Submitted:
03 July 2024
Posted:
04 July 2024
You are already at the latest version
Abstract
Keywords:
1. Introduction
2. Basic Formalism for the Collapsing Model
2.1. Metric and Einstien’s Field Equation
2.2. The Exterior Metric and the Junction Condition
3. Exact Solution of Einstien’s Field Equations: Parametrization
4. Dynamics of Collapsing Model: Blackhole Formation
4.1. (Stiff Matter)
4.2. (Radiation Fluid)
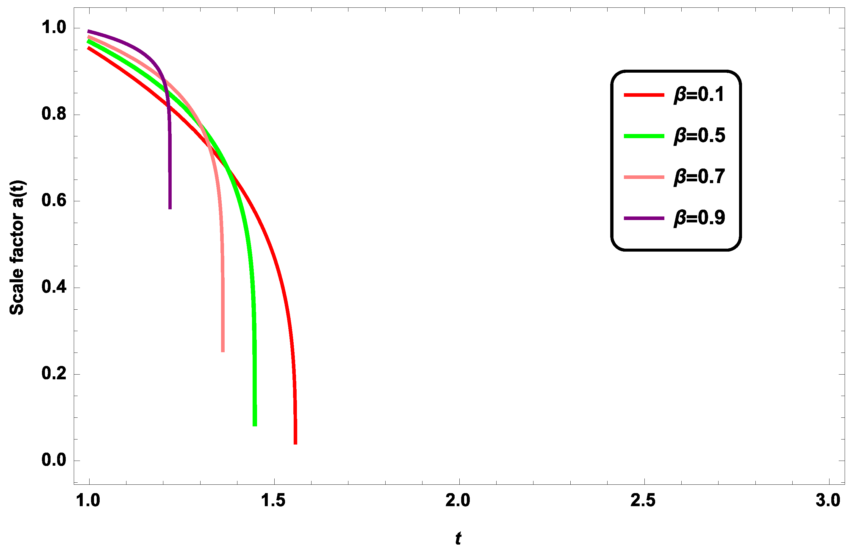
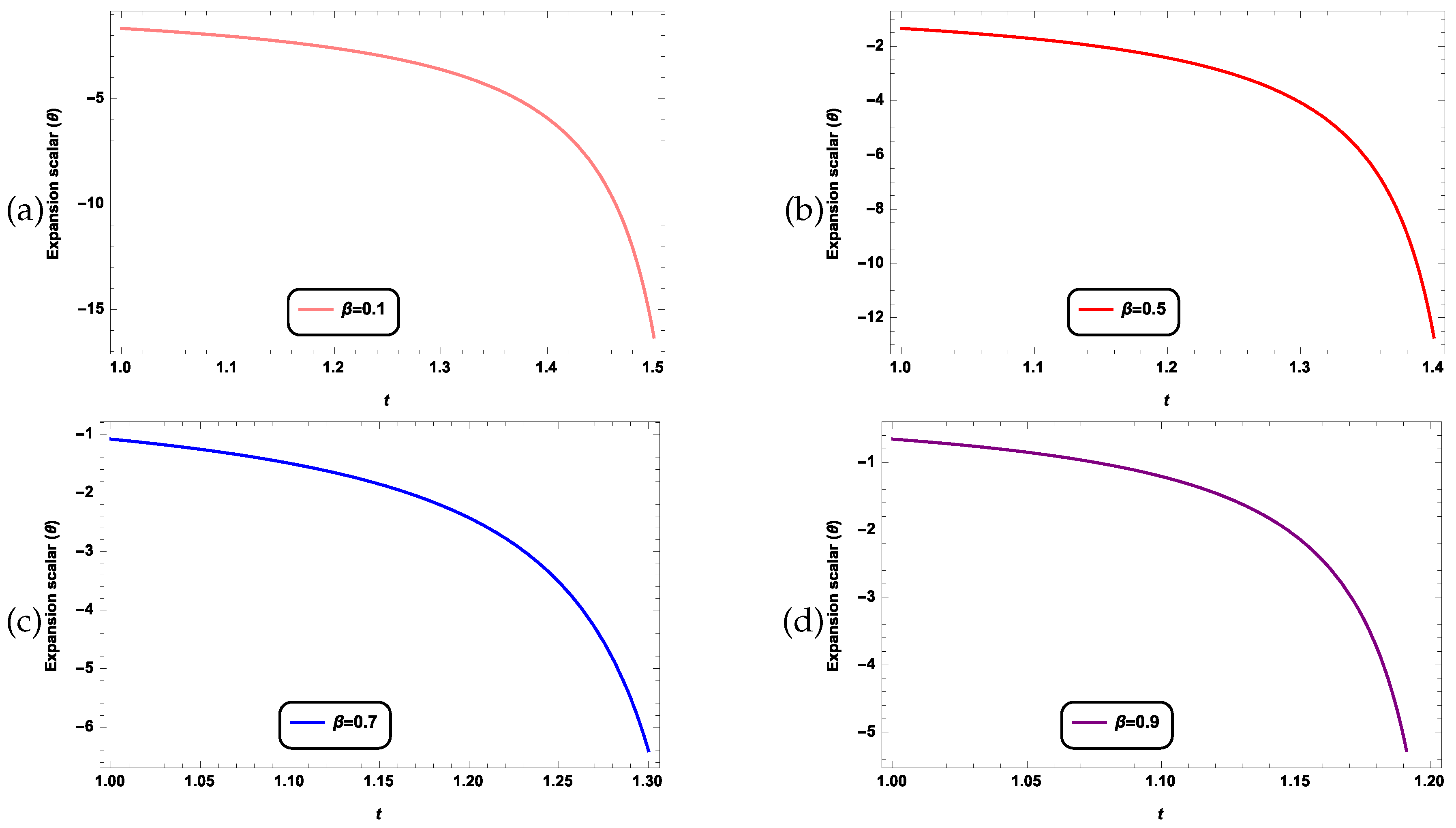
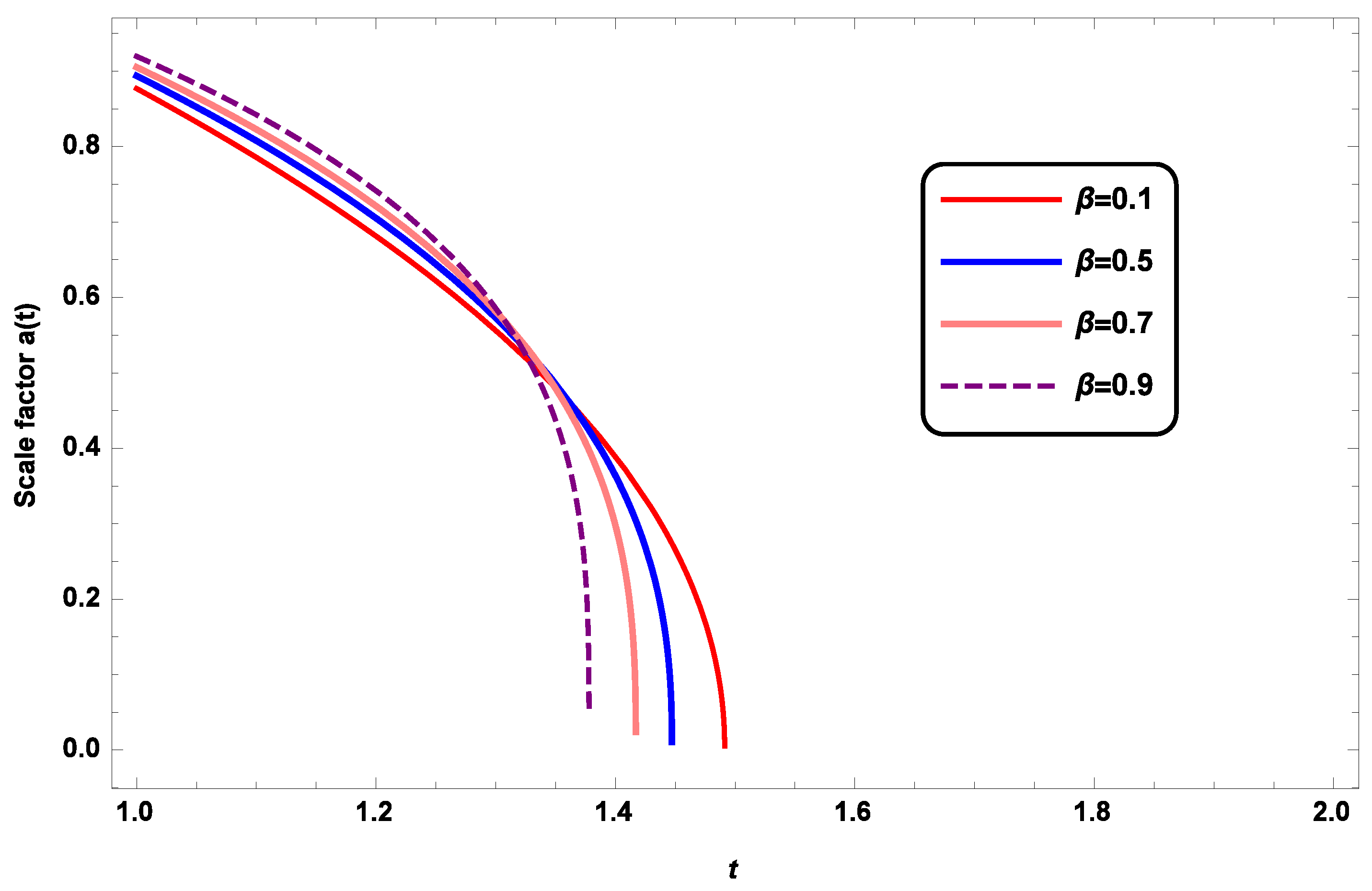
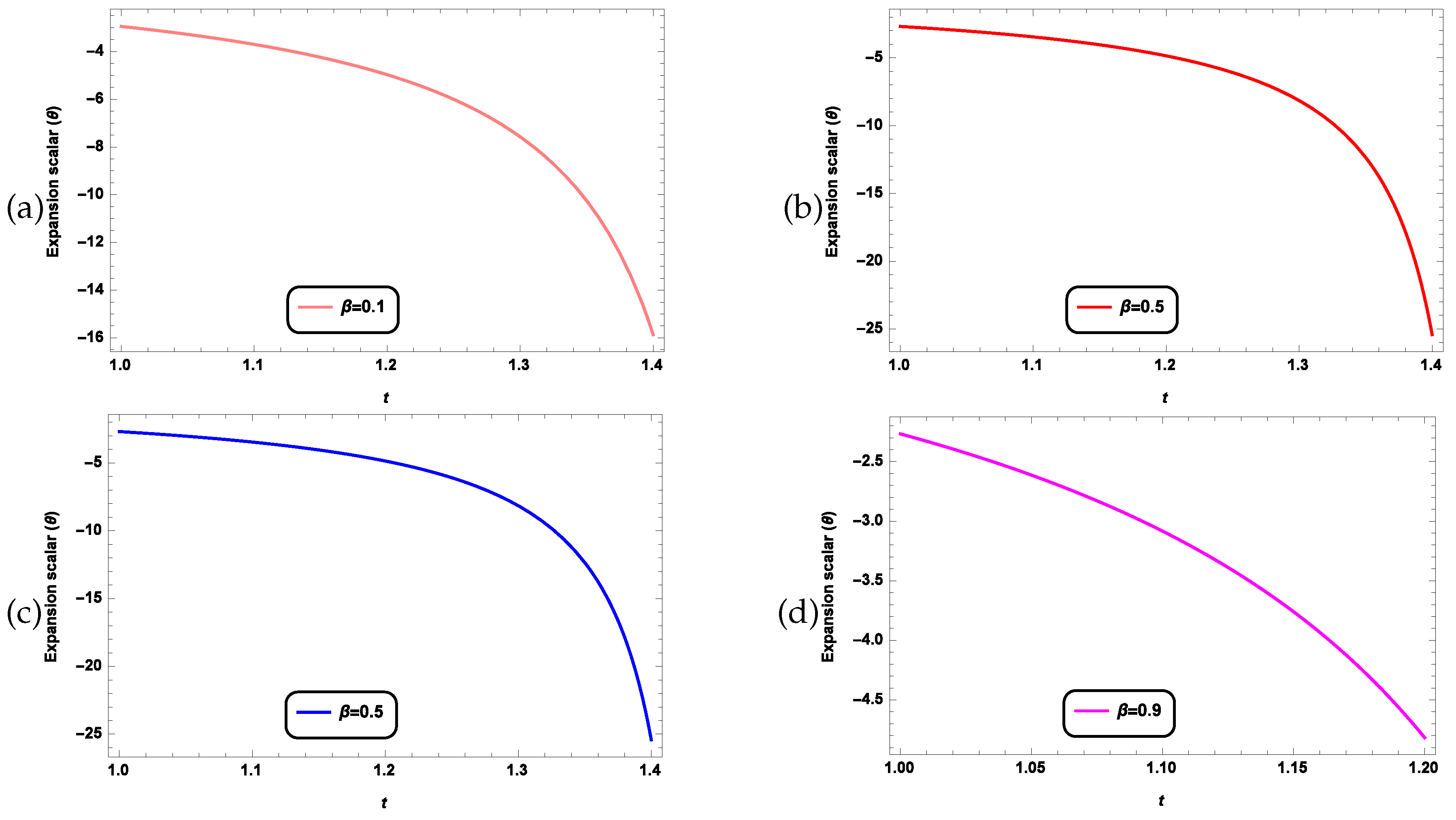
4.3. Interpretation of the Graph and Estimation of the Model Parameter
5. Apparent Horizon and Singularity Analysis
6. Concluding Remarks
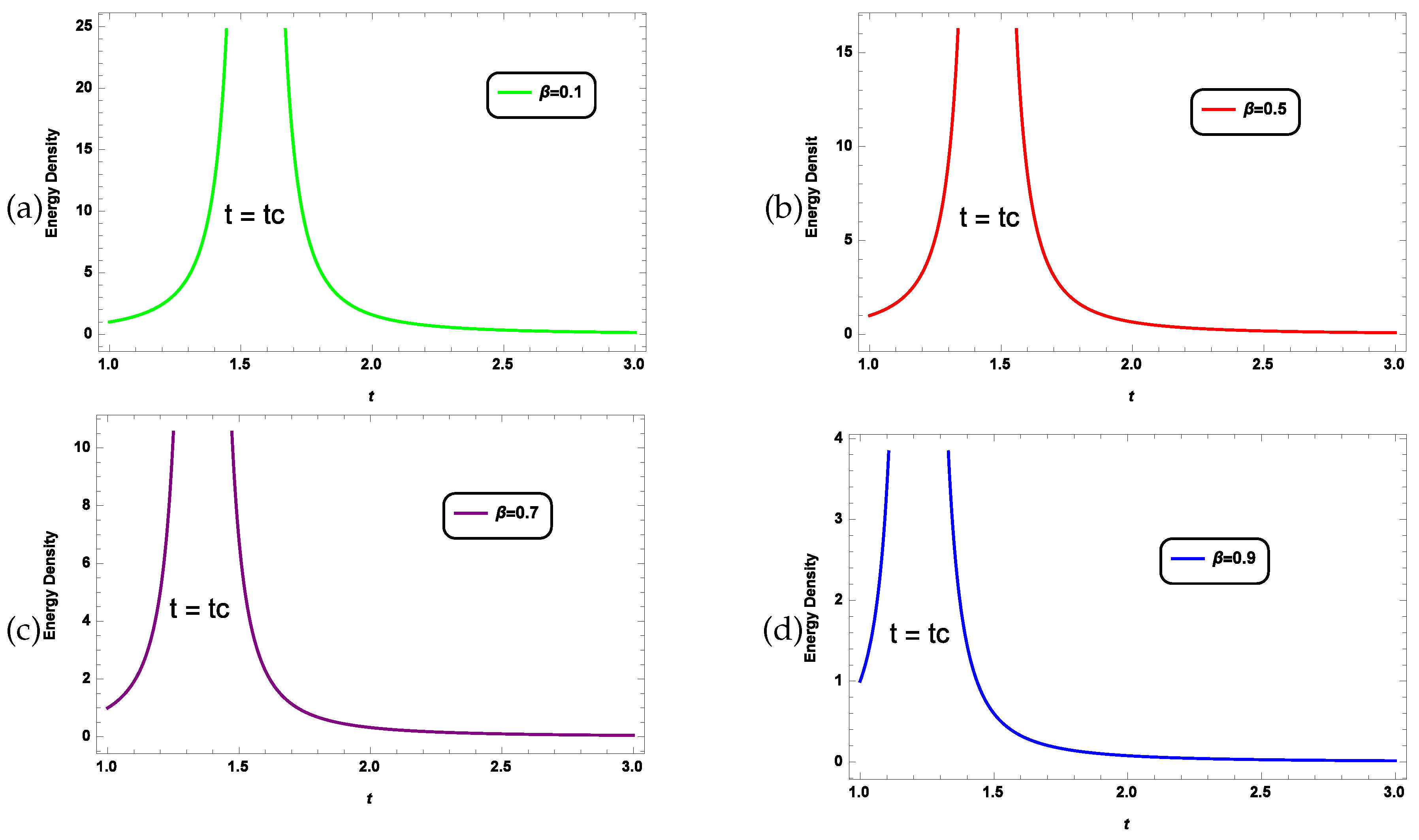
- The graphical representation of energy density () Figure 3 and Figure 7, and Kretschmann curvature () Figure 4 and Figure 8 shows that both take positive and finite values for given masses of stars. Both are increasing in nature, and at a finite time , both become divergent, which shows singularity formation.
- The graph of the mass function shows that it is regular, finite, and decreasing with time t and radial coordinate r Figure 9 and Figure 10. In classical mechanics, an absolute ground state is defined by , which means if a star truly becomes BH, then , i.e., . The mathematical "black hole" solution accurately predicts that a black hole (BH) may have an infinitesimally small mass [38]. In general theory of relativity, a event doesn’t demonstrate the absence of matter, as gravitational mass comprises all sources of energy, including negative self-gravitational energy. Therefore, this phenomenon could be a sign of extreme self-gravitation, counteracting internal energies like heat and pressure as well as external energy sources like protons and neutrons.
Author Contributions
Funding
Data Availability Statement
Acknowledgments
Conflicts of Interest
References
- Oppenheimer, J.R.; Snyder, H. On Continued Gravitational Contraction. Phys. Rev. B 1939, 56, 455–459, . [CrossRef]
- SR Maiti. Fluid with heat flux in a conformally flat space-time. Physical Review D, 25(10):2518, 1982.
