Submitted:
04 July 2024
Posted:
05 July 2024
You are already at the latest version
Abstract
Keywords:
MSC: 05D10; 05C15; 05C55
1. Introduction
2. Results
2.1. Converting of Tessellations into Bi-Colored, Complete Graphs
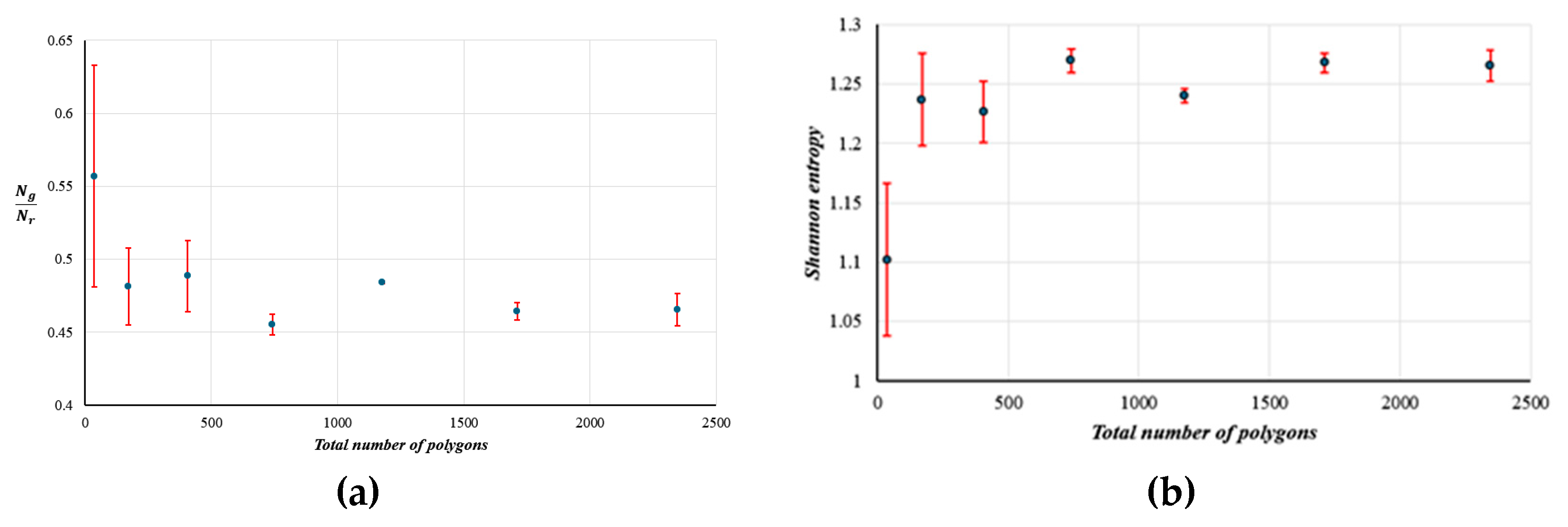
2.2. Shannon Entropy of the Introduced Graphs and Tessellations
2.2. Transformation of the Voronoi Tessellation into the Bi-Colored Complete Graph
2.3. Statistics of Voronoi Tessellation
| Authors | Crain, 1978 [33] | Hinde & Miles, 1980 [31] | Kumar & Kurtz, 1993 [34] | Calka, 2003 [30] | Tanemura, 2003 [35] | Brakke, 2005 [36] |
| Number of polygons, N | 57,000 | 2,000,000 | 650,000 | Monte Carlo numerical integration was used | 10,000,000 | 208,969,210 |
| P3 | 0.011 | 0.01131 | 0.011 | 0.01124 | 0.01125 | 0.01125 |
| P4 | 0.1078 | 0.1071 | 0.1071 | 0.106838 | 0.10685 | 0.10683 |
| P5 | 0.2594 | 0.2591 | 0.26 | 0.25946 | 0.25946 | 0.25945 |
| P6 | 0.2952 | 0.2944 | 0.294 | 0.29473 | 0.29473 | 0.29471 |
| P7 | 0.1984 | 0.1991 | 0.199 | 0.19877 | 0.19877 | 0.1988 |
| P8 | 0.0896 | 0.0902 | 0.09 | 0.0897 | 0.0897 | 0.09012 |
| P9 | 0.0296 | 0.0295 | 0.03 | 0.0295 | 0.0295 | 0.02964 |
| P10 | 0.00751 | 0.00743 | 0.007 | 0 | 0 | 0.00745 |
| P11 | 0.00142 | 0.00149 | 0.0015 | 0 | 0 | 0.00148 |
| P12 | 0.000175 | 0.00025 | 0.00023 | 0 | 0 | 0.00024 |
| P13 | 0.000053 | 0.00003 | 0.00004 | 0 | 0 | 0.00003 |
| SV | 1.68927 | 1.69066 | 1.68902 | 1.64087 | 1.64092 | 1.69031 |
| | 0.273072 | 0.272438 | 0.272718 | 0.27251 | 0.272515 | 0.272729 |
2.4. Statistics of Poisson Line Tessellation
2.5. Numerical Simulation
2.5.1. Random Voronoi Tessellation
2.4.2. Random Polygons Produced by Straight Lines (Poisson Line Tessellation)
4. Discussion
5. Conclusions
Author Contributions
Funding
Data Availability Statement
Acknowledgments
Conflicts of Interest
References
- Coxeter, H. S. M. Introduction to Geometry, Chapter IV , Two-dimensional crystallography, pp. 50-65, J. Wiley and Sons, New York, USA, 1969.
