Preprint
Article

This version is not peer-reviewed.

Effect of Mis-Sorting on the Mechanical Properties of Recycled Polypropylene

A peer-reviewed article of this preprint also exists.

Submitted:

04 July 2024

Posted:

04 July 2024

You are already at the latest version

Abstract
The effect of contamination of polypropylene (PP) with selected polymers is studied to simulate the effect of mis-sorting in recycling streams. Polystyrene (PS), polyethylene terephthalate (PET), polycarbonate (PC), acrylonitrile-butadiene-styrene (ABS) and polylactic acid (PLA) were compounded with PP at different concentrations varying between 3 and 10%. Infrared spectroscopy proved the absence of chemical bonds between the constituents. The samples for mechanical testing were injection moulded and further tested for their tensile and impact properties. Critical behaviour was induced by the introduction of a weld line as a result of the application of multiple gating points during injection moulding. Results generally show the applicability of PP mixtures within the investigated range of inclusions, without much sacrifice in mechanical performance. However, in the case of ABS and PLA, more care should be taken when designing complex parts with weld lines, due to reduced toughness.
Keywords: 
;  ;  ;  ;  ;  

1. Introduction

Polymers, especially thermoplastics, play a vital role in modern times. They are extremely versatile in their use, such as packaging (39%), building and construction (23%), transportation (8%), electrical appliances and electronics (6%) and houseware (4%) [1,2]. Household plastics are made up of 15.4% polypropylene (PP), 13.4% low-density polyethylene (PE-LD), 9.1% polyvinyl chloride (PVC), 8.7% high-density polyethylene (PE-HD), 5.4% polystyrene (PS) and 5% polyethylene terephthalate (PET), in addition to other thermoplastics and thermosets [2]. When it comes to packaging, plastics should ideally not only provide the necessary protection for the product but also be easily recyclable, imposing a minimum impact on the environment [3]. Although metals and glass are possible alternatives to plastics, their higher density has a devastating impact on the carbon footprint during transportation [4] and during recycling, due to their relatively high melting temperatures.
In recent years, the use of biopolymers has increased. Bioplastics are defined as biodegradable and / or derived from renewable resources and microbial metabolisms [5]. In 2022, global production of biopolymers reached 1.8 million metric tons [6], which represented 1% of the total European plastic production [2]. Bioplastics are more expensive and often have inferior mechanical properties compared to their fossil-based counterparts. However, they are especially favourable for packaging [3] due to their positive environmental impact [7]. Until now, there has been no separate recycling stream for biopolymers such as polylactic acid (PLA) [8].
Although we have come so far in recycling plastics, it is estimated that in Europe, only 18.5% of the European production is mechanically recycled [2], while the rest is incinerated or landfilled. In Germany, in 2021, 31.6% of total plastic waste was mechanically recycled while 58.3% was thermally recycled [9]. However, this does not even come close to the European circular economy target, pursuing the recycling of 50% of plastic waste by 2025 and 70% by 2030 [10,11].
Generally, plastics recycling follows one of three main approaches: mechanical recycling (subdivided into primary and secondary recycling), chemical recycling, and thermal recycling (also termed as incineration). Mechanical recycling involves collecting, sorting, shredding, washing, drying, re-extrusion, and pelletising the plastic. The primary approach is mainly related to the recycling of uncontaminated waste of known history, such as post-industrial wastes. In this case, re-granulated and reprocessed plastics [5] render properties comparable to those of virgin material. Secondary recycling usually involves plastic streams of mixed types and colours of unknown history. Here, extensive sorting of the waste stream is needed to separate plastics according to their type [12]. Due to sorting errors, recycled plastic is usually of lower quality compared to the original one. Furthermore, the thermal and mechanical stresses applied to plastics during mechanical recycling inevitably lead to material degradation [13,14], and therefore inferior qualities than the virgin counterparts.
Chemical recycling is often the best option for highly diverse, contaminated, or deteriorated streams [15]. During pyrolysis, the hydrocarbon chains are broken and the pure monomers or oils are recovered. These can be reused for the synthesis of new polymers, such as in the case of PVC [16], while having a lower emission and carbon footprint than incineration [17] in addition to preventing water and soil pollution in the case of landfilling [13]. Chemical recycling is expected to gain more importance in the future [4]. Finally, incineration is relatively far down in the waste hierarchy and is therefore highly controversial. The process involves burning off plastic waste and the recovery of energy [18].
Successful recycling of plastic waste requires an efficient sorting step ahead [19]. Macro-sorting is done on whole or nearly whole objects, based on colour and material type, using optical and near-infrared sensors. The waste is then chopped into smaller flakes and further separated by size, density, or electrostatic charging. For polymers with a large density difference, Dodbiba et al. [20] recommended the use of air tabbing, i.e., shaking the plastic flakes on a table with an inclined plane while jetting air. Light plastics are easily affected by air streams and thus move upwards, while heavier ones move downwards due to gravity. If the density difference allows for sink-float separation, then this process can be used, as it renders high recovery rates [21]. In case of small density differences, a tribo-electrostatic separation should be used.
Despite technological advances, the accuracy of plastic wastes is often limited to around 95% [12]. Separation of black or multilayer objects is still not possible; novel materials such as biopolymers are not yet accounted for. Moreover, the influence of foreign polymers on the properties of recycled material is not yet clear. Having 3% PLA in PET results in PLA agglomeration, whereas 5% PLA causes PET to stick to the walls of the mould during injection moulding [8]. In addition, the presence of 0.17% PLA causes transparent PET to become opaque [22,23]. On the other hand, Wojnowska-Baryła et al. [8] claimed that 10% of PLA does not have any significant effect on the mechanical properties of PS. Also, in [24], it was concluded that acrylonitrile-butadiene-styrene (ABS) can be easily dispersed in polycarbonate (PC) without a compatibilizer. Ruj et al. [25] concluded that up to 15% PVC in other polymers are not critical for low-grade products, while Serranti et al. [21] suggested that the purity of recycled material should be higher than 97% to be used in high-quality products. When reinforced polymers (e.g., with glass fibres) are processed with the same type of polymer, an increase in mechanical properties can be observed [40]. Low-grade recycling materials are often used in flooring tiles [26], Gypsum boards to improve water absorption and swelling [27] or landscaping [20], concrete and asphalt [5], as well as in urban furniture. To improve the performance of recycled polymers, they are often mixed with virgin material [28].
In this study, the effect of contamination of PP with some selected polymers as a result of mis-sorting on the mechanical behaviour is studied. PS and PET were selected based on their common use in packaging material and their frequent presence in the waste stream. ABS and PC were chosen as representatives for engineering polymers that are often incorrectly disposed in the packaging waste stream. PLA, one of the most commonly used biopolymers, is expected to find increased application within the next couple of years and is not yet accounted for neither during sorting nor as a contaminant in other polymer streams.

2. Materials and Methods

The influence of PS, PET, ABS, PC and PLA as a foreign polymer (FP) within PP (further referred to as the parent material PM) was investigated to assess the effect of mis-sorting during waste treatment on the quality and behaviour of recycled PP. For this purpose, different concentrations of FP ranging from 3% to 10% were compounded with PP, pelletised and further injection moulded. The samples were tested for mechanical behaviour.

