Submitted:
19 June 2024
Posted:
20 June 2024
You are already at the latest version
Abstract
Keywords:
1. Introduction
2. Materials and Methods
2.1. Preparation of Magnetodielectric Materials
- SO, from Silicone Comerciale SpA (Italia), with a mass density of g/cm and dynamic viscosity mPa·s at K.
- The iron oxide microfibers (mFe) are obtained in microwave microplasma, following a procedure described in Ref. [29]. They contain oxides of the type (12 % by mass), (62 % by mass), and (26 % by mass). The mass density of the microfibers is at and they exhibit a specific saturation magnetization, A·m/kg, at a magnetic field intensity, . A structural analysis of these microfibers based on SEM, is presented in Appendix A. The average diameter of the nano-microparticles in the microfibers is (see Figure A1).
2.2. Manufacturing Cylindrical Electrical Capacitors
2.3. Experimental Setup and Measurement Protocol
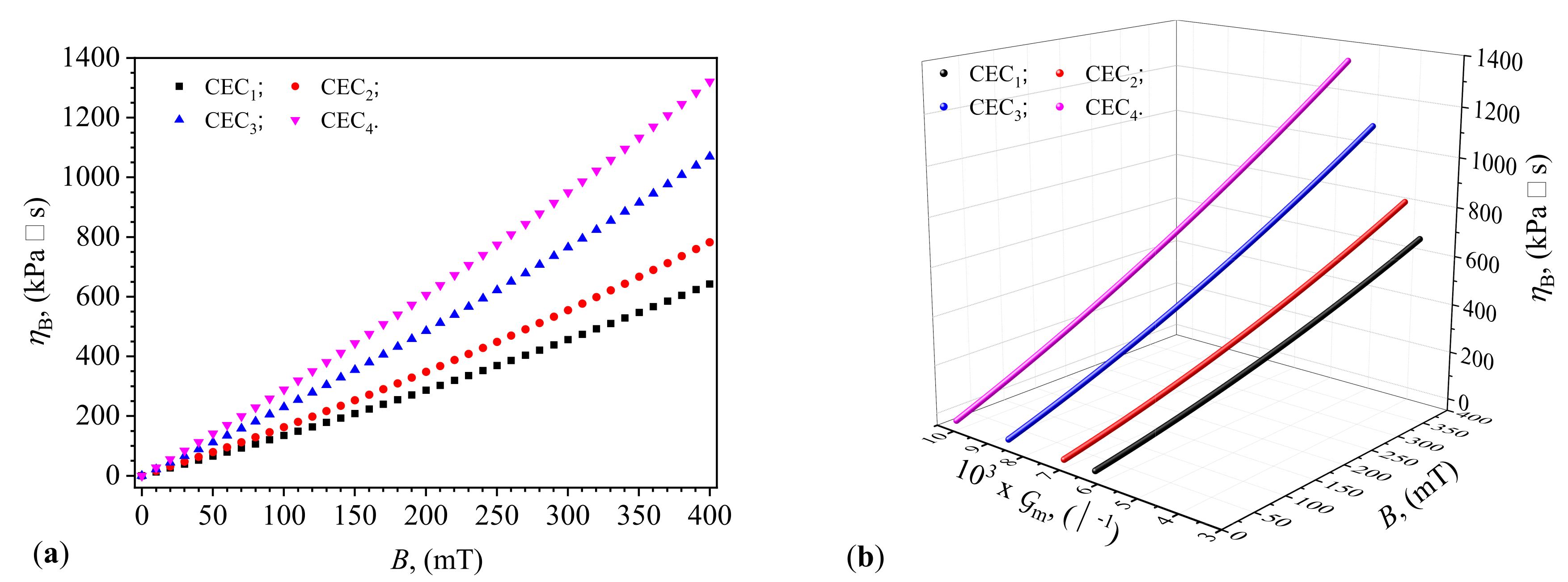
3. Results
4. Discussions
5. Conclusions
Author Contributions
Funding
Institutional Review Board Statement
Informed Consent Statement
Data Availability Statement
Conflicts of Interest
Appendix A. Morphology of Iron Oxide Microfibers

Appendix B. Variation with Time of Capacitance and Resistance


Appendix C. Arrangement of Microfibers without and with an External Magnetic Field

Appendix D. Equation of Motion of Microfiber’s Microparticles in a Uiform Magnetic Field

Appendix E. Electrical Capacitance and Resistance of CECs
Appendix F. Susceptance and Conductance of CECs
References
- Ariyarathna, T.; Kularatna, N.; Gunawardane, K.; Jayananda, D.; Steyn-Ross, D.A. Development of Supercapacitor Technology and Its Potential Impact on New Power Converter Techniques for Renewable Energy. IEEE J. Emerg. Sel. Topics Ind. Electr. 2021, 2, 267–276. [Google Scholar] [CrossRef]
- Subasinghage, K.; Gunawardane, K.; Padmawansa, N.; Kularatna, N.; Moradian, M. Modern Supercapacitors Technologies and Their Applicability in Mature Electrical Engineering Applications. Energies 2022, 15. [Google Scholar] [CrossRef]
- Laadjal, K.; Cardoso, A.J.M. Multilayer Ceramic Capacitors: An Overview of Failure Mechanisms, Perspectives, and Challenges. Electronics 2023, 12. [Google Scholar] [CrossRef]
- Abid, D.; Mjejri, I.; Oueslati, A.; Guionneau, P.; Pechev, S.; Daro, N.; Elaoud, Z. A Nickel-Based Semiconductor Hybrid Material with Significant Dielectric Constant for Electronic Capacitors. ACS Omega 2024, 9, 12743–12752. [Google Scholar] [CrossRef] [PubMed]
- Chaban, V.V.; Andreeva, N.A. Higher hydrogen fractions in dielectric polymers boost self-healing in electrical capacitors. Phys. Chem. Chem. Phys. 2024, 26, 3184–3196. [Google Scholar] [CrossRef] [PubMed]
