Submitted:
05 June 2024
Posted:
06 June 2024
You are already at the latest version
Abstract
Keywords:
1. Introduction
2. Test of Perfect Symmetry and the Cressie-Read Family of Divergence Statistics
2.1. Notation
2.2. Testing Depatures from a Hypothesised
2.3. Testing Departures from Complete Independence
2.4. Testing for Departures from Perfect Symmetry
2.5. A Second Order Approximation
3. Correspondence Analysis & Perfect Symmetry
3.1. The Divergence Residual
3.2. Is the Matrix of Divergence Residuals Skew-Symmetric?
3.3. Singular Value Decomposition and the Divergence Residual
3.4. The Principal Inertia Values
3.5. Principal Coordinates
3.6. On the Total Inertia and the Origin
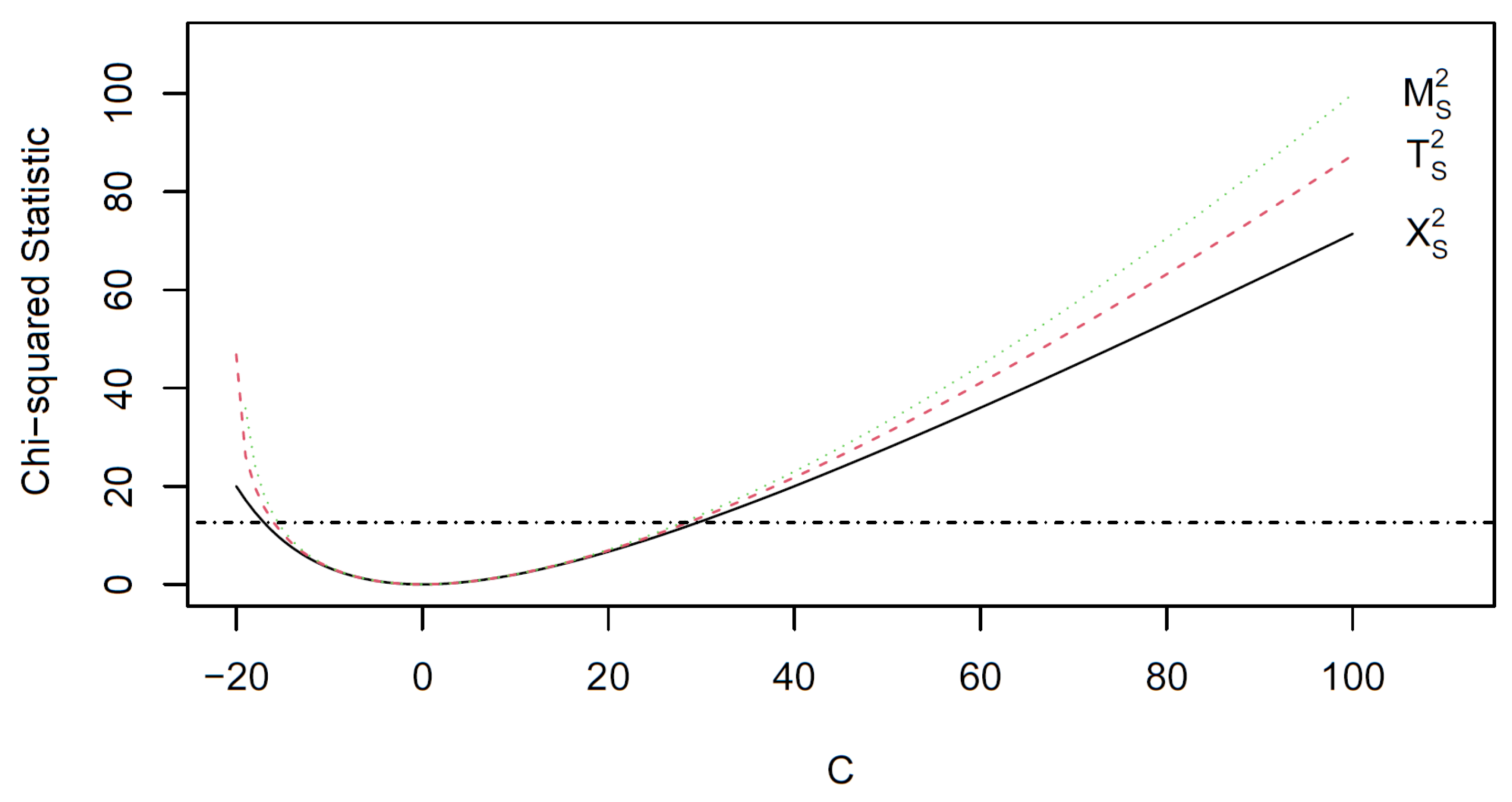
4. Example 1: Artificial Data
4.1. The Data
4.2. The Family of Divergence Statistics
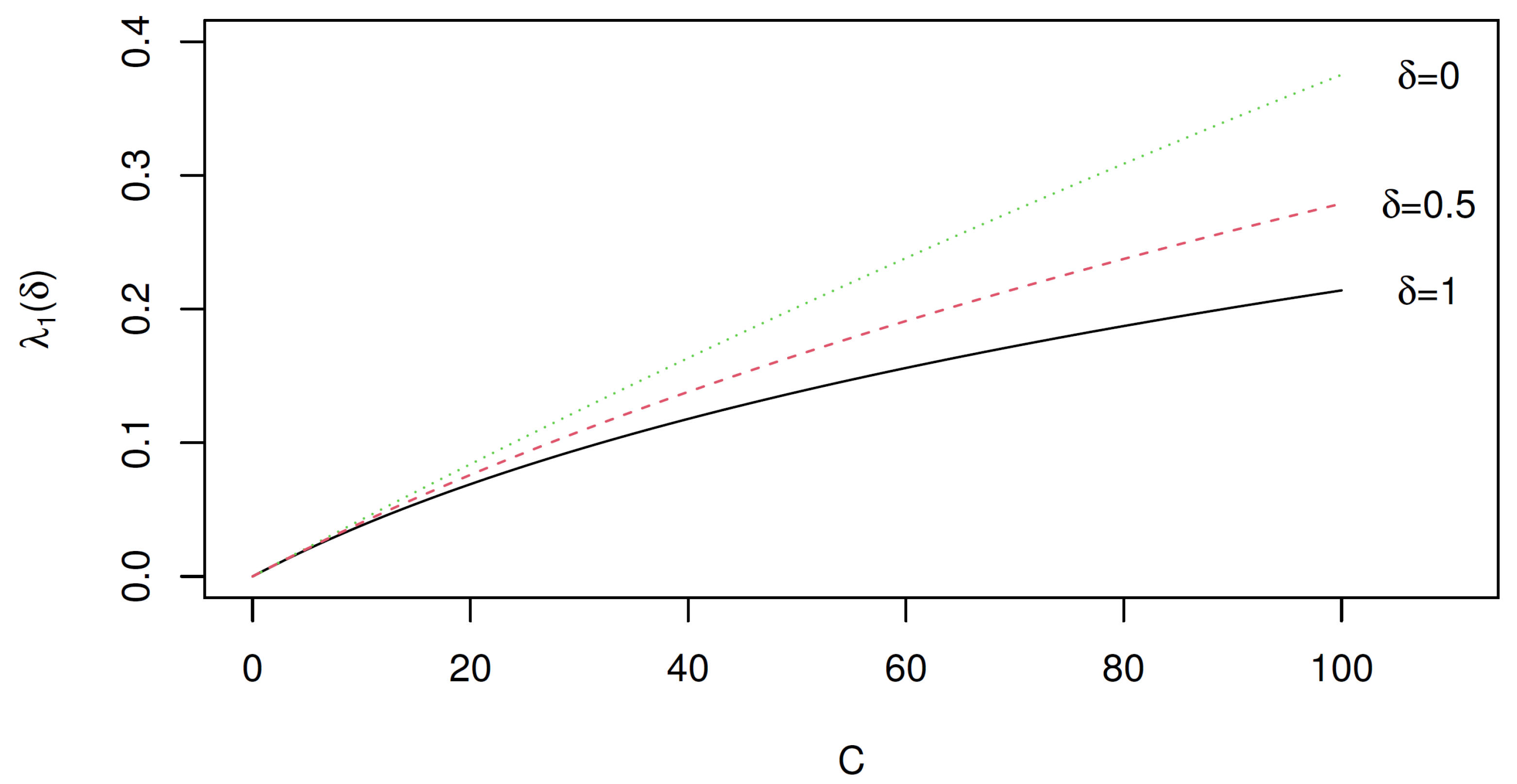
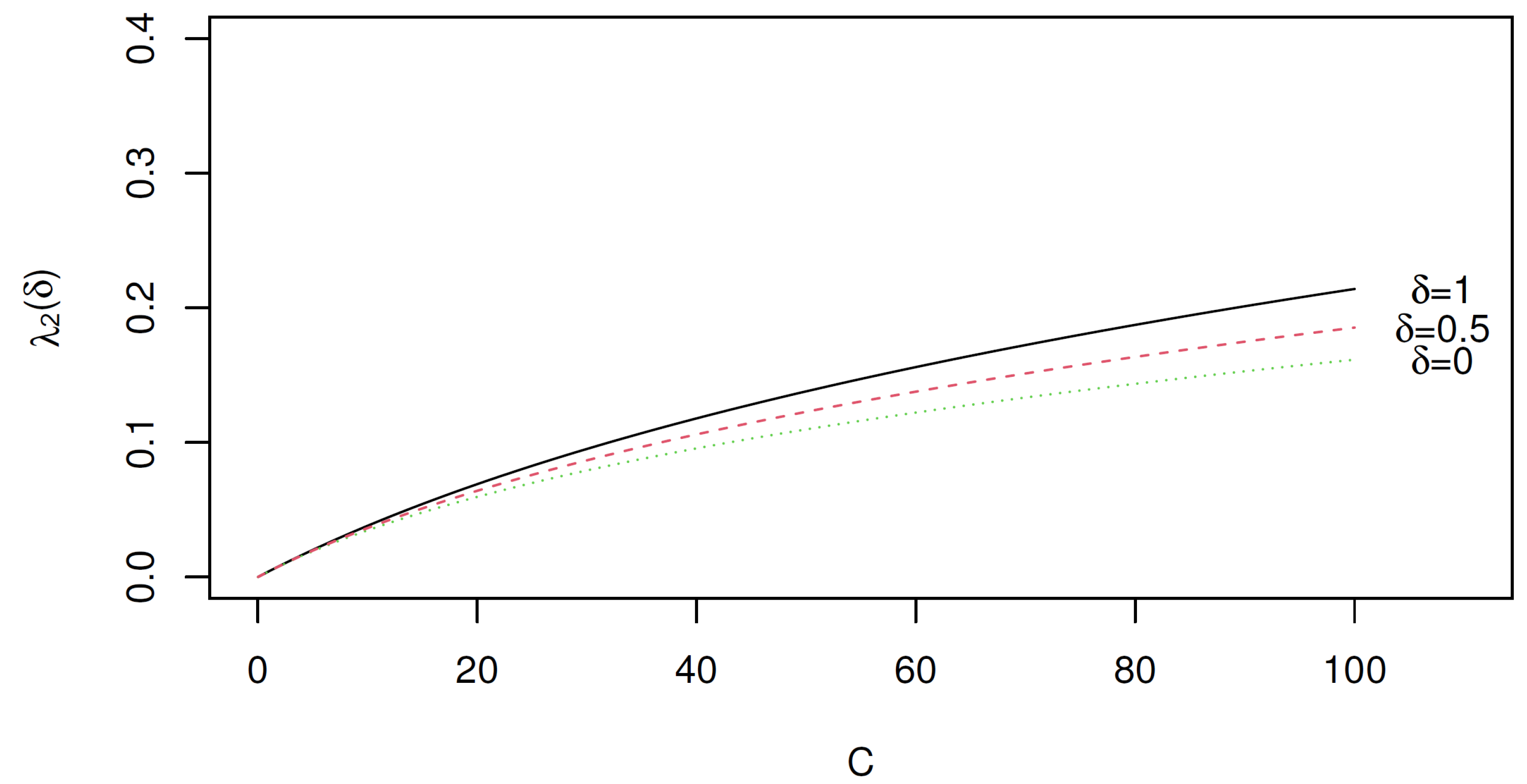
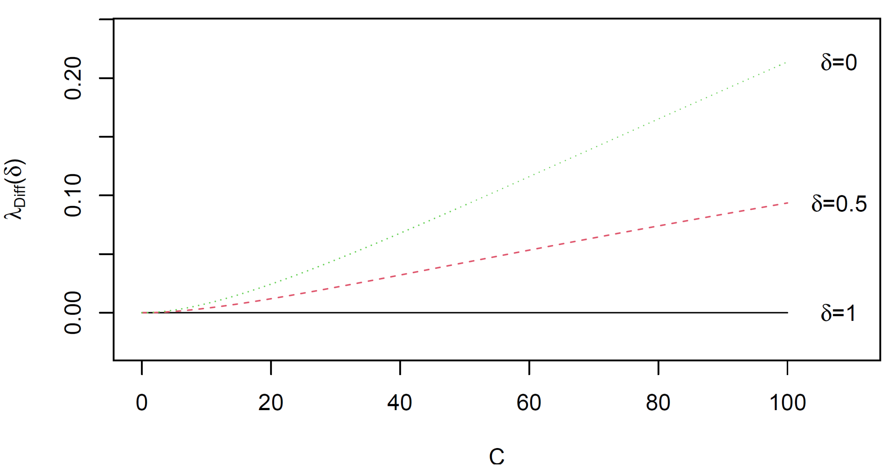
4.3. On the Departure from Perfect Symmetry
4.4. Features of Correspondence Analysis & Symmetry
4.4.1. The Matrix of Divergence Residuals
4.4.2. The Singular Values
4.4.3. Principal Coordinates
4.5. The Correspondence Plots
5. Example 2: Pre- and Post-Courtship Behaviour of Bitterlings
5.1. The Data
5.2. Test of the Departure from Perfect Symmetry
5.3. On the Divergence Residuals