2.1. Materials

Post-industrial PP, PS, PET, ABS, and PC were provided by Friedel Kunststoff Recycling GmbH in Böhmenkirch, Germany. PLA used in this study was obtained from yoghurt cup cut-outs.
Material mixtures. Different material mixtures were prepared by adding selected polymers (PS, PET, ABS, PC, PLA) to the parent material (PP) at different gravimetric concentrations of 3%, 5%, 7%, and 10%.

2.2. Sample Preparation

Samples of each mixture were prepared by compounding and injection moulding. Furthermore, the parent material was prepared at different temperatures corresponding to the processing temperature of the associated mix for reference purposes (see Table 1). Further samples were prepared from the pure SPs.
Material drying. Prior to extrusion, each polymer was dried in a Bierther DR 204 MT hot air dryer, with a dew point of -50 °C. ABS and PS were dried for 2 h at 80 °C, while PET and PC were dried for 5 h at 130 °C and 120 °C, respectively. PLA was dried overnight for at least 12 h at 50 °C.
Compounding. Material compounding was carried out on a Leistritz LSM 3034 twin screw co-rotating extrusion machine, equipped with nine heating zones in addition to a separate heating zone for the die. The screws have a diameter of 34 mm with a length-to-diameter ratio of 30. Gravimetric dosing of the parent material and the supplement material was achieved using an MDS-Balance twin–feeder from Movacolor. Each feeder is equipped with a load cell that monitors the change in hopper mass over time and controls the screw speed of the feeder to ensure constant material feed and homogeneous mixture. The mixture was extruded into filaments of 2-3 mm in diameter. Filaments were cooled in a 1.5 m water bath, dried and pelletised. The pull speed of the pelletiser was kept constant for each mixture, but had to be adjusted for each supplement to ensure adequate cooling, as fast speeds tend to shorten the polymer residence time in the cooling bath; insufficient cooling causes sticking problems within the pelletiser. The screw speed was kept constant at 147 rpm, and the throughput was set at 10 kg/h.
The temperature profile for compounding was selected as the minimum possible temperature that allows full melting of the foreign polymer, as detailed in Table 1. For all blends, the lie zone was set to be 5 °C cooler than the last extrusion heating zone. Pure supplement materials, except for PC, was processed at the same profile as that of its associated mixtures. PC was processed at an increased temperature of 295 °C, since processing its mixtures at lower temperatures caused elevated torques on the machine.
Injection moulding. Before further processing, all mixtures were dried at 80 °C for 2 h. The test specimens were produced using a Demag 420/430 injection moulding machine, equipped with a single screw with three heating zones, in addition to a nozzle heater. Table 2 lists the injection moulding parameters for each case under consideration. The screw speed was set for all cases at 200 rpm.
Tensile specimens, according to DIN EN ISO 527-2, standard type 1A (10 mm width, 4 mm thickness) were injection moulded using a single film-type gate, with a longitudinal fill along the axis of the sample. Furthermore, a tensile sample (10 mm width, 3 mm thickness) with a weld line, in addition to tensile impact samples with and without weld line were produced. The weld line in the specimen’s cross-sectional area was obtained using a two-gate system at both ends of the cavity. The weld line forms a weak line in the middle of the sample and intensifies the contamination effect within the material. In addition, notched Charpy impact test specimens were injection moulded.
The mould was tempered at 40 °C for all cases, except for pure PLA, PC and PET, where the mould temperature was set according to the values given in Table 2. For each start of the machine or mould change, the mould was left to temper for at least 15 min; samples resulting from the first five injection moulding cycles were discarded to ensure equivalent conditions for all samples. For each material change, at least 300 cm³ of material was purged before injection moulding, to avoid cross-contamination.

Material Testing

The influence of various foreign polymers on PP was quantified through the mechanical and rheological properties of the material. The tensile modulus ( E ), yield strength ( σ y ), elongation at break ( ε b ), the impact strength (notched Charpy and tensile impact), as well as the melt volume-flow rate (MVR) were tested.
Tensile Test. Tensile testing of samples with and without weld line was carried out using a Shimadzu Autograph AG-X plus universal testing machine, equipped with a 10 kN load cell and an optical extensometer (TRViewX). Tensile tests were performed according to DIN EN ISO 527-2 using tensile specimens with dimensions according to type 1A. A 20 N preload was applied to the specimen at the beginning of the test, followed by continuous loading at a crosshead speed of 1 mm/min up to 0.27% strain, to accurately determine the modulus of elasticity. After that, the test speed was increased to 50 mm/min up to failure. For all materials under consideration, at least 12 specimens were tested.
Impact Test. The impact strength of the materials under investigation in the tensile and bending modes according to DIN EN ISO 8256 and DIN EN ISO 179-1, respectively, was determined for specimens with and without the weld line.
Tensile impact testing was conducted on a Zwick-Roell mechanical impact tester equipped with a 7.5 J hammer for all materials, except for the pure polymer samples without a weld line as well as the PC specimens with weld line; these required 50 J and 15 J hammers, respectively. In all cases, a traverse of a mass of 60.976 g was used. The energy at break E c was calculated according to the modified equations (1)-(3) as per the standard, where E s is the measured absorbed impact energy, E q is the remaining energy in the pendulum after impact according to Eq. (2), m c r is the mass of the traverse in kg, and m p is the pendulum mass in kg. The Charpy impact test of the single-notched specimens was performed with a 1 J hammer. The results of at least 12 specimens were considered.
E c = E s E q
E q = E m a x × μ × 3 + μ 2 × 1 + μ
μ = m c r m p
Fourier-Transformation Infrared Spectroscopy. The IR spectra for all mixtures and pure materials under consideration were measured using the Schimadzu IRTracer-100 in the MIR range, using an ATR equipped with a diamond PUCK in the reflectance mode. The measurements were performed using a resolution of 4 cm-1, conducting 128 scans per spectrum to guarantee a high-resolution spectrum.
Melt volume-flow rate. Injection moulded specimens were shredded to obtain small flakes of the different material blends under consideration. A Thermo HAAKE Meltfixer 2000 tester was used to measure the melt volume-flow rate (MVR) according to DIN EN ISO 1133-1 using the recommended test temperature (230 °C) and weight (2.16 kg) for PP. The meld flow rate generally represents the speed of extrusion of a polymer under defined temperature, through a defined die and under defined constant pressure. The tester chamber was thoroughly cleaned at the beginning of each measurement. Shredded material of 6 ± 0.05 g weight was introduced within 60 s into the chamber. After an initial compaction, achieved by a piston movement of 10 mm the material was heated for 5 min. Then the load was applied and the free fall piston travel per time was measured and further converted into extruded volume per time. Ten Measurements were taken at 30 s interval. For each blend concentration, a total of three specimen would be tested.