- Yadlapalli, R.T.; Alla, R.R.; Kandipati, R.; Kotapati, A. Super capacitors for energy storage: Progress, applications and challenges. J. Energy Storage 2022, 49, 104194. [Google Scholar] [CrossRef]
- Torki, J.; Joubert, C.; Sari, A. Electrolytic capacitor: Properties and operation. J. Energy Storage 2023, 58, 106330. [Google Scholar] [CrossRef]
- He, Q.; Sun, K.; Shi, Z.; Liu, Y.; Fan, R. Polymer dielectrics for capacitive energy storage: From theories, materials to industrial capacitors. Mater. Today 2023, 68, 298–333. [Google Scholar] [CrossRef]
- Wang, C.; Ali, L.; Meng, F.Y.; Adhikari, K.K.; Zhou, Z.L.; Wei, Y.C.; Zou, D.Q.; Yu, H. High-Accuracy Complex Permittivity Characterization of Solid Materials Using Parallel Interdigital Capacitor- Based Planar Microwave Sensor. IEEE Sens. J. 2021, 21, 6083–6093. [Google Scholar] [CrossRef]
- Sun, Z.; Wen, X.; Wang, L.; Yu, J.; Qin, X. Capacitor-inspired high-performance and durable moist-electric generator. Energy Environ. Sci. 2022, 15, 4584–4591. [Google Scholar] [CrossRef]
- Ma, Z.; Zhang, Y.; Zhang, K.; Deng, H.; Fu, Q. Recent progress in flexible capacitive sensors: Structures and properties. Nano Mater. Sci. 2023, 5, 265–277. [Google Scholar] [CrossRef]
- Zhou, B.; Dong, Y.; Chi, Q.; Zhang, Y.; Chang, L.; Gong, M.; Huang, J.; Pan, Y.; Wang, X. Fe-based amorphous soft magnetic composites with SiO2 insulation coatings: A study on coatings thickness, microstructure and magnetic properties. Ceram. Int. 2020, 46, 13449–13459. [Google Scholar] [CrossRef]
- Pawar, S.G.; Pradnyakar, N.V.; Modak, J.P. Piezoelectric transducer as a renewable energy source: A review. J. Phys.: Conf. Ser. 2021, 1913, 012042. [Google Scholar] [CrossRef]
- Gemelli, A.; Tambussi, M.; Fusetto, S.; Aprile, A.; Moisello, E.; Bonizzoni, E.; Malcovati, P. Recent Trends in Structures and Interfaces of MEMS Transducers for Audio Applications: A Review. Micromachines 2023, 14. [Google Scholar] [CrossRef]
- Zhang, T.; Sun, H.; Yin, C.; Jung, Y.H.; Min, S.; Zhang, Y.; Zhang, C.; Chen, Q.; Lee, K.J.; Chi, Q. Recent progress in polymer dielectric energy storage: From film fabrication and modification to capacitor performance and application. Progr. Mater. Sci. 2023, 140, 101207. [Google Scholar] [CrossRef]
- Huang, S.; Liu, K.; Zhang, W.; Xie, B.; Dou, Z.; Yan, Z.; Tan, H.; Samart, C.; Kongparakul, S.; Takesue, N.; et al. All-Organic Polymer Dielectric Materials for Advanced Dielectric Capacitors: Theory, Property, Modified Design and Future Prospects. Polym. Rev. 2023, 63, 515–573. [Google Scholar] [CrossRef]
- Adekunle, A.A.; Oparanti, S.O.; Fofana, I. Performance Assessment of Cellulose Paper Impregnated in Nanofluid for Power Transformer Insulation Application: A Review. Energies 2023, 16. [Google Scholar] [CrossRef]