- Coxeter, H. S. M. Regular Polytopes, Chapter IV, pp. 58-73, Tessellations and Honeycombs, Dover Publications, New York, USA, 1973.
- Fulton, C. Tessellations. The American Mathematical Monthly, 1992, 99(5), 442–445.
- He, Y. H.; van Loon, M. Gauge theories, tessellations & Riemann surfaces. J. High Energ. Phys. 2014, 2014, 53.
- Wu, S.; Sun, Y. Tessellating tiny tetrahedrons, Science 2018, 362 (6421), 1354-1355.
- Meloni, M.; Zhang, Q.; Pak, J.; Bilore, M. N.; Ma, R.; Ballegaard, E.; Lee, D.; Cai, J. Designing origami tessellations composed of quadrilateral meshes and degree-4 vertices for engineering applications, Automation in Construction, 2022, 142, 104482.
- Shechtman, D.; Blech, I.; Gratias, D.; Cahn, J.W. Metallic phase with long-range orientational order and no translational symmetry. Phys. Rev. Lett. 1984, 53, 1951–1953. [CrossRef]
- Collins, L.; Witte, T.; Silverman, R. et al. Imaging quasiperiodic electronic states in a synthetic Penrose tiling. Nat. Commun. 2017, 8, 15961.
- Bursill, L.; Ju Lin, P. Penrose tiling observed in a quasi-crystal. Nature 1985, 316, 50–51.
- Bormashenko, Ed.; Legchenkova, I.; Frenkel, M.; Shvalb, N.Shoval, Sh. Voronoi Entropy vs. Continuous Measure of Symmetry of the Penrose Tiling: Part I. Analysis of the Voronoi Diagrams. Symmetry 2021, 13(9), 1659.
- Wilson, R, J. Introduction to Graph theory, 4th Ed., pp. 8-21, Addison Wesley Longman Limited, Edinburgh Gate, Harlow, Essex CM20 2JE, England, 1996.
- Trudeau, R. J. Introduction to Graph Theory (Corrected, enlarged republication. ed.), pp. 19-64, New York: Dover Pub., 1993.
- Li, Y.; Lin, Q. Elementary methods of the graph theory, Applied Mathematical Sciences. Springer, pp. 3-44, Cham, Switzerland, 2020.
- Katz, M.; Reimann, J. An Introduction to Ramsey Theory: Fast Functions, Infinity, and Metamathematics, Student Mathematical Library; American Mathematical Society: Providence, RI, USA, 2018; Volume 87, pp. 1–34.
- Graham, R. L.; Spencer, J. H. Ramsey Theory. Sci. Am. 1990, 7, 112–117.
- Graham, R.; Butler, S. Rudiments of Ramsey Theory (2nd ed.). American Mathematical Society: Providence, Rhode Island, USA, 2015; pp. 7–46.
- Shannon, C.E. A Mathematical Theory of Communication. Bell Syst. Tech. J. 1948, 27(3), 379–423.
- Ben-Naim, A. Entropy, Shannon’s Measure of Information and Boltzmann’s H-Theorem. Entropy 2017, 19, 48.
- Frenkel, M.; Shoval, Sh.; Bormashenko Ed. Shannon Entropy of Ramsey Graphs with up to Six Vertices, Entropy 2023, 25(10), 1427.
- Voronoi, G. Nouvelles applications des paramètres continus à la théorie des formes quadratiques. Deuxième mémoire. Recherches sur les paralléloèdres primitifs. Reine Angew. Math. 1908, 134, 198–287.
- Okabe, A.; Boots, B.; Sugihara, K. Spatial Tessellations Concepts and Applications of Voronoi Diagrams, J. Wiley & Sons, Chichester, 2000.
- Barthélemy, M. Spatial networks. Phys. Rep. 2011, 499, 1–101.
- Bormashenko, Ed.; Frenkel, M.; Vilk, A.; Legchenkova, I.; Fedorets, A. A.; Aktaev, N. e.; Dombrovsky L. A., Nosonovsky, M. Characterization of Self-Assembled 2D Patterns with Voronoi Entropy. Entropy 2018, 20(12), 956.
- Habib, F.; Megahed, N. A.; Badawy, N.; Shahda, M. M. D4G framework: a novel Voronoi diagram classification for decoding natural geometrics to enhance the built environment. Architectural Science Review, 2024, 1–28.
- Angelucci, G.; Mollaioli, F. Voronoi-like Grid Systems for Tall Buildings. Front. Built Environ. 2018, 4, 78.
- Zhu, S.; Borodin, E.; Jivkov, A, P. Discrete modelling of continuous dynamic recrystallisation by modified Metropolis algorithm, Computational Materials Science, 2024, 234, 112804.