5.4. Visualising the Departures from Perfect Symmetry
6. Discussion
Funding
Institutional Review Board Statement
Informed Consent Statement
Data Availability Statement
Conflicts of Interest
References
- Agresti, A. Categorical Data Analysis, 3rd ed.; Wiley: New York, NY, USA, 2013. [Google Scholar]
- Altun, G.; Saraçbaşi, T. Determination of model fitting with power-divergence-type measure of departure from symmetry for sparse and non-sparse contingency tables. Communications in Statistics – Simulation and Computation 2022, 51, 4087–4111. [Google Scholar] [CrossRef]
- Alzahrani, A.; Beh, E.J.; Stojanovski, E. Confidence regions for simple correspondence analysis using the Cressie-Read family of divergence statistics. Electronic Journal of Applied Statistical Analysis 2023, 16, 423–448. [Google Scholar]
- Anderson, E.B. The Statistical Analysis of Categorical Data; Springer: Berlin/Heidelberg, Germany, 1991. [Google Scholar]
- Ando, S.; Hoshi, H.; Ishii, A.; Tomizawa, S. A generalized two-dimensional index to measure the degree of deviation from double symmetry in square contingency tables. Symmetry 2021, 13, 2067, (10 pages). [Google Scholar] [CrossRef]
- Beh, E.J. Simple correspondence analysis: A bibliographic review. International Statistical Review 2004, 72, 257–284. [Google Scholar] [CrossRef]