- Khan, S.A.; Tariq, M.; Khan, A.A.; Alamri, B. Effect of Iron/Titania-Based Nanomaterials on the Dielectric Properties of Mineral Oil, Natural and Synthetic Esters as Transformers Insulating Fluid. IEEE Access 2021, 9, 168971–168980. [Google Scholar] [CrossRef]
- Yao, K.; Chen, S.; Rahimabady, M.; Mirshekarloo, M.S.; Yu, S.; Tay, F.E.H.; Sritharan, T.; Lu, L. Nonlinear dielectric thin films for high-power electric storage with energy density comparable with electrochemical supercapacitors. IEEE Trans. Ultrason. Ferroelectr. Freq. 2011, 58, 1968–1974. [Google Scholar] [CrossRef]
- Bird, J. Electrical Circuit Theory and Technology, 6th ed.; Routledge, London, 2017. [CrossRef]
- Huang, J.; Sumpter, Bobby, G.; Meunier, V. A Universal Model for Nanoporous Carbon Supercapacitors Applicable to Diverse Pore Regimes, Carbon Materials, and Electrolytes. Chem. Eur. J. 2008, 14, 6614–6626. [CrossRef] [PubMed]
- Yu, Y.; Li, C.; Wang, H.; Chen, J.; Zhu, X.; Ying, Z.; Song, Y. High-specific-capacitance electrolytic capacitors based on anodic TiO2 nanotube arrays. Electrochim. Acta 2022, 429, 140974. [Google Scholar] [CrossRef]
- Liu, S.; Wei, L.; Wang, H. Review on reliability of supercapacitors in energy storage applications. Appl. Energy 2020, 278, 115436. [Google Scholar] [CrossRef]
- Andrei, O.E.; Bica, I. Some mechanisms concerning the electrical conductivity of magnetorheological suspensions in magnetic field. J. Ind. Eng. Chem. 2009, 15, 573–577. [Google Scholar] [CrossRef]
- Bica, I.; Anitas, E. Magnetic field intensity effect on electrical conductivity of magnetorheological biosuspensions based on honey, turmeric and carbonyl iron. J. Ind. Eng. Chem. 2018, 64, 276–283. [Google Scholar] [CrossRef]
- Bica, I.; Anitas, E. Magnetodielectric effects in membranes based on magnetorheological bio-suspensions. Mater. & Des. 2018, 155, 317–324. [Google Scholar] [CrossRef]
- Bica, I.; Anitas, E.M.; Chirigiu, L. Hybrid Magnetorheological Composites for Electric and Magnetic Field Sensors and Transducers. Nanomaterials 2020, 10. [Google Scholar] [CrossRef] [PubMed]
- Iacobescu, G.E.; Bunoiu, M.; Bica, I.; Sfirloaga, P.; Chirigiu, L.M.E. A Cotton Fabric Composite with Light Mineral Oil and Magnetite Nanoparticles: Effects of a Magnetic Field and Uniform Compressions on Electrical Conductivity. Micromachines 2023, 14. [Google Scholar] [CrossRef]
- Bica, I.; Anitas, E.M.; Choi, H.J.; Sfirloaga, P. Microwave-assisted synthesis and characterization of iron oxide microfibers. J. Mater. Chem. C 2020, 8, 6159–6167. [Google Scholar] [CrossRef]
- Genç, S. Synthesis and Properties of Magnetorheological (MR) fluids. Phd thesis, University of Pittsburg, Pittsburg, 2002. Available online: http://d-scholarship.pitt.edu/8924/1/genc12-20.pdf.
