Submitted:
26 June 2024
Posted:
29 June 2024
Read the latest preprint version here
Abstract
Keywords:
Introduction
- Can the AI system accurately detect elephants, especially at night, when animals tend to move towards villages and during the day on trails used by humans?
- Can real-time alerts of elephant activity on these paths assist local forest staff to safely track elephants?
- Can event-triggered rapid response by the field personnel contribute to reduction in loss of human life and injuries and otherwise minimizing human-elephant interactions?
- How do local stakeholders perceive the rapid-response system and does effective implementation elicit in them the willingness to coexist with elephants?
Method
Collaborators and Study Area
Use of AI to Detect Elephants in Multi-Use Landscapes
Integration of AI-Based Real-Time Alerts with Rapid Response Protocols
Area of Effective Surveillance and Response (AESR)
Establishing Baselines for Reduction of HEC-Related Human Casualties
Assessment of Various Stakeholders
Comparative Costs of Mitigation
Results
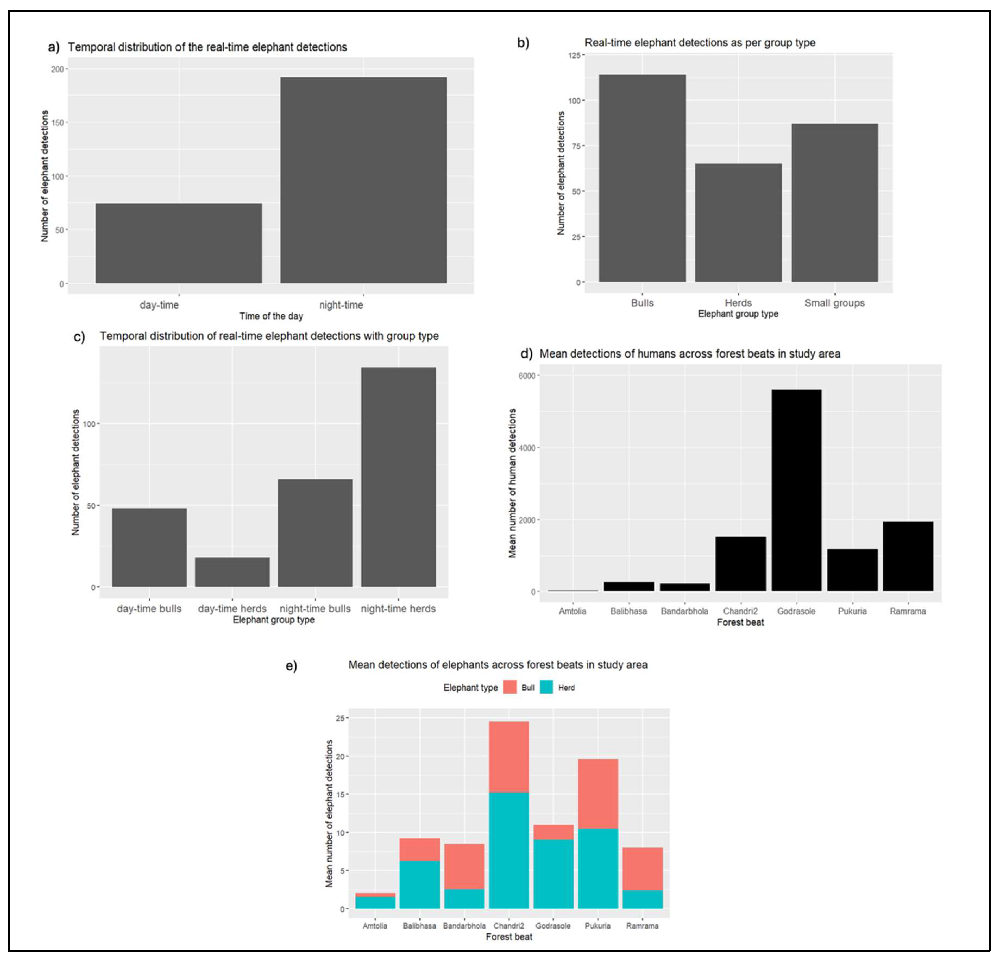
Effective Detection of Elephants in Multi-Use Landscapes



Integration of AI-Based Real-Time Alerts into Existing Protocols to Facilitate Rapid Response
Effect of the Technology on Reduction in Loss of Human Life and Injuries
Re-Identification and Comparative Costs of Mitigation
Discussion
The Role of AI-Based, Real-time Alerts, and Rapid Response in Reducing Human-Elephant Conflict
The role of India’s Wildlife Landscapes for Testing New Technologies to Prevent HWC
Coexistence as a Prerequisite for Rewilding
Acknowledgments
Authors’ Biographical Information
References
- Anoop, N. R., Krishnan, S., & Ganesh, T. (2023). Elephants in the farm–changing temporal and seasonal patterns of human-elephant interactions in a forest-agriculture matrix in the Western Ghats, India. Frontiers in Conservation Science, 4, 1142325.