- Beh, E.J. Elliptical confidence regions for simple correspondence analysis. Journal of Statistical Planning and Inference 2010, 140, 2582–2588. [Google Scholar] [CrossRef]
- Beh, E.J.; Lombardo, R. Correspondence Analysis: Theory, Practice and New Strategies; Wiley: Chichester, UK, 2014. [Google Scholar]
- Beh, E.J.; Lombardo, R. Confidence regions and approximate p-values for classical and non symmetric correspondence analysis. Communications in Statistics - Theory and Methods 2015, 44, 95–114. [Google Scholar] [CrossRef]
- Beh, E.J.; Lombardo, R. Visualising departures from symmetry and Bowker’s X2 statistic. Symmetry 2022, 14, 1103, (25 pages). [Google Scholar] [CrossRef]
- Beh, E.J.; Lombardo, R. Correspondence analysis and the Cressie-Read family of divergence statistics. International Statistical Review 2024, 92, 17–42. [Google Scholar] [CrossRef]
- Beh, E.J.; Lombardo, R.; Alberti, G. Correspondence analysis and the Freeman-Tukey statistic: A study of archaeological data. Computational Statistics and Data Analysis 2018, 128, 73–86. [Google Scholar] [CrossRef]
- Bishop. Y.M.; Fienberg, S.E.; Holland, P.W. Discrete Multivariate Analysis: Theory and Practice; MIT Press: Cambridge, MA, USA, 1975. [Google Scholar]
- Bove, G. Asymmetric multidimensional scaling and correspondence analysis for square tables. Statistica Applicata 1992, 4, 587–574. [Google Scholar]