- Bolshakov, P.; Kharin, N.; Agathonov, A.; Halinin, E.; Sachenkov, O. Extension of the Voronoi Diagram Algorithm to Orthotropic Space for Material Structural Design, Biomimetics 2024, 9(3), 185.
- Jungck, J. R.; Pelsmajer, M. J.; Chappel, C.; Taylor, D. The Re-Visioning Frontier of Biological Image Analysis with Graph Theory, Computational Geometry, and Spatial Statistics, Mathematics 2021, 9(21), 2726.
- Hayen, A.; Quine, M. The proportion of triangles in a Poisson-Voronoi tessellation of the plane. Adv. Appl. Prob. (SGSA) 2002, 32, 67–74.
- Calka, P.: The explicit expression of the distribution of the number of sides of the typical Poisson Voronoi cell. Advances in Applied Probability 2003, 35(4), 863-870.
- Hinde, A.L.; Miles, R.E.: Monte Carlo estimates of the distributions of the random polygons of the Voronoi tessellation with respect to a Poisson process. J. Stat. Comput. Simul. 1980, 10, 205–223.
- Suárez-Plasencia, L. et al. Analysis of the Number of Sides of Voronoi Polygons in PassPoint Analysis of the Number of Sides of Voronoi Polygons in PassPoint. In: Marmolejo-Saucedo et al, J.A., Vasant, P., Litvinchev, I., Rodriguez-Aguilar, R., Martinez-Rios, F. (eds) Computer Science and Health Engineering in Health Services. COMPSE 2020. Lecture Notes of the Institute for Computer Sciences, Social Informatics and Telecommunications Engineering, vol 359. Springer, Cham., pp. 184-200. [CrossRef]
- Crain, I.K.: The Monte Carlo generation of random polygons. Comput. Geosci. 1978, 4, 131–141.
- Kumar, S., Kurtz, S.K.: Properties of a two-dimensional Poisson-Voronoi tessellation: a Monte-Carlo study. Mater. Charact. 1993, 31(1), 55–68.
- Tanemura, M.: Statistical distributions of Poisson Voronoi cells in two and three dimensions. FORMA-TOKYO 18(4), 221–247 (2003).
- Brakke, K.A.: 200,000,000 Random Voronoi Polygons (2015).
- Chiu, S.N. Aboav-Weaire’s and Lewis’ laws—A review. Mater. Charact. 1995, 34, 149–165.
- Saraiva, J.; Pina, P.; Bandeira, L.; Antunes, J. Polygonal networks on the surface of Mars; applicability of Lewis, Desch and Aboav–Weaire laws. Phil. Mag. Lett. 2009, 89, 185–193.
- Limaye, A.V.; Narhe, R.D.; Dhote, A.M.; Ogale, S.B. Evidence for convective effects in breath figure formation on volatile fluid surfaces. Phys. Rev. Lett. 1996, 76, 3762–3765.
- Tanner, J. C., Polygons Formed by Random Lines in a Plane: Some Further Results, J. Appl. Probability 1983, 20 (4), 778-787.
- Calka, P. Precise Formulae for the Distributions of the Principal Geometric Characteristics of the Typical Cells of a Two-Dimensional Poisson-Voronoi Tessellation and a Poisson Line Process, Adv. Appl. Probability 2003, 35(3), pp. 551-562.
- Botnar, A.; Novokov, O.; Korepanov, O.; et al. "Crystallization Control of Anionic Thiacalixarenes on Silicon Surface Coated with Cationic Poly(ethyleneimine)" ACS Appl. Mater. Interfaces 2024 (submitted).
- Bormashenko, E.; Fedorets, A. A.; Frenkel, M.; Dombrovsky, L. A.; Nosonovsky, M. Clustering and self-organization in small-scale natural and artificial systems Phil. Trans. R. Soc. A. 2020, 378, 20190443. [CrossRef]
- Nosonovsky, M.; Roy, P. Scaling in Colloidal and Biological Networks. Entropy 2020, 22, 622. [CrossRef]
- Wang, W.; Wang, H.; Fei, Sh.; Wang, H.; Dong, H.; Ke, Y. Generation of random fiber distributions in fiber reinforced composites based on Delaunay triangulation, Materials & Design, 2021, 206, 109812. [CrossRef]
- Pan Y.; Iorg, L.; Pelegri, A. Numerical generation of a random chopped fiber composite RVE and its elastic properties, Composites Sci. & Technology, 2008, 68, (13), 2792-2798. [CrossRef]









Disclaimer/Publisher’s Note: The statements, opinions and data contained in all publications are solely those of the individual author(s) and contributor(s) and not of MDPI and/or the editor(s). MDPI and/or the editor(s) disclaim responsibility for any injury to people or property resulting from any ideas, methods, instructions or products referred to in the content. |
© 2024 by the authors. Licensee MDPI, Basel, Switzerland. This article is an open access article distributed under the terms and conditions of the Creative Commons Attribution (CC BY) license (http://creativecommons.org/licenses/by/4.0/).