3. Results

3.1. Effect of Foreign Polymer Inclusion on the Tensile Behaviour of PP

Figure 1 shows the effect of adding ABS, PC, PET, PLA, and PS on the tensile properties of the parent PP material. Generally, it can be seen that apart from PET, the material stiffness remains largely unaffected by the addition of any foreign polymer. For example, for the 10% PP/PC mix, the modulus of elasticity increased by 9.7% compared to pure PP, while the addition of 10% PET to the PP stream resulted in an increase of 41.2% in the tensile modulus. Similarly, the supplements did not cause any significant change in the tensile strength of PP, even at a concentration of 10%. However, the introduction of foreign polymers into the PP stream had an adverse impact on the elongation at break, especially at higher concentrations of 10%. A maximum reduction of 46.8% was observed in case of a blend with 10% PET. It is also worth noting that the inclusion of up to 7% PS was found to increase the elongation at break by 25.3%, as well as the associated scattering.
Figure 2 shows the effect of the polymer inclusions on the tensile modulus, strength, and elongation at break of PP when a weld line is present in the specimen. It can be seen that supplements of up to 10% barely influence the stiffness of PP. This can be related to the fact that the tensile modulus is measured within the elastic region, where the weld line does not yet have an influence. However, in case of the PET as an inclusion within PP, an increase of 34.5% in the tensile modulus of PP was observed.
In contrast, the tensile strength was found to suffer from the presence of foreign polymers within the PP. The inclusion of 10% ABS or PS resulted in a 17.5% reduction in strength. In the case of PP mixtures with PET or PLA, only minor changes (< 5%) in tensile strength could be observed. The elongation at break was largely affected by foreign inclusions, even at minor concentrations of 3%. The elongation at break was found to decrease with increasing amounts of foreign polymer within the parent material. At 10% ABS a loss of more than 80% in the elongation at break with respect to the pure PP could be detected.
On the basis of the aforementioned results, it becomes evident that the presence of a weld line emphasizes the effect of foreign polymers within PP. In this work, weld lines were intentionally formed during injection moulding, creating two separate melt streams that meet at the centre of the mould cavity. Due to the fact that these streams take different paths, temperature differences are more likely to occur between the two, leading to stress concentrations [29,30,31], discontinuity in macromolecular entanglement [31], and discontinuous macromolecular orientation parallel to the weld line [32]. In all cases, the samples under investigation failed due to this artificially induced defect, leading to a loss of mechanical properties. In specimens without the weld line, material failure would occur at the weakest point of statistically distributed molecular defects. In the presence of foreign polymer, these often act as inclusions and are related to higher stress concentrations, and thus form sites for failure initiation. This effect can be seen for concentrations higher than 5%.

3.2. Effect of Foreign Polymer Inclusion on the Impact Behaviour of PP

Figure 3a and Figure 3b show the impact test results carried out on samples without a weld line in tensile and bending modes. Regardless of the test type, the inclusion of foreign polymers resulted in a clear reduction in the impact strength of PP. This deterioration increases with increasing concentration of the foreign polymer. However, the trend is not the same for all supplement polymers under consideration. As depicted in Figure 3b, the Charpy impact strength of PP mixed with up to 7% PS remains unaffected, in contrast to the impact strength of pure PP. It is first at 10% PS within the mix that the general trend towards a reduced impact strength can be observed. In the case of PLA, a slight insignificant increase in impact strength could even be observed at a concentration of 3% with respect to pure PP.
A similar trend was observed in the case of the tensile impact test (Figure 3a), although the results were an order of magnitude higher than those obtained in the bending mode. This can mainly be related to the sample configuration and the type of load. In case of the Charpy impact test, the bending load causes tensile stresses at the notch area, resulting in crack initiation and further propagation at low energy absorption levels across the cross section of the sample. However, impact tension induces tensile stresses throughout the cross section of the sample, requiring higher energy up to failure. It should be noted that it was not possible to test the tensile impact of pure PET specimens, as these tended to slip out of grips; an increase in clamping force inevitably led to material crushing.
Figure 3c shows the effect of foreign polymers on the tensile impact strength of PP in the presence of a weld line. Similar to the aforementioned observation in the case of samples without a weld line (Figure 3b), the tensile impact strength of PP was significantly reduced even at low concentrations of 3% of the SP. An increase in the percentage of SPs within PP leads to a continuous reduction in the tensile impact strength. At concentrations of 10% ABS, PS, or PC, PP was found to retain only around 40% of its impact strength. In contrast, PET and PLA inclusions appeared to have lower impacts, on average retaining 55% of the initial impact tensile strength.

3.3. Effect of Foreign Polymer on the Melt Volume-Flow Rate of PP

Figure 4a depicts the average measurements carried out for the case of pure PP. Results indicate insignificant changes in MVR over time at small standard deviation. In contrast, a PP blend including 10% PLA (usually processed at temperatures lower than 230 °C) rapidly degrades, leading to an increase in MVR from 11.3 cm3/10min to 14.3 cm3/10min within 10 min, as per Figure 4b. To ensure the comparability of measurements, the average MVR was calculated for all blends under consideration using the first three measurements.
Based on that, Figure 4c shows the change in MVR of PP for all blends under consideration. Among all the contaminating materials, PLA seems to have the major influence on the MVR, causing a significant increase of 118% at a loading percent of 10. In contrast, PC, PS, and ABS showed minor increase in the MVR at 10%, averaging 3.5%, 8.6%, and 4.5%, respectively. However, it should be noted that for 3% ABS in PP, the MVR of PP seemed to decrease initially before increasing once more with further increase in the ABS content. PET follows a completely different trend, where the 22% reduction in MVR at 10% PET content relates to an increased viscosity.

3.4. Effect of Foreign Polymer Inclusion on the IR-Spectrum of PP

Figure 5a shows the results of the FTIR scan of the PP and its mixtures with ABS. The distinctive peaks of PP, evidence the symmetric and asymmetric stretching of the CH3 group at 2868 cm-1 and 2950 cm-1, respectively, as well as those of the CH2 group at 2838 cm-1, and 2916 cm-1, respectively. The CH3 vibration in umbrella mode at 1375 cm-1 and that of the symmetric in-plane vibration of the C-H(CH3) group at 1455 cm-1 were also easily identified in the pure PP spectrum and are in line with literature findings [33,34].
The IR spectrum of pure ABS under consideration shows the characteristic absorbance peaks of the acrylonitrile C≡N bond at 2239 cm-1 and the styrene’s aromatic ring vibration at 1602 cm-1 and 1494 cm-1, the scissoring of the CH2 group at 1452 cm-1, and the C-H deformation of the hydrogen atoms found in the alkenic carbon in the butadiene phase at 964 cm-1 and 912 cm-1, all being in accordance with literature [35,36]. The mixture of PP and ABS evidences the existence of the distinctive peaks of both polymers.
The spectra of PC and its blends with PP are illustrated in Figure 5b. The characteristic PC vibration peaks of PC, including the asymmetric stretching of the C-H group at 2968 cm-1, the C=O stretching at 1768 cm-1, the C-C stretching at 1504 cm-1, the C-C-C bending at 1080 cm-1, the O-C-O simultaneous stretching at 1012 cm-1, and the C-H deformation at 827 cm-1 could be clearly identified [33,36].
The effect of mixing different concentrations of PET in PP on the IR-spectrum of PP is summarised in Figure 5c. Numerous distinct PET peaks, in accordance with literature [33], could be identified, including the aromatic skeletal stretching band at 1408 cm-1, the CH2 wagging at 1340 cm-1, the C=O stretching at 1710 cm-1, the broad peaks at 1095 cm-1 and 1241 cm-1 due to ester stretching, the benzine ring vibration at 871 cm-1, 723 cm-1, and 1017 cm-1, and the CH2 nocking at 846 cm-1. Here, it is the peak at 1710 cm-1 that showed a varying intensity with the PET concentration in PP.
In case of mixing PLA into PP, Figure 5d shows the existence of the characteristic stretching of C-O bonds at 1080 cm-1, C=O stretching at 1749 cm-1, the symmetric and asymmetric stretching of CH3 at 2947 cm-1 and 3000 cm-1, as well as their symmetric and asymmetric bending at 1361 cm-1 and 1452 cm-1. Here, the intensity of the C=O stretching at 1749 cm-1 varies with the concentration of PLA in PP [37].
Finally, Figure 5e illustrates the IR spectra of PP and its mixtures with PS. According to [33], the distinctive benzine ring vibration peaks lie at 1600 cm-1 and 1493 cm-1. The out-of-plane mono-substitution deformation peaks at 694 cm-1 and 750 cm-1 of PS changes its intensity with the varying content of PS within PP. Table 3 summarises the distinctive identification wavenumbers and their associated bonds for each of the tested polymers.