- Bowker, A.H. A test for symmetry in contingency tables. Journal of the American Statistical Association 1948, 43, 572–598. [Google Scholar] [CrossRef] [PubMed]
- Constantine, A.G.; Gower, J.C. Graphical representation of asymmetry. Applied Statistics 1978, 27, 297–304. [Google Scholar] [CrossRef]
- Cressie, N.A.C.; Read, T.R.C. Multinomial goodness-of-fit tests. Journal of the Royal Statistical Society (Series B, Methodological) 1984, 46, 440–464. [Google Scholar] [CrossRef]
- Cuadras, C.M.; Cuadras, D. A parametric approach to correspondence analysis. Linear Algebra and its Applications 2006, 417, 64–74. [Google Scholar] [CrossRef]
- Cuadras, C.M.; Cuadras, D.; Greenacre, M.J. A comparison of different methods of representing categorical data. Communications in Statistics – Simulation and Computation 2006, 35, 447–459. [Google Scholar] [CrossRef]
- Freeman, M.F.; Tukey, J.W. Transformations related to the angular and square root. The Annals of Mathematical Statistics 1950, 21, 607–611. [Google Scholar] [CrossRef]
- Greenacre, M.J. Theory and Applications of Correspondence Analysis; Academic Press: London, UK, 1984. [Google Scholar]
- Greenacre, M. Correspondence analysis of square asymmetric matrices. Journal of the Royal Statistical Society (Series C, Applied Statistics) 2000, 49, 297–310. [Google Scholar] [CrossRef]