- Baabu, P.R.S.; Kumar, H.K.; Gumpu, M.B.; Babu K, J.; Kulandaisamy, A.J.; Rayappan, J.B.B. Iron Oxide Nanoparticles: A Review on the Province of Its Compounds, Properties and Biological Applications. Materials 2023, 16. [Google Scholar] [CrossRef] [PubMed]
- Meijer, J.M.; Rossi, L. Preparation, properties, and applications of magnetic hematite microparticles. Soft Matter 2021, 17, 2354–2368. [Google Scholar] [CrossRef]
- Malasi, A.; Taz, H.; Farah, A.; Patel, M.; Lawrie, B.; Pooser, R.; Baddorf, A.; Duscher, G.; Kalyanaraman, R. Novel Iron-based ternary amorphous oxide semiconductor with very high transparency, electronic conductivity and mobility. Sci. Rep. 2015, 5, 18157. [Google Scholar] [CrossRef] [PubMed]
- Pal, R. Recent Progress in the Viscosity Modeling of Concentrated Suspensions of Unimodal Hard Spheres. ChemEngineering 2023, 7, 70. [Google Scholar] [CrossRef]
- Batchelor, G.K. The effect of Brownian motion on the bulk stress in a suspension of spherical particles. J. Fluid Mech. 1977, 83, 97–117. [Google Scholar] [CrossRef]
- Felicia, L.J.; John, R.; Philip, J. Rheological Properties of Magnetorheological Fluid with Silica Nanoparticles StabilizersA Comparison with Ferrofluid. J. Nanofluids 2013, 2, 75–84. [Google Scholar] [CrossRef]
- Chauhan, Vinod.; Kumar, Ashwani.; Sham, Radhey. Magnetorheological fluids: A comprehensive review. Manufacturing Rev. 2024, 11, 6. [CrossRef]
- Bica, I.; Anitas, E.M.; Averis, L.M.E.; Kwon, S.H.; Choi, H.J. Magnetostrictive and viscoelastic characteristics of polyurethane-based magnetorheological elastomer. J. Ind. Eng. Chem. 2019, 73, 128–133. [Google Scholar] [CrossRef]
- Wu, M.; Xiong, Y.; Jia, Y.; Niu, H.; Qi, H.; Ye, J.; Chen, Q. Magnetic field-assisted hydrothermal growth of chain-like nanostructure of magnetite. Chem. Phys. Lett. 2005, 401, 374–379. [Google Scholar] [CrossRef]
- Zhang, X.; Lu, W.; Zhou, G.; Li, Q. Understanding the Mechanical and Conductive Properties of Carbon Nanotube Fibers for Smart Electronics. Adv. Mater. 2020, 32, 1902028. [Google Scholar] [CrossRef] [PubMed]








| mFe, (cm) | mFe, (g) | SO, (cm) | SO, (g) | , (vol.%) | , (wt.%) | , (A·m/kg) | |
|---|---|---|---|---|---|---|---|
| CL | 0.20 | 0.575 | 1.80 | 1.75 | 10 | 24.8 | 2.27 |
| CL | 0.40 | 1.150 | 1.40 | 1.55 | 20 | 42.6 | 9.08 |
| CL | 0.60 | 1.725 | 1.60 | 1.36 | 30 | 56.0 | 13.62 |
| CL | 0.80 | 2.300 | 1.20 | 1.16 | 40 | 66.4 | 21.16 |
| , () | , (/mT) | , () | , (/mT) | |
|---|---|---|---|---|
| CEC | 2.070 ± 0.034 | 0.001 ± 1.409 · 10 | 6.049 ± 0.030 | 0.006 ± 1.188 · 10 |
| CEC | 2.733 ± 0.034 | 0.002 ± 1.412 · 10 | 6.867 ± 0.030 | 0.007 ± 1.166 · 10 |
| CEC | 4.016 ± 0.043 | 0.002 ± 1.785 · 10 | 6.388 ± 0.042 | 0.008 ± 1.757 · 10 |
| CEC | 5.273 ± 0.039 | 0.003 ± 1.617 · 10 | 9.901 ± 0.092 | 0.010 ± 3.849 · 10 |
Disclaimer/Publisher’s Note: The statements, opinions and data contained in all publications are solely those of the individual author(s) and contributor(s) and not of MDPI and/or the editor(s). MDPI and/or the editor(s) disclaim responsibility for any injury to people or property resulting from any ideas, methods, instructions or products referred to in the content. |
© 2024 by the authors. Licensee MDPI, Basel, Switzerland. This article is an open access article distributed under the terms and conditions of the Creative Commons Attribution (CC BY) license (http://creativecommons.org/licenses/by/4.0/).