4. Discussion

ABS as a foreign polymer in the PP recycling stream. In case of a good bond between PP and ABS within the blend, elastomeric polybutadiene in ABS [38] is expected to contribute towards improved toughness of the semi-crystalline PP. However, such an interface is only achievable through the addition of compatibilisers [39,40,41]. The current study confirms these findings, as the incorporation of ABS into PP without such coupling agents did not improve the tensile stiffness or strength of the parent polymer. However, results also show that the mix up to 10% generally did not negatively impact the strength and stiffness of PP. For concentrations of up to 3%, no significant effect on the ductility of PP could be observed. This is also supported by the MVR results, which suggest that for lower ABS concentrations, no molecular changes occurred in PP and thus no significant change in the MVR of PP.
Based on these results, up to 3% ABS can be allowed within a PP stream without negatively affecting its mechanical properties. Due to the acceptable tensile properties observed in samples with a weld line, it can be assumed that such a recycling material can be used in complex products that may require multiple gates during injection moulding. For simpler parts (without weld line), lower-quality streams with 5-10% ABS can be used without any sacrifice in strength, stiffness, or processability of PP.
PC as a foreign polymer in the PP recycling stream. PC is an amorphous polymer, which is immiscible with PP [42,43,44,45,46]. Due to the high melting temperature of PC (280-315 °C) with respect to that of PP (215-260 °C), the mixture was processed at the higher temperature levels to ensure full melt of the PC. However, at 280 °C, PP showed a 2.14% reduction in tensile strength, compared to PP processed at 245 °C (as in case of the experimental setup for the ABS blend). A similar observation was reported by Van Bruggen et al. [47] where the impact strength of pure PP decreased by 3.7%, when the processing temperature of pure PP was increased from 250 °C to 300 °C.
Despite the deterioration in strength of PP under the given processing conditions and the immiscibility of PC and PP, the mix did not show a significant loss in strength and stiffness. This can be interpreted in terms of the good dispersion of the PC phase during the compounding phase. As a result, the well-dispersed PC phase associated with higher mechanical properties acts as reinforcement within the PP, thus retaining its overall mechanical performance.
According to these findings, for parts produced without a weld line, contamination of PP with PC of up to 10% will not have a significant effect on the mechanical properties of PP, providing the mix is compounded at temperatures high enough to melt the contaminating polymer. Once compounded, the mixture can be injection moulded at the conventional processing temperatures of PP without any significant change in the MVR of PP. The PC would then act as a dispersed strengthening phase. However, for applications with weld line, a decrease in toughness and elongation at break should be expected.
PET as a foreign polymer in the PP recycling stream. PET is immiscible in PP [48,49], due to the lack of chemical and polar compatibility. PP/PET blends tend to establish a two-phase morphology, where relatively large spherical droplets of PET are present within PP [50,51,52]. This theory is supported by the MVR findings, indicating an increased viscosity of the PP/PET blend, since the flow of PP is hindered by the crystalline PET phases. Compatibilisers are necessary to create a bond between the two phases. The here presented results show that PP/PET blends behaved according to the rule of mixtures, where the stiffness of the mix linearly increased with increasing PET content, while the ductility linearly decreased. Here, PET acts as the stiffening component to the more ductile PP. Similar results were reported in [53,54,55,56,57], where fabrics and textiles produced out of a polyolefin/PET blend showed superior properties. Li et al. [58] claimed that the inclusion of high melting temperature polymers into PP acts as a microfibrillar reinforcement. In addition, Inoya et al. [59] proposed that a homogeneous PP/PET blend can be achieved by deformation of the dispersed phase through adequate mixing to prevent its agglomeration.
The present study proves that a 5% mis-sorting of PET in PP is not expected to cause significant deterioration in the mechanical properties of PP. In fact, apart from the increased brittleness of PP (related to improved stiffness), the incorporation of 5% PET does not seem to affect the tensile strength or the strain to failure. Even at higher concentrations of PET, recycled material can further be considered for complex parts involving a weld line, as it behaves as a reinforced PP blend with enhanced stiffness. However, care should be taken during processing, since higher injection pressures are to be expected due to increased melt viscosity.
PLA as a foreign polymer in the PP recycling stream. Similar to the other polymers under consideration in this study, PLA is also incompatible with PP. Consequently, PP/PLA blends tend to form a multiphase system with poor mechanical performance [60,61,62]. PP-g-maleic anhydride is often used as a compatibilising agent to mitigate the blend’s polarity for a better interface. The results presented here show that the introduction of PLA into PP insignificantly enhances the stiffness, without any impact on strength or ductility. Increasing the amount of PLA beyond 5% led to the embrittlement of PP. However, the toughness of the PP weld lines in the presence of PLA seemed to suffer, even at low concentrations of 3%.
Based on the above, it is recommended to use PP streams with PLA mis-sorting in applications that do not require high toughness or complex gating systems that lead to the formation of weld lines. Such a mix is, however, still usable in general applications where stiffness is the key factor. It should be noted that in this study, the PP stream with PLA mis-sorts was processed at 215 °C, which is normally considered too low for PP (225-245 °C). Processing at higher temperatures around 240 °C cause PLA degradation (as evidenced by the significantly increased MVR), which could lead to lower ductility and toughness of the mix. It is to be noted that the reduced viscosity must also be considered at the processing stage.
PS as a foreign polymer in the PP recycling stream. PS is immiscible in PP [63]. Therefore, it is generally suggested to use compatibilisers for PP/PS blends. However, in [64,65], high shear mixing techniques were used to efficiently blend PP and PS without the addition of compatibilisers. Here, a twin-screw counter-rotating extruder was used to bring high shear into the material. Although this is generally not the case in this study, the incorporation of PS into PP did not negatively influence the stiffness and tensile strength or its processability. For up to 5% PS, there was even no significant change in ductility or toughness with respect to the parent polymer. A further increase in PS content to 7% seemed to improve ductility, although not statistically significant, due to the increased scattering of the results. This effect is nullified at a higher PS content of 10%, bringing back the ductility to its original value, while having a negative impact on the toughness.
Experiments carried out on samples with a weld line evidence that the incorporation of PS hinders good bonding at the weld line, thus linearly decreasing the overall toughness, ductility, and tensile strength with increasing PS content. On the one hand, the benzine ring within the PS chain is expected to hinder the mobility of the PP molecules, thus strengthening the material. However, the immiscibility of PP and PS encourages the agglomeration of PS, thus decreasing overall mechanical performance. These two mechanisms work against each other, which is reflected in the increased standard deviation of the elongation at break for samples without a weld line up to 7% PS. A further increase in the PS content is expected to encourage the formation of agglomerates, leading to the deterioration of the ductility. Hence, it can be concluded that the mis-sorting of PS up to 7% will not cause a significant change in the mechanical properties of PP. At 10% PS, only the toughness of PP would suffer. If this mix is, however, used in the manufacturing of complex geometries that require multiple gates in the mould, a significant decline in the ductility and toughness of PP should be expected. However, this should not render this polymer stream unusable for mechanical recycling.