- Greenacre, M. Power transformations in correspondence analysis. Computational Statistics and Data Analysis 2009, 53, 3107–3116. [Google Scholar] [CrossRef]
- Greenacre, M. Log-ratio analysis is a limiting case of correspondence analysis. Mathematical Geosciences 2010, 42, 129–134. [Google Scholar] [CrossRef]
- Gower, J.C. The analysis of asymmetry and orthogonality. In Recent Developments in Statistics; Barra, J.R., Brodeau, F., Romer, G., van Cutsem, B., Eds.; North-Holland: Amsterdam, The Netherlands, 1977; pp. 109–123. [Google Scholar]
- Haberman, S.J. Analysis of Qualitative Data, Volume 2: New Developments; Academic Press: New York, 1979. [Google Scholar]
- Ireland, C.T.; Ku, H.H.; Kullback, S. Symmetry and marginal homogeneity of an r×r contingency table. Journal of the American Statistical Association 1969, 64, 1323–1341. [Google Scholar] [CrossRef]
- Lebart, L.; Morineau, A.; Warwick, K.M. Multivariate Descriptive Statistical Analysis: Correspondence Analysis and Related Techniques for Large Matrices; Wiley: New York, 1984. [Google Scholar]
- Neyman, J. Contributions to the theory of the χ2 test. In Proceedings of the Berkeley Symposium on Mathematical Statistics and Probability; Neyman, J. Ed.; Statistical Laboratory of the University of California, Berkeley, 1949; pp. 239 -– 273.
