CrossRef]
- Wienand, J.; Wuest, L. Error Propagation Calculator (online tool for any formula) http://www.julianibus.de/ (accessed Nov 1 2022).
- Larkin, P. Chapter 3 - Instrumentation and Sampling Methods. In Infrared and Raman Spectroscopy; Larkin, P., Ed.; Elsevier: Oxford 2011; pp 27–54. [CrossRef]
- Campbell, W. TN21-03. ATR Crystal Choice and Quest Puck Guide. 2022. https://specac.com/news-atr-spectroscopy-of-carbon-black/ (accessed Jun 13 2023).
- Menges, F. Spectragryph - Optical Spectroscopy Software 2021. http://www.effemm2.de/spectragryph/ (accessed Jun 13 2023).
- Botton, G.; Prabhudev, S. Analytical Electron Microscopy. In Springer Handbook of Microscopy; Hawkes, P. W., Spence, J. C. H., Eds.; Springer Handbooks; Springer International Publishing: Cham 2019; pp 345–453. [CrossRef]
- Erdman, N.; Bell, D. C.; Reichelt, R. Scanning Electron Microscopy. In Springer Handbook of Microscopy; Hawkes, P. W., Spence, J. C. H., Eds.; Springer Handbooks; Springer International Publishing: Cham 2019; pp 229–318. [CrossRef]
- Springer Handbook of Microscopy; Hawkes, P. W., Spence, J. C. H., Eds.; Springer Handbooks; Springer International Publishing: Cham 2019. [CrossRef]
- Morrison, R.; Bagley-Young, A.; Burnstock, A.; van den Berg, K. J.; van Keulen, H. An Investigation of Parameters for the Use of Citrate Solutions for Surface Cleaning Unvarnished Paintings. Studies in Conservation 2007, 52, 255–270. [Google Scholar] [CrossRef]











| Scoring Criteria | ||||
|---|---|---|---|---|
| Score Rating |
Cleaning Efficacy |
Cleaning Homogeneity |
Pigment Swelling | Selectivity (Pigment Loss) |
| 1 | No effect | Uneven removal (<30%) | Extreme, visible swelling | Unacceptable loss |
| 2 | Little effect | Inconsistent removal (<50%) | Moderate, visible swelling | Notable loss |
| 3 | Moderate effect | Consistent removal (<80%) | Sensation of swelling, invisible | Microscopic loss |
| 4 | Effective removal | Complete removal (100%) | No swelling | No loss |
| Mock-Up | Stratigraphy | Application | Ageing and Soilinga | Surface Propertiesb |
|---|---|---|---|---|
| Chalk-Glue Ground |
Canvas: washed linen, twill weave, stretched Size: rabbit skin glue Ground: chalk, in rabbit skin glue |
Hog’s hair brushes | 6 months ambient drying 3 weekly cycles of accelerated ageing: Memmert ICH110L chamber; light: 4 fluorescent lamps (6 500 K (D56), 500 W); irradiance: 70 Wm-2; total energy: 169 330 kJm-2; 40oC (CHT); and fluctuating RH (15–65%) 3 spraying campaigns (2 for oil paint) of artificial soiling adapted for the Aula Soiling layer: 27.1 ±2.4 µm Min particle size: 0.095 µm Max particle size: 10 µm |
Thickness: 122.3 ±39.2 µmWater sensitivity: 14 rollsChalking: ISO 2 pH: 6.5 Conductivity: 1 500 µS cm-1 |
| Composite Half-Chalk Ground |
Canvas: ibid. Size: ibid. Ground: chalk, zinc white, lead white in rabbit skin glue and boiled linseed oil emulsion |
Thickness: 104.9 ±40.2 µmWater sensitivity: 10 rollsChalking: ISO 3 pH: 6.4 Conductivity: 500 µS cm-1 |
||
| Chromium Oxide Green Oil Paint |
Canvas: ibid.Size: ibid.Ground: half-chalk groundPigment-binder: undiluted chromium oxide green in linseed oil |
Thickness: 114.9 ±26.4 µmWater sensitivity: 5 rollsChalking: ISO 1 pH: 6.4 Conductivity: 530 µS cm-1 |
| Supplier | Material | Composition | Quantity | Dry Weight |
|---|---|---|---|---|
| g or mL | % | |||