5. Conclusions

The contamination of polypropylene (PP) with selected polymers is studied to simulate the effect of mis-sorting in recycling streams. ABS, PC, PET, PLA, and PS are all immiscible in PP. Conscious mixing usually involves the addition of coupling agents, to improve bonding between PP and the supplement material. This study proves, that to some extent the presence of foreign polymers in PP can be accepted. Accordingly, it is generally recommended to compound the blend at temperatures high enough to ensure the melt of the supplement polymer, using a twin-screw extruder before injection moulding the final product. Many of these contaminants then tend to form a secondary reinforcing phase within the PP.
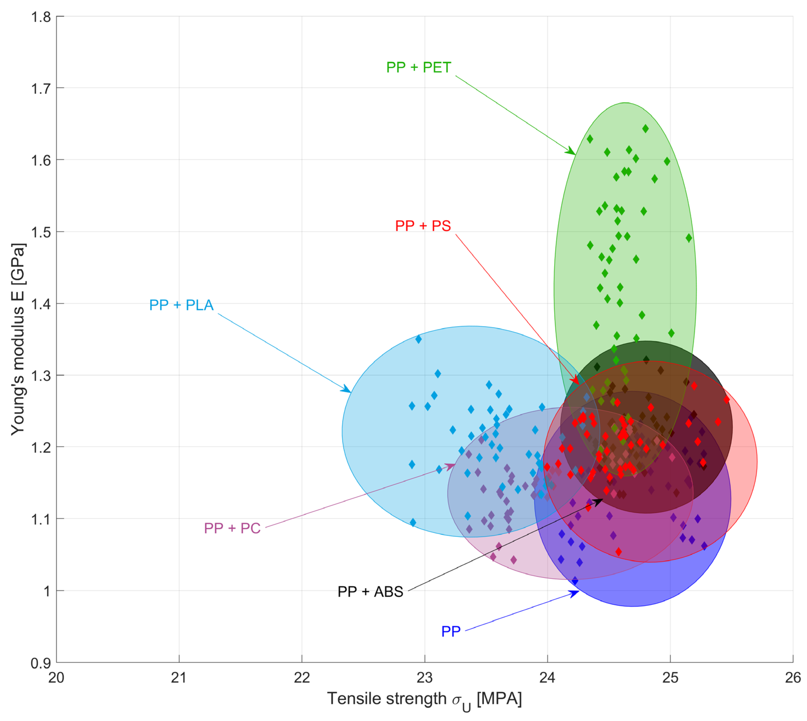
Figure 6 provides a graphical summary of the results of this study. The plot depicts the properties, of PP when mixed with up to 10% of the foreign polymer. It can be concluded that the inclusion of ABS, PET, and PS increases the material stiffness with no adverse influence on the material’s strength, whereas PC and PLA inclusion decreases the PP’s strength with no enhancement in the material’s stiffness.
Moreover, it can be stated that ABS, PC, and PS inclusions, although not affecting its processability, generally render PP unsuitable for complex parts that involve a weld line due to reduced toughness and ductility. However, such mis-sorts are acceptable for simple components without a weld line. Inclusion of PET or PLA within PP at 10% would generally result in reduced toughness and ductility. Moreover, PLA significantly degrades at dwell times greater than 3 minutes leading to an increased MVR of 118% after 10 min. This might render the PP stream unsuitable for extrusion applications. In contrast, PET decreases the MVR of PP by more than 22%. Finally, it should be noted that, for all supplement polymers under investigation, the tensile strength and stiffness of PP did not suffer even in the presence of 10% supplement immiscible polymer.
The introduction of a weld line emphasized the effect of the defects within the PP blend. Following these results is generally the more conservative way for product design. In accordance, knock-down or safety factors can be reduced.

Author Contributions

Conceptualization, M.D. and I.T.; methodology, M.D.; validation, M.D.; formal analysis, M.D.; investigation, M.D.; resources, M.D.; data curation, M.D.; writing—original draft preparation, M.D.; writing—review and editing, M.D. and I.T.; visualization, M.D.; supervision, I.T.; project administration, I.T.; funding acquisition, I.T. All authors have read and agreed to the published version of the manuscript.

Funding

This study was carried out within the scope of the research project “Recyclebot” [66], funded by the Federal Ministry for the Environment, Nature Conservation, Nuclear Safety and Consumer Protection, Germany (grant no. 67KI31039A). Publication was funded by Aalen University of Applied Sciences.

Data Availability Statement

The data that support the findings of this study are available on request from the corresponding author.

Conflicts of Interest

The authors declare no conflicts of interest.