- Tomizawa, S.; Seo, T.; Yamamoto, H. Power-divergence-type measure of departure from symmetry for square contingency tables that have nominal categories. Journal of Applied Statistics 1998, 25, 387–398. [Google Scholar] [CrossRef]
- van der Heijden, P.G.M.; de Vries, H.; van Hooff, J.A.R.A.M. Correspondence analysis of transition matrices, with special attention to missing entries and asymmetry. Animal Behavior 1990, 40, 49–64. [Google Scholar] [CrossRef]
- Ward, R.C.; Gray, L.J. Eigensystem computation for skew-symmetric matrices and a class of symmetric matrices. ACM Transactions on Mathematical Software 1978, 4, 278–285. [Google Scholar] [CrossRef]
- Wiepkema, P.R. An ethological analysis of the reproductive behaviour of the bitterling (Rhodeus amarus Bloch). Archives Néerlandaises de Zoologie 1961, 14, 103–199. [Google Scholar] [CrossRef]






| Columns | |||||
|---|---|---|---|---|---|
| Rows | C1 | C2 | C3 | C4 | Total |
| R1 | 10 | 20 | 30 | 40 | 100 |
| R2 | 20 + C | 50 | 60 | 70 | 200 + C |
| R3 | 30 | 60 | 20 | 40 | 150 |
| R4 | 40 | 70 | 40 | 80 | 230 |
| Total | 100 + C | 200 | 150 | 230 | 680 + C |
| Pre-Courtship Behaviour | |||||||||||||
|---|---|---|---|---|---|---|---|---|---|---|---|---|---|
| Post- | jk | tu | hb | cs | fl | qu | le | hd | sk | sn | cf | ff | Total |
| JK | 654 | 128 | 172 | 56 | 27 | 25 | 1 | 28 | 0 | 46 | 14 | 18 | 1169 |
| TU | 101 | 132 | 62 | 27 | 5 | 1 | 1 | 11 | 0 | 8 | 5 | 9 | 362 |
| HB | 171 | 62 | 197 | 130 | 0 | 25 | 0 | 50 | 14 | 18 | 14 | 12 | 693 |
| CS | 60 | 22 | 152 | 135 | 0 | 8 | 0 | 43 | 16 | 15 | 12 | 4 | 467 |
| FL | 19 | 2 | 0 | 0 | 419 | 19 | 0 | 2 | 0 | 17 | 5 | 11 | 494 |
| QU | 36 | 1 | 18 | 5 | 12 | 789 | 119 | 295 | 26 | 70 | 1 | 14 | 1386 |
| LE | 4 | 0 | 0 | 0 | 0 | 57 | 167 | 73 | 0 | 8 | 0 | 0 | 309 |
| HD | 22 | 9 | 40 | 37 | 5 | 245 | 7 | 171 | 287 | 53 | 8 | 13 | 897 |
| SK | 3 | 2 | 7 | 38 | 0 | 120 | 8 | 134 | 19 | 28 | 4 | 9 | 363 |
| SN | 42 | 2 | 17 | 16 | 20 | 70 | 11 | 67 | 9 | 225 | 12 | 12 | 503 |
| CF | 18 | 3 | 10 | 13 | 6 | 5 | 0 | 8 | 0 | 24 | 97 | 9 | 193 |
| FF | 27 | 3 | 6 | 5 | 10 | 13 | 0 | 18 | 0 | 10 | 8 | 29 | 129 |
