Submitted:
04 June 2024
Posted:
10 June 2024
You are already at the latest version
Abstract
Keywords:
1. Introduction
2. Materials and Methods
2.1. Literature Search
2.2. Reconstruction of Individual Patient Data
2.3. Inclusion and Exclusion of Individual Therapeutic Regimens in Our Main Analysis
- a)
- ICI given as monotherapy;
- b)
- Combinations of ICI with chemotherapy;
- c)
- Combinations of ICI with other drugs.
2.4. Statistical Analysis
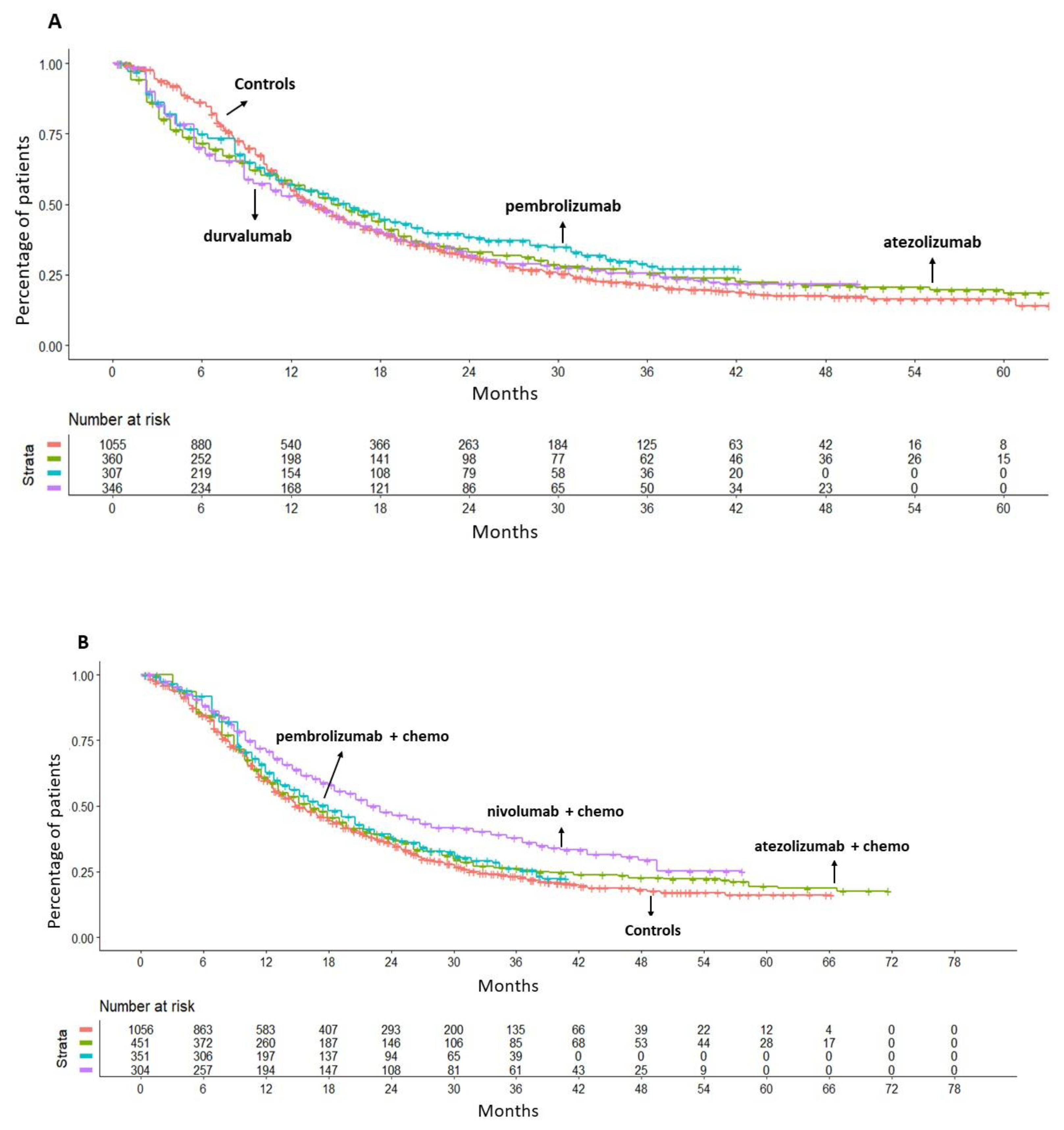
3. Results
3.1. Trial Selection and Design of Analysis
- a)
- OS of ICIs used as monotherapy vs standard chemotherapy;
- b)
- OS of ICIs combined with chemotherapy vs standard chemotherapy;
- c)
- OS of ICI combined with other drugs vs standard chemotherapy.