References

  1. Baron, C.; Donadio, F.; Scherdel, M.; Taha, I. Bio-based epoxy and unsaturated polyester resins: Research and market overview. In Proceedings of the Institution of Mechanical Engineers, Part C: Journal of Mechanical Engineering Science; 2024. [Google Scholar] [CrossRef]
  2. Plastics Europe. Plastics—The fast facts 2023. Available online: https://plasticseurope.org/knowledge-hub/plastics-the-fast-facts-2023/ (accessed on 14 May 2024).
  3. Juikar, S.K.; Warkar, S.G. Biopolymers for packaging applications: An overview. Packag Technol Sci 2023, 36, 229–251. [Google Scholar] [CrossRef]
  4. Vollmer, I.; Jenks, M.J.F.; Roelands, M.C.P.; White, R.J.; van Harmelen, T.; de Wild, P.; van der Laan, G.P.; Meirer, F.; Keurentjes, J.T.F.; Weckhuysen, B.M. Beyond Mechanical Recycling: Giving New Life to Plastic Waste. Angew. Chem. Int. Ed Engl. 2020, 59, 15402–15423. [Google Scholar] [CrossRef] [PubMed]
  5. Tsuchimoto, I.; Kajikawa, Y. Recycling of Plastic Waste: A Systematic Review Using Bibliometric Analysis. Sustainability 2022, 14, 16340. [Google Scholar] [CrossRef]
  6. European Bioplastics. Production capacity of bioplastics worldwide from 2022 to 2028, by type (in 1,000 metric tons). 2022. [Google Scholar]
  7. Lamberti, F.M.; Román-Ramírez, L.A.; Wood, J. Recycling of Bioplastics: Routes and Benefits. J Polym Environ 2020, 28, 2551–2571. [Google Scholar] [CrossRef]
  8. Wojnowska-Baryła, I.; Kulikowska, D.; Bernat, K. Effect of Bio-Based Products on Waste Management. Sustainability 2020, 12, 2088. [Google Scholar] [CrossRef]
  9. Umwelt Bundesamt. Kunststoffabfälle. 2023. Available online: https://www.umweltbundesamt.de/daten/ressourcen-abfall/verwertung-entsorgung-ausgewaehlter-abfallarten/kunststoffabfaelle#kunststoffe-produktion-verwendung-und-verwertung (accessed on 14 May 2024).
  10. European Environment Agency. Europe needs to step up circular economy efforts, including on waste prevention. Available online: https://www.eea.europa.eu/en/newsroom/news/circular-economy-target-monitoring-waste-prevention#:~:text=The%20EU’s%20circular%20economy%20action,and%20less%20overall%20material%20use (accessed on 14 May 2024).
  11. European Commission. European Parliament and Council Directive 94/62/EC: European Parliament and Council Directive 94/62/EC of 20 December 1994 on packaging and packaging waste. Available online: http://data.europa.eu/eli/dir/1994/62/2018-07-04 (accessed on 20 May 2024).
  12. Werner, T.; Taha, I.; Aschenbrenner, D. An overview of polymer identification techniques in recycling plants with focus on current and future challenges. Procedia CIRP 2023, 120, 1381–1386. [Google Scholar] [CrossRef]
  13. Pérez, J.M.; Vilas, J.L.; Laza, J.M.; Arnáiz, S.; Mijangos, F.; Bilbao, E.; León, L.M. Effect of Reprocessing and Accelerated Weathering on ABS Properties. J Polym Environ 2010, 18, 71–78. [Google Scholar] [CrossRef]
  14. Luzuriaga, S.; Kovářová, J.; Fortelný, I. Degradation of pre-aged polymers exposed to simulated recycling: Properties and thermal stability. Polymer Degradation and Stability 2006, 91, 1226–1232. [Google Scholar] [CrossRef]
  15. Soroudi, A.; Jakubowicz, I. Recycling of bioplastics, their blends and biocomposites: A review. European Polymer Journal 2013, 49, 2839–2858. [Google Scholar] [CrossRef]
  16. Cao, Q.; Yuan, G.; Yin, L.; Chen, D.; He, P.; Wang, H. Morphological characteristics of polyvinyl chloride (PVC) dechlorination during pyrolysis process: Influence of PVC content and heating rate. Waste Manag. 2016, 58, 241–249. [Google Scholar] [CrossRef]
  17. Tiwari, R.; Azad, N.; Dutta, D.; Yadav, B.R.; Kumar, S. A critical review and future perspective of plastic waste recycling. Sci. Total Environ. 2023, 881, 163433. [Google Scholar] [CrossRef] [PubMed]
  18. Hamad, K.; Kaseem, M.; Deri, F. Recycling of waste from polymer materials: An overview of the recent works. Polymer Degradation and Stability 2013, 98, 2801–2812. [Google Scholar] [CrossRef]
  19. Sadat-Shojai, M.; Bakhshandeh, G.-R. Recycling of PVC wastes. Polymer Degradation and Stability 2011, 96, 404–415. [Google Scholar] [CrossRef]
  20. Gjergj Dodbiba; Jun Sadaki; Atsushi Shibayama; Toyohisa Fujita. Sorting Techniques for Plastics Recycling. The Chinese Journal of Process Engineering 2006, 6, 186–191. [Google Scholar]
  21. Serranti, S.; Gargiulo, A.; Bonifazi, G. Characterization of post-consumer polyolefin wastes by hyperspectral imaging for quality control in recycling processes. Waste Manag. 2011, 31, 2217–2227. [Google Scholar] [CrossRef] [PubMed]
  22. McLauchlin, A.R.; Ghita, O.; Gahkani, A. Quantification of PLA contamination in PET during injection moulding by in-line NIR spectroscopy. Polymer Testing 2014, 38, 46–52. [Google Scholar] [CrossRef]
  23. Scott, D.M. A two-colour near-infrared sensor for sorting recycled plastic waste. Meas. Sci. Technol. 1995, 6, 156–159. [Google Scholar] [CrossRef]
  24. Elmaghor, F.; Zhang, L.; Fan, R.; Li, H. Recycling of polycarbonate by blending with maleic anhydride grafted ABS. Polymer 2004, 45, 6719–6724. [Google Scholar] [CrossRef]
  25. Ruj, B.; Pandey, V.; Jash, P.; Srivastava, V. Sorting of plastic waste for effective recycling. International Journal of Applied Science and Engineering Research 2015, 4, 564–571. [Google Scholar]
  26. Naderi Kalali, E.; Lotfian, S.; Entezar Shabestari, M.; Khayatzadeh, S.; Zhao, C.; Yazdani Nezhad, H. A critical review of the current progress of plastic waste recycling technology in structural materials. Current Opinion in Green and Sustainable Chemistry 2023, 40, 100763. [Google Scholar] [CrossRef]
  27. Wędrychowicz, M.; Papacz, W.; Walkowiak, J.; Bydałek, A.; Piotrowicz, A.; Skrzekut, T.; Kurowiak, J.; Noga, P.; Kostrzewa, M. Determining the Mechanical Properties of Solid Plates Obtained from the Recycling of Cable Waste. Materials 2022, 15, 9019. [Google Scholar] [CrossRef] [PubMed]
  28. Chen, S.-C.; Liao, W.-H.; Hsieh, M.-W.; Chien, R.-D.; Lin, S.-H. Influence of Recycled ABS Added to Virgin Polymers on the Physical, Mechanical Properties and Molding Characteristics. Polymer-Plastics Technology and Engineering 2011, 50, 306–311. [Google Scholar] [CrossRef]
  29. Bociaga, E.; Skoneczny, W. Characteristics of injection molded parts with the areas of weld lines. Polimery 2020, 65, 337–345. [Google Scholar] [CrossRef]
  30. Tjader, T.; Seppala, J.; Jaaskelainen, P. Effect of material characteristics of polyolefins on weld line morphology and its correlation to mechanical properties. J Mater Sci 1998, 33, 923–931. [Google Scholar] [CrossRef]
  31. Yang Zhao. Zur Untersuchung der Bindenaht beim Spritzgießen von duroplastischen Formmassen auf Epoxidharzbasis. Dissertation, Technische Fakultät Friedrich-Alexander-Universität Erlangen-Nürnberg, 2022. [Google Scholar]
  32. Tham Nguyen-Chung. Strömungsanalyse der Bindenahtformation beim Spritzgießen von thermoplastischen Kunststoffen. Dissertation, TU Chemnitz, Germany, 2001. [Google Scholar]