| Total | 1157 | 366 | 681 | 462 | 504 | 1377 | 314 | 900 | 371 | 522 | 180 | 131 | 6965 |
| Pre-Courtship Behaviour | |||||||||||||
|---|---|---|---|---|---|---|---|---|---|---|---|---|---|
| Post- | jk | tu | hb | cs | fl | qu | le | hd | sk | sn | cf | ff | |
| 1 | 0.015 | <0.001 | -0.003 | 0.010 | -0.012 | -0.011 | 0.007 | -0.015 | 0.004 | -0.006 | -0.011 | ||
| JK | 1/2 | 0.015 | <0.001 | -0.003 | 0.010 | -0.013 | -0.014 | 0.007 | -0.027 | 0.004 | -0.006 | -0.012 | |
| 0 | 0.014 | <0.001 | -0.003 | 0.009 | -0.013 | -0.017 | 0.007 | -0.074 | 0.004 | -0.006 | -0.013 | ||
| 1 | -0.015 | 0 | 0.006 | 0.010 | 0 | 0.008 | 0.004 | -0.012 | 0.016 | 0.006 | 0.015 | ||
| TU | 1/2 | -0.016 | 0 | 0.006 | 0.009 | 0 | 0.007 | 0.004 | -0.022 | 0.014 | 0.006 | 0.013 | |
| 0 | -0.016 | 0 | 0.006 | 0.008 | 0 | 0.006 | 0.004 | -0.056 | 0.013 | 0.005 | 0.012 | ||
| 1 | <0.001 | 0 | -0.011 | 0 | 0.009 | 0 | 0.009 | 0.013 | 0.001 | 0.007 | 0.012 | ||
| HB | 1/2 | <0.001 | 0 | -0.011 | 0 | 0.009 | 0 | 0.009 | 0.012 | 0.001 | 0.007 | 0.011 | |
| 0 | <0.001 | 0 | -0.012 | 0 | 0.008 | 0 | 0.008 | 0.011 | 0.001 | 0.006 | 0.010 | ||
| 1 | 0.003 | -0.006 | 0.011 | 0 | 0.007 | 0 | 0.006 | -0.025 | -0.002 | -0.002 | -0.003 | ||
| CS | 1/2 | 0.003 | -0.006 | 0.011 | 0 | 0.007 | 0 | 0.006 | -0.029 | -0.002 | -0.002 | -0.003 | |
| 0 | 0.003 | -0.006 | 0.011 | 0 | 0.006 | 0 | 0.005 | -0.033 | -0.002 | -0.002 | -0.003 | ||
| 1 | -0.010 | -0.010 | 0 | 0 | 0.011 | 0 | -0.010 | 0 | -0.004 | -0.003 | 0.002 | ||
| FL | 1/2 | -0.010 | -0.011 | 0 | 0 | 0.010 | 0 | -0.011 | 0 | -0.004 | -0.003 | 0.002 | |
| 0 | -0.011 | -0.013 | 0 | 0 | 0.010 | 0 | -0.013 | 0 | -0.004 | -0.003 | 0.002 | ||
| 1 | 0.012 | 0 | -0.009 | -0.007 | -0.011 | 0.040 | 0.018 | -0.066 | 0 | -0.014 | 0.002 | ||
| QU | 1/2 | 0.011 | 0 | -0.009 | -0.008 | -0.011 | 0.037 | 0.018 | -0.083 | 0 | -0.017 | 0.002 | |
| 0 | 0.011 | 0 | -0.010 | -0.008 | -0.012 | 0.034 | 0.017 | -0.106 | 0 | -0.023 | 0.002 | ||
| 1 | 0.011 | -0.008 | 0 | 0 | 0 | -0.040 | 0.063 | -0.024 | -0.006 | 0 | 0 | ||
| LE | 1/2 | 0.010 | -0.015 | 0 | 0 | 0 | -0.044 | 0.053 | -0.046 | -0.006 | 0 | 0 | |