3.2. Regimens’ Selection Based on Overall Survival Analyses
3.3. Main Analysis: Overall Survival of Chemotherapy-Free Regimens Compared with ICI Plus Chemotherapy
4. Discussion
5. Conclusions
Supplementary Materials
Author Contributions
Funding
Institutional Review Board Statement
Informed Consent Statement
Data Availability Statement
Acknowledgments
Conflicts of Interest
References
- Leung, J.H.; Wang, S.Y.; Leung, H.W.C.; Chan, A.L.F. Comparative efficacy and safety of multimodality treatment for advanced hepatocellular carcinoma with portal vein tumor thrombus: patient-level network meta-analysis. Front Oncol. 2024, 14, 1344798. [Google Scholar] [CrossRef] [PubMed]
- Nichetti, F.; Rota, S.; Ambrosini, P.; Pircher, C.; Gusmaroli, E.; Droz Dit Busset, M.; Pusceddu, S.; Sposito, C.; Coppa, J.; Morano, F. NALIRIFOX, FOLFIRINOX, and Gemcitabine With Nab-Paclitaxel as First-Line Chemotherapy for Metastatic Pancreatic Cancer: A Systematic Review and Meta-Analysis. JAMA Netw Open. 2024, 7, e2350756. [Google Scholar] [CrossRef] [PubMed]
- Messori, A.; Damuzzo, V.; Rivano, M.; Cancanelli, L.; Di Spazio, L.; Ossato, A. Application of the IPDfromKM-Shiny method to compare the efficacy of novel treatments aimed at the same disease condition: a report of 14 analyses. Cancers. 2023, 15, 1633. [Google Scholar] [CrossRef] [PubMed]
- Serrano, C. , Rothschild, S., Villacampa, G., Heinrich, M.C., George, S., Blay, J.Y., Sicklick, J.K., Schwartz, G.K., Rastogi, S.; Jones, R.L.; et al. Rethinking placebos: embracing synthetic control arms in clinical trials for rare tumors. Nat Med. 2023, 29, 2689–2692. [Google Scholar] [CrossRef] [PubMed]
- Liu, N.; Zhou, Y.; Lee, J.J. IPDfromKM: reconstruct individual patient data from published Kaplan-Meier survival curves. BMC Med Res Methodol. 2021, 21, 111. [Google Scholar] [CrossRef] [PubMed]
- Messori, A. Synthetizing Published Evidence on Survival by Reconstruction of Patient-Level Data and Generation of a Multi-Trial Kaplan-Meier Curve. Cureus. 2021, 13, e19422. [Google Scholar] [CrossRef] [PubMed]
- Chen, K.; Nie, Z.; Shi, R.; Yu, D.; Wang, Q.; Shao, F.; Wu, G.; Wu, Z.; Chen, T.; Li, C. Time to Benefit of Sodium-Glucose Cotransporter-2 Inhibitors Among Patients With Heart Failure. JAMA Netw Open. 2023, 6, e2330754. [Google Scholar] [CrossRef] [PubMed]
- Minervini, F.; Li, A.; Qu, M.; Nilius, H.; Shargall, Y. Prognostic significance of lymph nodes assessment during pulmonary metastasectomy: a systematic review and meta-analysis. J Thorac Dis. 2023, 15, 6447–6458. [Google Scholar] [CrossRef] [PubMed]
- Powles, T.; Park, S.; Caserta, C.; Valderrama, B.P.; Gurney, H.; Ullén, A.; Loriot, Y.; Sridhar, S.S.; Sternberg, C.N.; Bellmunt, J. , et al. Avelumab First-Line Maintenance for Advanced Urothelial Carcinoma: Results From the JAVELIN Bladder 100 Trial After ≥2 Years of Follow-Up. J Clin Oncol, 2023; 41, 3486–3492. [Google Scholar] [CrossRef]
- Moussa, M.J.; Campbell, M.T.; Alhalabi, O. Revisiting Treatment of Metastatic Urothelial Cancer: Where Do Cisplatin and Platinum Ineligibility Criteria Stand? Biomedicines. 2024, 12, 519. [Google Scholar] [CrossRef]
- Roviello, G.; Santoni, M.; Sonpavde, G.P.; Catalano, M. The evolving treatment landscape of metastatic urothelial cancer. Nat Rev Urol. 2024. [Google Scholar] [CrossRef]
- Maisch, P.; Hwang, E.C.; Kim, K.; Narayan, V.M.; Bakker, C.; Kunath, F. ; Dahm. P. Immunotherapy for advanced or metastatic urothelial carcinoma: an abridged Cochrane review. BJU Int, 2024. [Google Scholar] [CrossRef]