- Badola, R., Ahmed, T., Gill, A. K., Dobriyal, P., Das, G. C., Badola, S., & Hussain, S. A. (2021). An incentive-based mitigation strategy to encourage coexistence of large mammals and humans along the foothills of Indian Western Himalayas. Scientific Reports, 11(1), 5235.
- Banerjee, S., & Aiyadurai, A. (2022). ‘Everyday conservation’: a study of actors and processes in an elephant conservation project in Assam, India. Human Dimensions of Wildlife, 27(6), 536-553.
- Blackwell, B.F., DeVault, T.L., Fernandez-Juricic, E., Gese, E.M., Gilbert-Norton, L., Breck, S.W., (2016). No single solution: application of behavioural principles in mitigating human–wildlife conflict. Anim. Behav. 120, 245–254. [CrossRef]
- Chandramouli, C., & General, R. (2011). Census of india 2011. Provisional Population Totals. New Delhi: Government of India, 409-413.
- Chen, P., Gao, Y., Lee, A. T., Cering, L., Shi, K., & Clark, S. G. (2016). Human–carnivore coexistence in Qomolangma (Mt. Everest) nature reserve, China: patterns and compensation. Biological Conservation, 197, 18-26.Choubey, A.K. (2023). Response to unstarred question no. 06 in Lok Sabha. Ministry of Environment, Forest & Climate Change, Government of India.
- DeMotts, R., & Hoon, P. (2012). Whose elephants? Conserving, compensating, and competing in northern Botswana. Society & Natural Resources, 25(9), 837-851.
- Denninger-Snyder, K., Mneney, P., Benjamin, B., Mkilindi, P., Mbise, N., 2019. Seasonal and spatial vulnerability to agricultural damage by elephants in the western Serengeti, Tanzania. Oryx 1–11. [CrossRef]
- Dertien, J.S., Negi, H., Dinerstein, E., Krishnamurthy, R., Negi, H.S., Gopal, R., Gulick, S., Pathak, S.K., Kapoor, M., Yadav, P. and Benitez, M., (2023). Mitigating human–wildlife conflict and monitoring endangered tigers using a real-time camera-based alert system. BioScience, 73(10), pp.748-757.
- Dinerstein, E., Varma, K., Wikramanayake, E., Powell, G., Lumpkin, S., Naidoo, R., Korchinsky, M., Del Valle, C., Lohani, S., Seidensticker, J. and Joldersma, D. (2013). Enhancing conservation, ecosystem services, and local livelihoods through a wildlife premium mechanism. Conservation Biology, 27(1), pp.14-23.
- Fernando, P., Kumar, M. A., Williams, A. C., Wikramanayake, E., Aziz, T., & Singh, S. M. (2008). Review of human-elephant conflict mitigation measures practiced in South Asia (pp. 19-20). Gland, Switzerland: WWF. W: Gland, Switzerland.
- Goodyear, S. E. (2015). Habituation to auditory stimuli by captive African elephants (Loxodonta africana).
- Goswami, V. R., Vasudev, D., & Oli, M. K. (2014). The importance of conflict-induced mortality for conservation planning in areas of human–elephant co-occurrence. Biological Conservation, 176, 191-198.
- Goswami, V. R., & Vasudev, D. (2017). Triage of conservation needs: the juxtaposition of conflict mitigation and connectivity considerations in heterogeneous, human-dominated landscapes. Frontiers in Ecology and Evolution, 4, 144.
- Graham, M. D., Douglas-Hamilton, I., Adams, W. M., & Lee, P. C. (2009). The movement of African elephants in a human-dominated land-use mosaic. Animal conservation, 12(5), 445-455.
- Gross, E. M., Lahkar, B. P., Subedi, N., Nyirenda, V. R., Klebelsberg, E., & Jakoby, O. (2021). Elephants in the village: Causes and consequences of property damage in Asia and Africa. Conservation Science and Practice, 3(2), e343.
- Gross, E. M., Pereira, J. G., Shaba, T., Bilério, S., Kumchedwa, B., & Lienenlüke, S. (2022). Exploring routes to coexistence: developing and testing a human–elephant conflict-management framework for African elephant-range countries. Diversity, 14(7), 525.
- Guarnieri, M., Kumaishi, G., Brock, C., Chatterjee, M., Fabiano, E., Katrak-Adefowora, R., Larsen, A., Lockmann, T.M. and Roehrdanz, P.R. (2024). Effects of climate, land use, and human population change on human–elephant conflict risk in Africa and Asia. Proceedings of the National Academy of Sciences, 121(6), p.e2312569121.