  33. Peltzer, M.A.; Simoneau, C. Report of an inter-laboratory comparison from the European Reference Laboratory for Food Contact Materials: ILC 002 2013: identification of polymeric materials; Publications Office: Luxembourg, 2013; ISBN 978-92-79-35267-6. [Google Scholar]
  34. Smith, B.C. The Infrared Spectra of Polymers III: Hydrocarbon Polymers. Spectroscopy 2021, 22–25. [Google Scholar] [CrossRef]
  35. Desrousseaux, C.; Cueff, R.; Aumeran, C.; Garrait, G.; Mailhot-Jensen, B.; Traoré, O.; Sautou, V. Fabrication of Acrylonitrile-Butadiene-Styrene Nanostructures with Anodic Alumina Oxide Templates, Characterization and Biofilm Development Test for Staphylococcus epidermidis. PLoS One 2015, 10, e0135632. [Google Scholar] [CrossRef] [PubMed]
  36. Li, J.; Chen, F.; Yang, L.; Jiang, L.; Dan, Y. FTIR analysis on aging characteristics of ABS/PC blend under UV-irradiation in air. Spectrochim. Acta A Mol. Biomol. Spectrosc. 2017, 184, 361–367. [Google Scholar] [CrossRef] [PubMed]
  37. Chieng, B.; Ibrahim, N.; Yunus, W.; Hussein, M. Poly(lactic acid)/Poly(ethylene glycol) Polymer Nanocomposites: Effects of Graphene Nanoplatelets. Polymers 2014, 6, 93–104. [Google Scholar] [CrossRef]
  38. Luna, C.B.B.; Siqueira, D.D.; Araújo, E.M.; do Nascimento, E.P.; Da Costa Agra de Melo, J.B. Evaluation of the SEBS copolymer in the compatibility of PP / ABS blends through mechanical, thermal, thermomechanical properties, and morphology. Polymers for Advanced Techs 2022, 33, 111–124. [Google Scholar] [CrossRef]
  39. Harris, M.; Potgieter, J.; Ray, S.; Archer, R.; Arif, K.M. Acrylonitrile Butadiene Styrene and Polypropylene Blend with Enhanced Thermal and Mechanical Properties for Fused Filament Fabrication. Materials 2019, 12, 4167. [Google Scholar] [CrossRef]
  40. Koning, C. Strategies for compatibilization of polymer blends. Progress in Polymer Science 1998, 23, 707–757. [Google Scholar] [CrossRef]
  41. Lee, H.G.; Sung, Y.-T.; Lee, Y.K.; Kim, W.N.; Yoon, H.G.; Lee, H.S. Effects of PP-g-MAH on the Mechanical, morphological and rheological properties of polypropylene and poly(acrylonitrile-butadiene-styrene) blends. Macromol. Res. 2009, 17, 417–423. [Google Scholar] [CrossRef]
  42. Tiwari, S.K.; Oraon, R.; de Adhikari, A.; Nayak, G.C. A thermomechanical study on selective dispersion and different loading of graphene oxide in polypropylene/polycarbonate blends. J. Appl. Polym. Sci. 2017, 134. [Google Scholar] [CrossRef]
  43. Dai, S.; Ye, L.; Hu, G.-H. Molecular simulation on relationship between composition and microstructure of PP/PC blend. J. Appl. Polym. Sci. 2012, 126, 1165–1173. [Google Scholar] [CrossRef]
  44. Brostow, W.; Holjevac Grguric, T.; Olea-Mejia, O.; Rek, V.; Unni, J. Polypropylene + Polystyrene Blends with a Compatibilizer. Part I. Morphology and Thermophysical Properties. e-Polymers 2008, 8. [Google Scholar] [CrossRef]
  45. Machado, A.V.; van Duin, M.; Covas, J.A. Monitoring polyolefin modification along the axis of a twin-screw extruder. II. Maleic anhydride grafting. J. Polym. Sci. A Polym. Chem. 2000, 38, 3919–3932. [Google Scholar] [CrossRef]
  46. Li, Y.; Xie, X.-M.; Guo, B.-H. Study on styrene-assisted melt free-radical grafting of maleic anhydride onto polypropylene. Polymer 2001, 42, 3419–3425. [Google Scholar] [CrossRef]
  47. van Bruggen, E.P.A.; Koster, R.P.; Picken, S.J.; Ragaert, K. Influence of Processing Parameters and Composition on the Effective Compatibilization of Polypropylene–Poly(ethylene terephthalate) Blends. International Polymer Processing 2016, 31, 179–187. [Google Scholar] [CrossRef]
  48. Zdrazilova, N.; Hausnerova, B.; Kitano, T.; Saha, P. Rheological Behaviour of PP/PET and Modified PP/PET Blends. I. Steady State Flow Properties. Polymers and Polymer Composites 2003, 11, 487–503. [Google Scholar] [CrossRef]
  49. Koenhen, D.M.; Smolders, C.A. The determination of solubility parameters of solvents and polymers by means of correlations with other physical quantities. J. Appl. Polym. Sci. 1975, 19, 1163–1179. [Google Scholar] [CrossRef]
  50. Wu, S. Formation of dispersed phase in incompatible polymer blends: Interfacial and rheological effects. Polym. Eng. Sci. 1987, 27, 335–343. [Google Scholar] [CrossRef]
  51. Pietrasanta, Y.; Robin, J.-J.; Torres, N.; Boutevin, B. Reactive compatibilization of HDPE/PET blends by glycidyl methacrylate functionalized polyolefins. Macromol. Chem. Phys. 1999, 200, 142–149. [Google Scholar] [CrossRef]
  52. Heino, M.; Kirjava, J.; Hietaoja, P.; Aseppala, J. Compatibilization of polyethylene terephthalate/polypropylene blends with styrene-ethylene/butylene-styrene (SEBS) block copolymers. J. Appl. Polym. Sci. 1997, 65, 241–249. [Google Scholar] [CrossRef]
  53. Tao, Y.; Mai, K. Non-isothermal crystallization and melting behavior of compatibilized polypropylene/recycled poly(ethylene terephthalate) blends. European Polymer Journal 2007, 43, 3538–3549. [Google Scholar] [CrossRef]
  54. Pawlak, A.; Morawiec, J.; Pazzagli, F.; Pracella, M.; Galeski, A. Recycling of postconsumer poly(ethylene terephthalate) and high-density polyethylene by compatibilized blending. J. Appl. Polym. Sci. 2002, 86, 1473–1485. [Google Scholar] [CrossRef]
  55. Nakayama, Y.; Ito, Y.; Fukaminato, T.; Xu, W.; Niidome, T.; Kurihara, S.; Kim, S. Water-soluble hyperbranched polymer with high curcumin content. J. Appl. Polym. Sci. 2023, 140. [Google Scholar] [CrossRef]
  56. Friedrich, K. Microfibrillar reinforced composites from PET/PP blends: processing, morphology and mechanical properties. Composites Science and Technology 2005, 65, 107–116. [Google Scholar] [CrossRef]
  57. Evstatiev, M.; Fakirov, S.; Krasteva, B.; Friedrich, K.; Covas, J.A.; Cunha, A.M. Recycling of poly(ethylene terephthalate) as polymer-polymer composites. Polym. Eng. Sci. 2002, 42, 826–835. [Google Scholar] [CrossRef]
  58. Li, Z.-M.; Yang, W.; Li, L.-B.; Xie, B.-H.; Huang, R.; Yang, M.-B. Morphology and nonisothermal crystallization of in situ microfibrillar poly(ethylene terephthalate)/polypropylene blend fabricated through slit-extrusion, hot-stretch quenching. J Polym Sci B Polym Phys 2004, 42, 374–385. [Google Scholar] [CrossRef]
  59. Inoya, H.; Wei Leong, Y.; Klinklai, W.; Thumsorn, S.; Makata, Y.; Hamada, H. Compatibilization of recycled poly(ethylene terephthalate) and polypropylene blends: Effect of polypropylene molecular weight on homogeneity and compatibility. J. Appl. Polym. Sci. 2012, 124, 3947–3955. [Google Scholar] [CrossRef]
  60. Choudhary, P.; Mohanty, S.; Nayak, S.K.; Unnikrishnan, L. Poly(L-lactide)/polypropylene blends: Evaluation of mechanical, thermal, and morphological characteristics. J. Appl. Polym. Sci. 2011, 121, 3223–3237. [Google Scholar] [CrossRef]
  61. Zhang, C.-L.; Feng, L.-F.; Gu, X.-P.; Hoppe, S.; Hu, G.-H. Efficiency of graft copolymers as compatibilizers for immiscible polymer blends. Polymer 2007, 48, 5940–5949. [Google Scholar] [CrossRef]