- Monteiro, F.S.M.; Soares, A.; Mollica, V.; Leite, C.A.; Carneiro, A.P.C.D.; Rizzo, A.; Bourlon, M.T.; Sasse, A.D.; Santoni, M.; Gupta, S.; Massari, F. Efficacy of immune checkpoint inhibitors combinations as first-line systemic treatment in patients with advanced urothelial carcinoma: A systematic review and network meta-analysis. Crit Rev Oncol Hematol. 2024, 196, 104321. [Google Scholar] [CrossRef] [PubMed]
- Shamseer, L.; Moher, D.; Clarke, M.; Ghersi, D.; Liberati, A.; Petticrew, M.; Shekelle, P.; Stewart, L.A.; PRISMA-P Group. Preferred reporting items for systematic review and meta-analysis protocols (PRISMA-P) 2015: elaboration and explanation. BMJ 2015, 350, g7647. Erratum in: BMJ 2016, 354, i4086. [CrossRef]
- Grande, E.; Arranz, J.Á.; De Santis, M.; Bamias, A.; Kikuchi, E.; Del Muro, X.G.; Park, S.H.; De Giorgi, U.; Alekseev, B.; Mencinger, M.; et al. Atezolizumab plus chemotherapy versus placebo plus chemotherapy in untreated locally advanced or metastatic urothelial carcinoma (IMvigor130): final overall survival analysis results from a randomised, controlled, phase 3 study. Lancet Oncol. 2024, 25, 29–45. [Google Scholar] [CrossRef] [PubMed]
- Bamias, A.; Davis, I.D.; Galsky, M.D.; Arranz, J.Á.; Kikuchi, E.; Grande, E.; Del Muro, X.G.; Park, S.Hh; De Giorgi, U.; Alekseev, B.; et al. Atezolizumab monotherapy versus chemotherapy in untreated locally advanced or metastatic urothelial carcinoma (IMvigor130): final overall survival analysis from a randomised, controlled, phase 3 study. Lancet Oncol. 2024, 25, 46–61. [Google Scholar] [CrossRef]
- Powles, T.; Csoszi, T.; Özgüroğlu, M.; Matsubara, N.; Géczi, L.; Cheng, S.Y.; Fradet, Y.; Oudard, S.; Vulsteke, C.; Morales Barrera, R; et al. Pembrolizumab alone or combined with chemotherapy versus chemotherapy as first-line therapy for advanced urothelial carcinoma (KEYNOTE-361): a randomised, open-label, phase 3 trial. In Lancet Oncol.; 2021; Volume 22, pp. 931–945. [CrossRef]
- Powles, T.; Valderrama, B.P.; Gupta, S.; Bedke, J.; Kikuchi, E.; Hoffman-Censits, J.; Iyer, G.; Vulsteke, C.; Park, S.H.; Shin, S.J. , et al. Enfortumab Vedotin and Pembrolizumab in Untreated Advanced Urothelial Cancer. N Engl J Med. 2024, 390, 875–888. [Google Scholar] [CrossRef] [PubMed]
- Powles, T.; van der Heijden, M.S.; Castellano, D.; Galsky, M.D.; Loriot, Y.; Petrylak, D.P.; Ogawa, O.; Park, S.H.; Lee, J.L.; De Giorgi, U.; et al. Durvalumab alone and durvalumab plus tremelimumab versus chemotherapy in previously untreated patients with unresectable, locally advanced or metastatic urothelial carcinoma (DANUBE): a randomised, open-label, multicentre, phase 3 trial. Lancet Oncol. 2020, 21, 1574-1588. Erratum in: Lancet Oncol. 2021, 22, e5. [CrossRef]
- van der Heijden, M.S.; Sonpavde, G.; Powles, T.; Necchi, A.; Burotto, M.; Schenker, M.; Sade, J.P.; Bamias, A.; Beuzeboc, P.; Bedke, J.; et al. Nivolumab plus Gemcitabine-Cisplatin in Advanced Urothelial Carcinoma. N Engl J Med. 2023, 389, 1778–1789. [Google Scholar] [CrossRef] [PubMed]
- Niegisch, G. Enfortumab Vedotin and Pembrolizumab - A New Perspective on Urothelial Cancer. N Engl J Med. 2024, 390, 944–946. [Google Scholar] [CrossRef] [PubMed]
- Ike, C.; Kongnakorn, T.; Tichy, E.; Benedict, A.; Sanchez Alvarez, J.; Kearney, M. Healthcare costs associated with first-line (1L) treatment of patients with locally advanced or metastatic urothelial carcinoma (la/mUC) in the United States (US). JCO Oncol Pract. 2023, 19, 11–11. [Google Scholar] [CrossRef]