- Gubbi, S. (2012). Patterns and correlates of human–elephant conflict around a south Indian reserve. Biological Conservation, 148(1), 88-95.
- Gubbi, S., Swaminath, M. H., Poornesha, H. C., Bhat, R., & Raghunath, R. (2014). An elephantine challenge: human–elephant conflict distribution in the largest Asian elephant population, southern India. Biodiversity and conservation, 23, 633-647.
- Guru, B. K., & Das, A. (2021). Cost of human-elephant conflict and perceptions of compensation: evidence from Odisha, India. Journal of Environmental Planning and Management, 64(10), 1770-1794.
- Hahn, N.R., Wall, J., Denninger-Snyder, K., Goss, M., Sairowua, W., Mbise, N., Estes, A.B., Ndambuki, S., Mjingo, E.E., Douglas-Hamiliton, I. and Wittemyer, G., (2022). Risk perception and tolerance shape variation in agricultural use for a transboundary elephant population. Journal of Animal Ecology, 91(1), pp.112-123.
- Hati Bondhu. (n.d.). The Elephant Habitat Enrichment Program. https://hatibondhu.org.
- Huang, R. M., Maré, C., Guldemond, R. A., Pimm, S. L., & Van Aarde, R. J. (2024). Protecting and connecting landscapes stabilizes populations of the Endangered savannah elephant. Science Advances, 10(1), eadk2896.
- Jadhav, S., & Barua, M. (2012). The Elephant Vanishes: Impact of human–elephant conflict on people's wellbeing. Health & place, 18(6), 1356-1365.
- Kamdar, A., Baishya, H. K., Nagendra, H., Ratnam, J., Smith, D., & Sekar, N. (2022). Human–elephant conflict mitigation as a public good: what determines fence maintenance? Ecology and Society, 27(3).
- King, L. E., Lala, F., Nzumu, H., Mwambingu, E., & Douglas-Hamilton, I. (2017). Beehive fences as a multidimensional conflict-mitigation tool for farmers coexisting with elephants. Conservation Biology, 31(4), 743-752.
- Matsuura, N., Nomoto, M., Terada, S., Yobo, C. M., Memiaghe, H. R., & Moussavou, G. M. (2024). Human-elephant conflict in the African rainforest landscape: crop-raiding situations and damage mitigation strategies in rural Gabon. Frontiers in Conservation Science, 5, 1356174.
- Mayberry, A. L., Hovorka, A. J., & Evans, K. E. (2017). Well-being impacts of human-elephant conflict in Khumaga, Botswana: exploring visible and hidden dimensions. Conservation and Society, 15(3), 280-291.
- Mekonen, S. (2020). Coexistence between human and wildlife: the nature, causes and mitigations of human wildlife conflict around Bale Mountains National Park, Southeast Ethiopia. BMC ecology, 20(1), 51.
- Ministry of Environment, Forest & Climate Change: Project Tiger & Elephant Division, Government of India (2023, September 4). Proceedings of the 19th Project Elephant Steering Committee Meeting held on 12th August 2023 at Bhubaneshwar, Odisha. https://moef.gov.in/wp-content/uploads/2023/11/PE-Proceeding-19th-Steering-Committee-of-Project-Elephant.pdf.
- Naha, D., Sathyakumar, S., Dash, S., Chettri, A., & Rawat, G. S. (2019). Assessment and prediction of spatial patterns of human-elephant conflicts in changing land cover scenarios of a human-dominated landscape in North Bengal. PloS one, 14(2), e0210580.
- Natarajan, L., Nigam, P., & Pandav, B. (2023). Impacts of passive elephant rewilding: assessment of human fatalities in India. Environmental Conservation, 50(3), 186-191.
- Nayak, M., & Swain, P. K. (2022). From fear to festivity: Multi-stakeholder perspectives on human-elephant conflict and coexistence in India. Journal of Public Affairs, 22(2), e2496.
- Nelson, A., Bidwell, P., & Sillero-Zubiri, C. (2003). A review of human-elephant conflict management strategies. People & Wildlife, A Wildlife Conservation Research Unit, Born Free Foundation Partnership.
- Neupane, B., Budhathoki, S., & Khatiwoda, B. (2018). Human-elephant conflict and mitigation measures in Jhapa District, Nepal. Journal of Forest and Livelihood, 16(1), 103-112.
- Pandey, R. K., Yadav, S. P., Selvan, K. M., Natarajan, L., & Nigam, P. (2024). Elephant conservation in India: Striking a balance between coexistence and conflicts. Integrative Conservation.