| Rublev | Lamp black (oil furnaces) | C | 0.62 | 1.00 |
| Kremer | Vine black (organic source) | C | 0.62 | 1.00 |
| Burgundy ochre (fine) | Fe2O3·H2O | 1.45 | 2.34 | |
| Wheat starch powder | Polysaccharide (C6H10O5)n | 10.00 | 16.14 | |
| Gelatin powder | Proteins and peptides | 10.00 | 16.14 | |
| Merck | Sodium nitrate | NaNO3 | 2.50 | 4.03 |
| Kaolin | Al2Si2O5(OH)4 | 18.00 | 29.06 | |
| Portland cement (Type I) | CaO·SiO2 Fe, Al, MgO | 17.00 | 27.45 | |
| Silica, quartz | SiO2 | 1.75 | 2.83 | |
| Mineral oil | Hydrocarbons | 5.0 | - | |
| Filippo Berio | Olive oil | Mainly triacylglycerols | 2.5 | - |
| Kremer | Shellsol D40 | Hydrocarbons | 1000 | - |
| Cleaning Solution |
Concentration | Chalk-Glue Ground | Half-Chalk Ground | Chromium Oxide Green |
|---|---|---|---|---|
| Deionised water |
- | pH 7.2, 20 µS cm-1 | pH 7.2, 20 µS cm-1 | pH 7.2, 20 µS cm-1 |
| Adjusted watera (ammonium acetate) |
Conductivity-related | pH 5.5, 1 500 µS cm-1 | pH 5.5, 500 µS cm-1 | pH 5.0, 500 µS cm-1 |
| Chelatorb (citric acid / sodium hydroxide) | 0.5% w/v (0.026M) CA in 10% w/v (2.5M) NaOH | pH 5.0, 4 240 µS cm-1 | pH 4.5, 3 240 µS cm-1 | pH 4.5, 3 240 µS cm-1 |
| Chelatorb (citric acid / ammonium hydroxide) |
0.5% w/v (0.026M) CA in 10% w/v (5.0M) NH4OH | pH 5.0, 5 320 µS cm-1 | pH 4.5, 4 270 µS cm-1 | pH 4.5, 4 270 µS cm-1 |
| Clearancec (ammonium acetate) |
Conductivity-related | pH 6.5, 500 µS cm-1 | pH 6.5, 500 µS cm-1 | pH 6.5, 500 µS cm-1 |
| Metrica | Rangeb | Data Typec | Concept | Equipmentd | Post-Processinge | |
|---|---|---|---|---|---|---|
|
Cleaning homogeneity |
VNIR /SWIR |
2D spectral maps |
Image homogeneity from grey-level co-occurrence matrix (GLCM) | DLSR camera HSI camera |
Change image type to 8-bit depth for GLCM Texture plug-in in ImageJ |
|
| Cleaning efficacy | ||||||
| Image-based |
L*a*b* images | VIS | 2D RGB images |
Thresholded pixels representing soiling |
DLSR camera Mobile phone |
Conversion to CIELAB space; image thresholding |
| Histogram skewness |
VIS | 2D RGB images |
Histogram distribution asymmetry as function of darker soiling on lighter substrate | Spreadsheet/statistical calculations |
||
| Appearance | Glossimetry | VIS | 1D point measurements |
Perceived surface texture under direct light source |
Glossmeter | Spreadsheet/statistical calculations |
| Colorimetry (from HSI) |
VNIR | 2D L*a*b* images (from 3D datacube) |
Colour difference, ΔE2000, before and after soiling removal |
HSI camera | Conversion to CIELAB space; colorimetric and statistical calculations | |
| Spectral-based | HSI: spectral unmixing |
VNIR /SWIR |
3D datacube | Spectral reflectance similarity (compared to unsoiled areas, or soiling) |
HSI camera | Spectral calibration; algorithm pre- and post-processing |
| HSI: NDI mapping |
SWIR | 2D normalised difference images |
SWIR marker bands for soiling and surface |
HSI camera | Spectral calibration; PCA; image processing | |
| FTIR mapping | MIR | 2D chemical maps |
MIR spectra (or marker bands) for soiling | FTIR spectrometer |
Atmospheric correction; correlation map profiles | |
| SEM-EDX mapping |
(XR) | 2D chemical maps |
Element signal for soiling | SEM | TruMap processing; element selection |
| Cleaning Efficacy Metric | Value for xBT | Value for xAT | |
|---|---|---|---|