  62. Kim, J.; Zhou, H.; Nguyen, S.T.; Torkelson, J.M. Synthesis and application of styrene/4-hydroxystyrene gradient copolymers made by controlled radical polymerization: Compatibilization of immiscible polymer blends via hydrogen-bonding effects. Polymer 2006, 47, 5799–5809. [Google Scholar] [CrossRef]
  63. Rahmat Saat, M.A.; Rasid, R. Effect of high shear rate on the mechanical properties of polyethylene, poly(ethylene terephthalate), polystyrene and polypropylene waste blend. Polimery 2022, 67, 72–75. [Google Scholar] [CrossRef]
  64. La Mantia, F.P. Recycling of PVC and Mixed Plastic Waste; ChemTec Publishing: Ontario, 1996; ISBN 1895198119. [Google Scholar]
  65. Wang, Y.; Xiao, Y.; Zhang, Q.; Gao, X.-L.; Fu, Q. The morphology and mechanical properties of dynamic packing injection molded PP/PS blends. Polymer 2003, 44, 1469–1480. [Google Scholar] [CrossRef]
  66. Aschenbrenner, D.; Gros, J.; Fangerow, N.; Werner, T.; Colloseus, C.; Taha, I. Recyclebot—Using robots for sustainable plastic recycling. Procedia CIRP 2023, 116, 275–280. [Google Scholar] [CrossRef]
Figure 1. Effect of adding ABS, PC, PET, PLA, and PS on the (a) stiffness, (b) ultimate tensile strength, (c) elongation at break of PP stream in the absence of a weld line. (d) reference values of pure supplement polymers.
Figure 1. Effect of adding ABS, PC, PET, PLA, and PS on the (a) stiffness, (b) ultimate tensile strength, (c) elongation at break of PP stream in the absence of a weld line. (d) reference values of pure supplement polymers.
Preprints 111216 g001
Figure 2. Effect of adding ABS, PC, PET, PLA, and PS on the (a) stiffness, (b) ultimate tensile strength, (c) break elongation of PP stream in the presence of a weld line. (d) reference values of pure supplement polymers.
Figure 2. Effect of adding ABS, PC, PET, PLA, and PS on the (a) stiffness, (b) ultimate tensile strength, (c) break elongation of PP stream in the presence of a weld line. (d) reference values of pure supplement polymers.
Preprints 111216 g002
Figure 3. Effect of adding ABS, PC, PET, PLA, and PS on the (a) bending (Charpy), (b) tensile impact strength of PP in the absence of a weld line, and (d) reference values of pure SP materials.
Figure 3. Effect of adding ABS, PC, PET, PLA, and PS on the (a) bending (Charpy), (b) tensile impact strength of PP in the absence of a weld line, and (d) reference values of pure SP materials.
Preprints 111216 g003
Figure 4. Melt volume-flow rate for (a) pure PP processed at same conditions as for the PP/PLA blend, (b) PP with 10% PLA, and (c) PP and its blends.
Figure 4. Melt volume-flow rate for (a) pure PP processed at same conditions as for the PP/PLA blend, (b) PP with 10% PLA, and (c) PP and its blends.
Preprints 111216 g004
Figure 5. FTIR spectrum of PP, ABS, and their blends at different ABS concentrations.
Figure 5. FTIR spectrum of PP, ABS, and their blends at different ABS concentrations.
Preprints 111216 g005
Figure 6. Effect of supplement polymer inclusion on the strength and stiffness of PP.
Figure 6. Effect of supplement polymer inclusion on the strength and stiffness of PP.
Preprints 111216 g006
Table 1. material extrusion parameters.
Table 1. material extrusion parameters.
Polymer blends Pure polymers
ABS PS PET PLA PC ABS PS PET PLA PC
Temperature [ °C] Zone 1 160 160 170 130 195 160 160 200 130 210
Zone 2 210 210 220 180 245 210 210 250 180 260
Zone 3 220 220 230 190 255 220 220 260 190 270
Zone 4 225 225 235 195 260 225 225 265 195 275
Zone 5 230 230 240 200 265 230 230 270 200 280
Zone 6 230 230 240 200 265 230 230 270 200 280
Zone 7 240 240 250 210 275 240 240 280 210 290
Zone 8 240 240 250 210 275 240 240 280 210 290
Zone 9 245 245 255 215 280 245 245 285 215 295
Die zone 240 240 250 210 275 240 240 280 210 290
Screw speed 147 rpm
Throughput 10 kg/h
Table 2. Injection moulding parameters.
Table 2. Injection moulding parameters.
Polymer Blends Pure Polymers
ABS PS PET PLA PC PP ABS PS PET PLA PC
Temperature [ °C] Zone 1 195 195 195 195 195 195 195 195 250 170 270
Zone 2 205 205 205 205 205 205 205 205 265 180 285
Zone 3 210 210 210 210 210 210 210 210 270 185 290
Nozzle 220 220 220 220 220 220 220 220 290 195 300
Mould 40 40 40 40 40 40 40 40 85 30 85
Drying 80 80 80 80 80 80 80 80 130 50 120
Drying time [h] 2 2 2 2 2 2 2 2 2 16 5
Screw speed [mm/s] 200
Injection pressure [bar]
tensile specimens without weld line: 500
tensile specimens with weld line: 480
specimens for Charpy-impact testing: 325
Holding pressure [bar]
tensile specimens without weld line: 300
tensile specimens with weld line: 300
specimens for impact testing: 210
Holding time [s]
tensile specimens without weld line: 12
tensile specimens with weld line: 12
specimens for impact testing: 10
Cooling time [s] 15
Table 3. Summary of the distinctive FTIR wavenumbers associated with polymer identification [33,34,35,36,37].
Table 3. Summary of the distinctive FTIR wavenumbers associated with polymer identification [33,34,35,36,37].
Wavenumber [cm-1] Assignment ABS PC PET PLA PP PS
694 Out-of-plane mono-substitution
750 Out-of-plane mono-substitution
723 Benzine ring vibration
827 C-H deformation
846 CH2 rocking
871 Benzine ring vibration
912 C-H deformation in the butadiene phase
964 C-H deformation in the butadiene phase
1012 O-C-O simultaneous stretching
1017 Benzine ring vibration
1080 C-C-C bending
1080 C-O bond stretching
1095 Ester group stretching
1241 Ester group stretching
1340 CH2 wagging
1361 Symmetric bending of CH3 group
1375 Umbrella vibration of CH3 group
1408 Aromatic skeletal stretching
1452 Scissoring of CH2 group
1452 Asymmetric bending of CH3 group
1455 Symmetric in-plane vibration of C-H(CH3)
1493 Benzine ring vibration
1494 Aromatic styrene ring vibration
1504 C-C ring stretching
1600 Benzine ring vibration
1602 Aromatic styrene ring vibration
1710 C=O stretching
1749 C=O stretching
1768 C=O stretching
2239 Acrylonitrile C≡N bond
2838 Symmetric stretching of CH2 group
2868 Symmetric stretching of CH3 group
2916 Asymmetric stretching of CH2 group
2947 Symmetric stretching of CH3 group
2950 Asymmetric stretching of CH3 group
2968 Asymmetric C-H group stretching
3000 Asymmetric stretching of CH3 group
Disclaimer/Publisher’s Note: The statements, opinions and data contained in all publications are solely those of the individual author(s) and contributor(s) and not of MDPI and/or the editor(s). MDPI and/or the editor(s) disclaim responsibility for any injury to people or property resulting from any ideas, methods, instructions or products referred to in the content.
Copyright: This open access article is published under a Creative Commons CC BY 4.0 license, which permit the free download, distribution, and reuse, provided that the author and preprint are cited in any reuse.
Prerpints.org logo

Preprints.org is a free preprint server supported by MDPI in Basel, Switzerland.

Subscribe

Disclaimer

Terms of Use

Privacy Policy

Privacy Settings

© 2025 MDPI (Basel, Switzerland) unless otherwise stated