| 0 | 0.009 | -0.034 | 0 | 0 | 0 | -0.049 | 0.046 | -0.144 | -0.006 | 0 | 0 | ||
| 1 | -0.007 | -0.004 | -0.009 | -0.006 | 0.010 | -0.018 | -0.063 | 0.063 | -0.011 | 0 | -0.008 | ||
| HD | 1/2 | -0.007 | -0.004 | -0.009 | -0.006 | 0.009 | -0.019 | -0.088 | 0.058 | -0.011 | 0 | -0.008 | |
| 0 | -0.008 | -0.004 | -0.009 | -0.006 | 0.008 | -0.019 | -0.132 | 0.054 | -0.012 | 0 | -0.008 | ||
| 1 | 0.015 | 0.012 | -0.013 | 0.025 | 0 | 0.066 | 0.024 | -0.063 | 0.026 | 0.017 | 0 | ||
| SK | 1/2 | 0.012 | 0.010 | -0.014 | 0.023 | 0 | 0.058 | 0.020 | -0.070 | 0.024 | 0.014 | 0 | |
| 0 | 0.010 | 0.008 | -0.016 | 0.021 | 0 | 0.051 | 0.017 | -0.079 | 0.021 | 0.012 | 0 | ||
| 1 | -0.004 | -0.016 | -0.001 | 0.002 | 0.004 | 0 | 0.006 | 0.011 | -0.026 | -0.017 | 0.004 | ||
| SN | 1/2 | -0.004 | -0.020 | -0.001 | 0.002 | 0.004 | 0 | 0.006 | 0.011 | -0.031 | -0.019 | 0.004 | |
| 0 | -0.004 | -0.024 | -0.001 | 0.001 | 0.004 | 0 | 0.005 | 0.010 | -0.037 | -0.021 | 0.003 | ||
| 1 | 0.006 | -0.006 | -0.007 | 0.002 | 0.003 | 0.014 | 0 | 0 | -0.017 | 0.017 | 0.002 | ||
| CF | 1/2 | 0.006 | -0.006 | -0.007 | 0.002 | 0.002 | 0.012 | 0 | 0 | -0.032 | 0.016 | 0.002 | |
| 0 | 0.006 | -0.007 | -0.008 | 0.002 | 0.002 | 0.011 | 0 | 0 | -0.090 | 0.015 | 0.002 | ||
| 1 | 0.011 | -0.015 | -0.012 | 0.003 | -0.002 | -0.002 | 0 | 0.008 | 0 | -0.004 | -0.002 | ||
| FF | 1/2 | 0.011 | -0.017 | -0.013 | 0.003 | -0.002 | -0.002 | 0 | 0.007 | 0 | -0.004 | -0.002 | |
| 0 | 0.010 | -0.020 | -0.015 | 0.003 | -0.002 | -0.002 | 0 | 0.007 | 0 | -0.004 | -0.002 | ||
Disclaimer/Publisher’s Note: The statements, opinions and data contained in all publications are solely those of the individual author(s) and contributor(s) and not of MDPI and/or the editor(s). MDPI and/or the editor(s) disclaim responsibility for any injury to people or property resulting from any ideas, methods, instructions or products referred to in the content. |
© 2024 by the authors. Licensee MDPI, Basel, Switzerland. This article is an open access article distributed under the terms and conditions of the Creative Commons Attribution (CC BY) license (http://creativecommons.org/licenses/by/4.0/).