- Modak, B. Cosmological solution with an energy flux. J. Astrophys. Astron. 1984, 5, 317–322, . [CrossRef]
- Banerjee, A.; Choudhury, S.B.D.; Bhui, B.K. Conformally flat solution with heat flux. Phys. Rev. D 1989, 40, 670–672, . [CrossRef]
- Schäfer, D.; Goenner, H.F. The Gravitational Field of a Radiating and Contracting Spherically-Symmetric Body with Heat Flow. Gen. Relativ. Gravit. 2000, 32, 2119–2130, . [CrossRef]
- BVIvanov. Collapsing shear-free perfect fluid spheres with heat flow. General Relativity and Gravitation, 44(7):1835–1855, 2012.
- Herrera, L.; LE Denmat, G.; Santos, N.O.; Wang, A. SHEAR-FREE RADIATING COLLAPSE AND CONFORMAL FLATNESS. Int. J. Mod. Phys. D 2004, 13, 583–592, . [CrossRef]
- Chakrabarti, S.; Banerjee, N. Scalar field collapse in a conformally flat spacetime. Eur. Phys. J. C 2017, 77, 166, . [CrossRef]
- R.G.Cai, Li-Wei Ji and Run-Qiu Yang. Collapse of Self-interacting scalar field in Anti-de Sitter space, Communication in Theoretical Physics,63(3), 329(2016).
- R.Zacharias, Relativistic gravitational collapse by thermal mass, Communication in Theoretical Physics, 73(1), 015401 (2020).
- Liddle, A.R.; Scherrer, R.J. Classification of scalar field potentials with cosmological scaling solutions. Phys. Rev. D 1998, 59, 023509, . [CrossRef]
- Steinhardt, P.J.; Wang, L.; Zlatev, I. Cosmological tracking solutions. Phys. Rev. D 1999, 59, 123504, . [CrossRef]
- Dvali, G.; Gabadadze, G.; Porrati, M. 4D gravity on a brane in 5D Minkowski space. Phys. Lett. B 2000, 485, 208–214, . [CrossRef]
- Deffayet, C. Cosmology on a brane in Minkowski bulk. Phys. Lett. B 2001, 502, 199–208, . [CrossRef]
- Malafarina, D.; Toshmatov, B.; Dadhich, N. Dust collapse in 4D Einstein-Gauss-Bonnet gravity. Phys. Dark Universe 2020, 30, 100598, . [CrossRef]
- N.Banrejee, and T.Paul, scalar field collapse in GaussBonnet gravity, Eur. Phys. J. C 78 (2)(2018) 1-6.
- Cline, J.M.; Vinet, J. Problems with time-varying extra dimensions or “Cardassian expansion” as alternatives to dark energy. Phys. Rev. D 2003, 68, 025015, . [CrossRef]
- Yungui Gong, Anzhong Wang, and Qiang Wu. Cosmological constant and late transient acceleration of the universe in the horavawitten heterotic m theory on s1/z2. Physics Letters B, 663(3):147?151, 2008.
- Pereira, P.R.; DA Silva, M.F.A.; Chan, R. ANISOTROPIC SELF-SIMILAR COSMOLOGICAL MODEL WITH DARK ENERGY. Int. J. Mod. Phys. D 2006, 15, 991–999, . [CrossRef]
- Riess, A.G., et al. [Supernova Search Team Collaboration], Astron. J. 116, 1009 (1998) [arXiv:astro-ph/9805201]; S. Perlmutter et al. [Su- pernova Cosmology Project Collaboration], Astrophys. J. 517, 565 (1999) [arXiv:astro-ph/9812133]; A. G. Riess et al. [Supernova Search Team Collaboration], Astro- phys. J. 607, 665 (2004) [arXiv:astro-ph/0402512].