- Fu, Z.; Gao, C.; Wu, T.; Wang, L.; Li, S.; Zhang, Y.; Shi, C. Peripheral neuropathy associated with monomethyl auristatin E-based antibody-drug conjugates. iScience. 2023, 26, 107778. [Google Scholar] [CrossRef] [PubMed]
- Milowsky, M.I.; O'Donnell, P.H.; Hoimes, C.J.; Petrylak, D.P.; Flaig, T.W.; Moon, H.H.; Friedlander, T.W.; Mar, N.; McKay, R.R.; Srinivas, S.; et al. Patient-Reported Outcomes in Patients With Advanced Urothelial Cancer Who Are Ineligible for Cisplatin and Treated With First-Line Enfortumab Vedotin Alone or With Pembrolizumab. J Clin Oncol. 2024, 42, 1403–1414. [Google Scholar] [CrossRef]
- Rosenberg, J.E.; Mamtani, R.; Sonpavde, G.P.; Loriot, Y.; Duran, I.; Lee, J.L.; Matsubara, N.; Vulsteke, C.; Castellano, D.; Sridhar, S.S.; Pappot, H.; et al. Health-related Quality of Life in Patients with Previously Treated Advanced Urothelial Carcinoma from EV-301: A Phase 3 Trial of Enfortumab Vedotin Versus Chemotherapy. Eur Urol. 2024, 85, 574–585. [Google Scholar] [CrossRef] [PubMed]



| Trial (First author, year of publication] |
Treatments arms | Number of patients | Median follow-up | Median OS (mo) | PDL-1 expression |
|---|---|---|---|---|---|
|
IMvigorl30 combo (Grande, 2024 [15]) |
Exp: Atezolizumab + Platinum + Gemcitabine | 451 | 13.4 mo | Exp: 16.1 | 24% IC2/3 |
| C: Placebo + Platinum + Gemcitabine | 400 | C: 13.4 HR 0.85 (95% CI 0.73-1.00) p = 0,023 |
(PD-L1 immune cell expression status (IC0 [<1%] vs IC1 [≥1% and <5%] vs IC2/3 [≥5%])1 | ||
|
IMvigorl30 mono (Bamias, 2024 [16]) |
Exp: Atezolizumab | 360 | 13.4 mo | Exp: 15.2 | 24% IC2/3 2 |
| C: Placebo + Platinum + Gemcitabine | 359 | C: 13.3 HR 0.95 (95% CI 0.80-1.12) p = 0,023 |
(PD-L1 immune cell expression status (IC0 [<1%] vs IC1 [≥1% and <5%] vs IC2/3 [≥5%]) | ||
|
KeyNote-361 (Powles, 2021 [17]) |
Exp1: Pembrolizumab +Platinum + Gemcitabine C: Platinum + Gemcitabine |
351 352 |
31.7 mo | Exp1: 17.0 C: 14.3 HR 0.86 (95% CI 0.72 – 1.02) p=0.0407 |
47% PD-L1 High CPS ≥ 10 3 |
| Exp2: Pembrolizumab C: Platinum + Gemcitabine |
307 352 |
31.7 mo | Exp2: 15.6 C: 14.3 HR 0.92 (95% CI 0.77 – 1.11) |
||
|
EV-302 (Powles, 2024 [18]) |
Exp: Enfortumab vedotin + Pembrolizumab | 442 | 17.2 mo | Exp: 31.5 | 57% PD-L1 High CPS ≥ 10 4 |
| C: Platinum + Gemcitabine | 444 | C: 16.1 HR 0.47 (95% CI 0.38 – 0.58) p = < 0.001 |
|||
|
Danube (Powles, 2020 [19]) |
Exp1: Durvalumab + Tremelimumab C: Platinum + Gemcitabine |
342 344 |
41.2 mo | Exp1: 15.1 C: 12.1 HR 0.85 (95% CI 0.72– 1.02) p = 0.075 |
60% PD-L1 High 5 |
| Exp2: Durvalumab C: Platinum + Gemcitabine |
346 344 |
Exp2: 14.4 C: 12.1 HR 0.89 (95% CI 0.71– 1.11) p = 0.30 |
|||
|
CheckMate-901 (van der Heijden, 2023 [20]) |
Exp: Nivolumab + Cisplatin + Gemcitabine C: Placebo + Cisplatin + Gemcitabine |
304 304 |
33.6 mo | Exp: 21.7 C: 18.9 HR 0.78 (95% CI 0.63– 0.96) p = 0.02 |
36% ≥1% 6 |
Disclaimer/Publisher’s Note: The statements, opinions and data contained in all publications are solely those of the individual author(s) and contributor(s) and not of MDPI and/or the editor(s). MDPI and/or the editor(s) disclaim responsibility for any injury to people or property resulting from any ideas, methods, instructions or products referred to in the content. |
© 2024 by the authors. Licensee MDPI, Basel, Switzerland. This article is an open access article distributed under the terms and conditions of the Creative Commons Attribution (CC BY) license (http://creativecommons.org/licenses/by/4.0/).