| Image-based | L*a*b* images | Number of black pixels before treatment (black pixels represent soiling) | Number of black pixels after treatment (black pixels represent soiling) |
| Histogram skewness | Difference in skewness between unsoiled (CT) and soiled (BT) mock-up (ΔskewnessCT,BT) | Difference in skewness between unsoiled (CT) and cleaned (AT) mock-up (ΔskewnessCT,AT) | |
| Appearance | Glossimetry | Difference in gloss between the unsoiled (CT) and soiled (BT) mock-up (ΔglossCT,BT) | Difference in gloss between the unsoiled (CT) and cleaned (AT) mock-up (ΔglossCT,AT) |
| Colorimetry (from HSI) | CIE2000 colour difference between the unsoiled (CT) and soiled (BT) mock-up (ΔE2000(CT,BT)) | CIE2000 colour difference between the unsoiled (CT) and cleaned (AT) mock-up (ΔE2000(CT,AT)) | |
| Spectral-based | HSI: spectral unmixing | Mean pixel value from 100 pixel x 100 pixel area taken from unsoiled (CT) mock-up, or soiling control (sCT), in unmixing map (CT, or sCT) | Mean pixel value from 100 pixel x 100 pixel area taken from cleaned (AT) mock-up, in unmixing map (AT) |
| HSI: NDI mapping | Mean pixel value from 100 pixel x 100 pixel area taken from unsoiled (CT) mock-up, or soiling control (sCT), in NDI map (CT, or sCT) | Mean pixel value from 100 pixel x 100 pixel area taken from cleaned (AT) mock-up, in NDI map (AT) | |
| FTIR mapping | Number of white pixels before treatment (white pixels represent soiling) | Number of white pixels after treatment (white pixels represent soiling) | |
| SEM-EDX mapping | Number of element-rich areas as counted by Analyse particles function in ImageJ before cleaning | Number of element-rich areas as counted by Analyse particles function in ImageJ after cleaning |
| CleaningEfficacyMetrics | MeanValues | |||||||||||||
|---|---|---|---|---|---|---|---|---|---|---|---|---|---|---|
| Image-Based | Spectral-Based | |||||||||||||
| Cleaning Solution | L*a*b* | Skewness | Supervised (VNIR) | NDI (SWIR) | FTIR (MIR) | Image-Based | Spectral-Based | |||||||
| Deionised water | 0.76 | 0.81 | 0.95 | 0.85 | 0.39 | 0.79 | 0.73 | |||||||
| Adjusted water | 0.78 | 0.79 | 0.91 | 0.84 | 0.58 | 0.79 | 0.78 | |||||||
| Chelator (NaOH) | 0.79 | 0.70 | 0.91 | 0.88 | 0.46 | 0.75 | 0.75 | |||||||
| Chelator (NH4OH) | 0.84 | 0.68 | 0.96 | 0.96 | 0.57 | 0.76 | 0.80 | |||||||
| Scoring criteria | ||||||||||||||
| CleaningSolution | CleaningEfficacya | CleaningHomogeneityb | ColourIntegrityc | GlossIntegrityc | Selectivityd | ResidueAbsenced | ||||||||
| Deionised water | 0.76 | 0.23 | 0.75 | 0.17 | 1.00 | 1.00 | ||||||||
| Adjusted water | 0.78 | 0.22 | 0.69 | 0.64 | 1.00 | 1.00 | ||||||||
| Chelator (NaOH) | 0.75 | 0.33 | 0.72 | 0.62 | 0.60 | 1.00 | ||||||||
| Chelator (NH4OH) | 0.78 | 0.57 | 0.82 | 0.86 | 0.80 | 1.00 | ||||||||
Disclaimer/Publisher’s Note: The statements, opinions and data contained in all publications are solely those of the individual author(s) and contributor(s) and not of MDPI and/or the editor(s). MDPI and/or the editor(s) disclaim responsibility for any injury to people or property resulting from any ideas, methods, instructions or products referred to in the content. |
© 2024 by the authors. Licensee MDPI, Basel, Switzerland. This article is an open access article distributed under the terms and conditions of the Creative Commons Attribution (CC BY) license (http://creativecommons.org/licenses/by/4.0/).