- Project Elephant, Government of India. (2020) Status and distribution of elephants in India. New Delhi, India: Ministry of Environment, Forest, and Climate Change, Government of India.
- Qureshi, Q., Jhala, Y. V., Yadav, S. P., & Mallick, A. (eds) (2023). Status of tigers, co-predators and prey in India, (2022). National Tiger Conservation Authority, Government of India, New Delhi, and Wildlife Institute of India, Dehradun.
- R Core Team (2023). R: A language and environment for statistical computing. R Foundation for Statistical Computing, Vienna, Austria. URL https://www.R-project.org/.
- Ram, A.K., Yadav, N.K., Subedi, N., Pandav, B., Mondol, S., Khanal, B., Kharal, D.K., Acharya, H.B., Dhakal, B.K., Acharya, K.P. and Baral, H.S. (2022). Landscape predictors of human elephant conflicts in Chure Terai Madhesh Landscape of Nepal. Environmental Challenges, 7, p.100458.
- Sampson, C., McEvoy, J., Oo, Z.M., Chit, A.M., Chan, A.N., Tonkyn, D., Soe, P., Songer, M., Williams, A.C., Reisinger, K. and Wittemyer, G. (2018). New elephant crisis in Asia—Early warning signs from Myanmar. PLoS One, 13(3), p.e0194113.
- Schaffer, L.J., Khadka, K.K., Van Den Hoek, J., Naithani, K.J., (2019). Human-Elephant Conflict: A Review of Current Management Strategies and Future Directions. Front. Ecol. Evol. 6, 235. [CrossRef]
- Singh, A., Kumara, H. N., Mahato, S., & Velankar, A. D. (2023). Anthropogenic driven range expansion of Asian elephant Elephas maximus in an agricultural landscape and its consequences in South West Bengal, India. Journal for Nature Conservation, 73, 126374.
- Srinivasaiah, N. M., Anand, V. D., Vaidyanathan, S. & Sinha, A. (2012). Usual populations, unusual individuals: Insights into the behavior and management of Asian elephants in fragmented landscapes. PLoS ONE 7, e42571.
- Terada, S., Yobo, C. M., Moussavou, G. M., & Matsuura, N. (2021). Human-elephant conflict around Moukalaba-Doudou National Park in Gabon: Socioeconomic changes and effects of conservation projects on local tolerance. Tropical Conservation Science, 14, 19400829211026775.
- Thomas, W. (2024). “Trial run of AI-based early warning system near Coimbatore proves promising as field staff save elephants”, The Hindu, 7 January, 2024.
- Vasudev, D., Fletcher Jr, R. J., Srinivas, N., Marx, A. J., & Goswami, V. R. (2023). Mapping the connectivity–conflict interface to inform conservation. Proceedings of the National Academy of Sciences, 120(1), e2211482119.
- Wakoli, E. N., & Sitati, N. (2012). Analysis of temporal and distribution patterns of elephant attacks on humans and elephant mortality in Transmara District, Kenya. Greener Journal of Environment Management and Public Safety, 1(1), 27-37.
- Williams, C., Tiwari, S.K., Goswami, V.R., De Silva, S., Kumar, A., Baskaran, N., Yoganand, K. and Menon, V. (2020). Elephas maximus. The IUCN red list of threatened species 2020: e. T7140A45818198. Retrieved, 12, p.2021.
- Wikramanayake, E., Dinerstein, E., Seidensticker, J., Lumpkin, S., Pandav, B., Shrestha, M., Mishra, H., Ballou, J., Johnsingh, A.J.T., Chestin, I. and Sunarto, S., (2011). A landscape-based conservation strategy to double the wild tiger population. Conservation Letters, 4(3), pp.219-227.
- Woodroffe, R., Thirgood, S., Rabinowitz, A., 2005. People and Wildlife, Conflict or Co-existence? Cambridge University Press, Cambridge. [CrossRef]
- Zimmermann, A., Davies, T. E., Hazarika, N., Wilson, S., Chakrabarty, J., Hazarika, B., & Das, D. (2009). Community-based human-elephant conflict management in Assam. Gajah, 30, 34-40.




Disclaimer/Publisher’s Note: The statements, opinions and data contained in all publications are solely those of the individual author(s) and contributor(s) and not of MDPI and/or the editor(s). MDPI and/or the editor(s) disclaim responsibility for any injury to people or property resulting from any ideas, methods, instructions or products referred to in the content. |
© 2024 by the authors. Licensee MDPI, Basel, Switzerland. This article is an open access article distributed under the terms and conditions of the Creative Commons Attribution (CC BY) license (http://creativecommons.org/licenses/by/4.0/).