- Ray, S.; Bagla, J.S.; Padmanabhan, T. Gravitational collapse in an expanding universe: scaling relations for two-dimensional collapse revisited. Mon. Not. R. Astron. Soc. 2005, 360, 546–554, . [CrossRef]
- Brandt, C.F.C.; Chan, R.; da Silva, M.A.F.; da Rocha, J.F.V. Inhomogeneous dark energy and cosmological acceleration. Gen. Relativ. Gravit. 2007, 39, 1675–1687, . [CrossRef]
- Campos, M.; Lima, J.A.S. Black hole formation with an interacting vacuum energy density. Phys. Rev. D 2012, 86, . [CrossRef]
- M Campos, Gravitational collapse and the vacuum energy 2014 J. Phys.: Conf. Ser. 496 012021, doi:10.1088/ 1742-6596/496/1/012021.
- Wang, P.; Meng, X.-H. Can vacuum decay in our universe?. Class. Quantum Gravity 2004, 22, 283–294, . [CrossRef]
- Shah, H.H.; Rahaman, F.; Ali, A.; Molla, S. Gravitational collapse of an interacting vacuum energy density with an anisotropic fluid. Phys. Dark Universe 2019, 24, 100291, . [CrossRef]
- S. Ray et al., Int. J. Theor. Phys. 48(9), 2499 (2009).
- Cahill, M. E.,& McVittie, G. C. (1970). Spherical Symmetry and Mass- Energy in General Relativity. I. General Theory. Journal of Mathematical Physics, 11(4), 1382-1391.
- T.A.Madhav, R. Goswami and P.S. Joshi, Gravitational; collapse in asymptotixally anti de Sitter or de Sitter backgrounds, phys. Rev. D72(8)(2005)084029.
- D. Malafarina and P.S. Joshi, Gravitational collapse with tengential pressure, Int. J. Mod Phys. D20(4)(2011) 463-495.
- Israel, W. Singular hypersurfaces and thin shells in general relativity. Il Nuovo Cimento B 1966, 44, 1–14, . [CrossRef]
- Bonnor, W.B.; Vickers, P.A. Junction conditions in general relativity. Gen. Relativ. Gravit. 1981, 13, 29–36, . [CrossRef]
- Cherubini, C.; Bini, D.; Capozziello, S.; Ruffini, R. SECOND ORDER SCALAR INVARIANTS OF THE RIEMANN TENSOR: APPLICATIONS TO BLACK HOLE SPACETIMES. Int. J. Mod. Phys. D 2002, 11, 827–841, . [CrossRef]
- Misner, C.W.; Sharp, D.H. Relativistic Equations for Adiabatic, Spherically Symmetric Gravitational Collapse. Phys. Rev. B 1964, 136, B571–B576, . [CrossRef]
- Doroshkevich, A. G., Zel’dovich, Y. B.,& Novikov, I. D. (1968). Weakly interacting particles in the anisotropic cosmological model. Soviet Physics JETP, 26(2).
- Oliveira-Neto, G.; Monerat, G.A.; Silva, E.V.C.; Neves, C.; Filho, L.G.F. AN EARLY UNIVERSE MODEL WITH STIFF MATTER AND A COSMOLOGICAL CONSTANT. Int. J. Mod. Physics: Conf. Ser. 2011, 03, 254–265, . [CrossRef]
- Pandey, A.; Kumar, R.; Srivastava, S.K. Shear-free gravitational collapse of dust cloud and dark energy. Int. J. Geom. Methods Mod. Phys. 2022, 19, . [CrossRef]
- Mitra, A. On the non-occurrence of Type I X-ray bursts from the black hole candidates. Adv. Space Res. 2006, 38, 2917–2919, . [CrossRef]










Disclaimer/Publisher’s Note: The statements, opinions and data contained in all publications are solely those of the individual author(s) and contributor(s) and not of MDPI and/or the editor(s). MDPI and/or the editor(s) disclaim responsibility for any injury to people or property resulting from any ideas, methods, instructions or products referred to in the content. |
© 2024 by the authors. Licensee MDPI, Basel, Switzerland. This article is an open access article distributed under the terms and conditions of the Creative Commons Attribution (CC BY) license (http://creativecommons.org/licenses/by/4.0/).
