Submitted:
28 May 2024
Posted:
29 May 2024
You are already at the latest version
Abstract
Keywords:
1. Introduction
2. Motivation and Contribution
- Proposal of a dual-hop UAV-assisted communication system employing a decode and forward relay architecture, utilizing THz communication in the first hop and VLC in the secondary hop.
- Derivation of closed-form expressions for E2E BER with and without the presence of THz pointing errors.
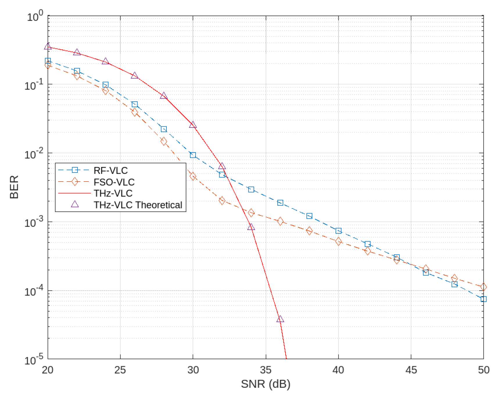
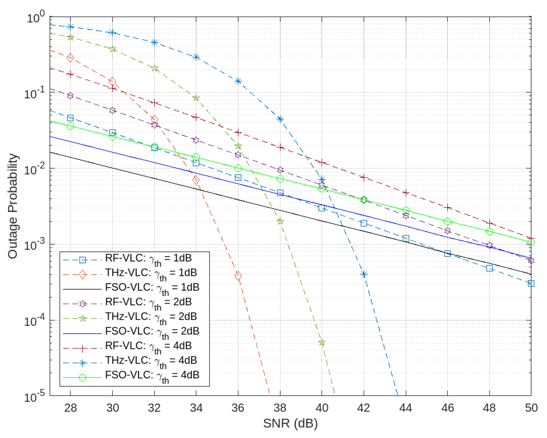
- Presentation of simulation results to investigate the performance of the proposed system. Comparative analysis of BER and outage probability performances between the proposed system and FSO-VLC and RF-VLC configurations is conducted to highlight the advantages of integrating THz with VLC.
3. Synergy and Challenges of UAV Assisted THz-VLC Systems
3.1. Synergy between THz and VLC in UAV Applications
3.2. Challenges in Integrating THz with UAV Platforms
3.3. Challenges in Using VLC for Relay-Destination Link
4. Selected Use Cases and Opportunities
4.1. Health Care
4.2. Underwater
4.3. Military
4.4. Video Streaming
5. System Model
5.1. THz Channel Model
5.1.1. Free Space Path Loss (FSPL)
5.1.2. Molecular Absorption Loss
5.1.3. Misalignment Fading Effect
5.2. VLC Channel Model
6. Performance Analysis
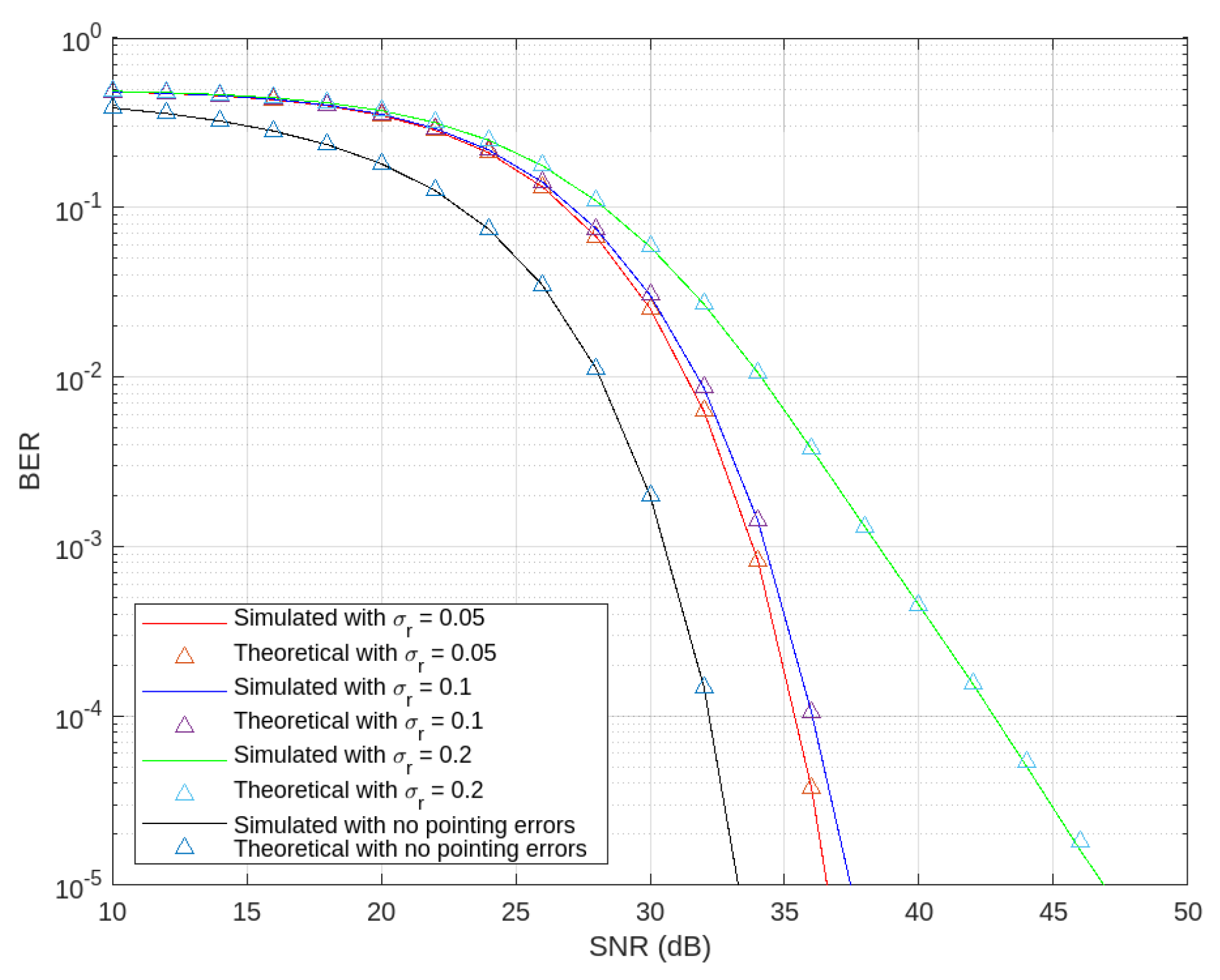
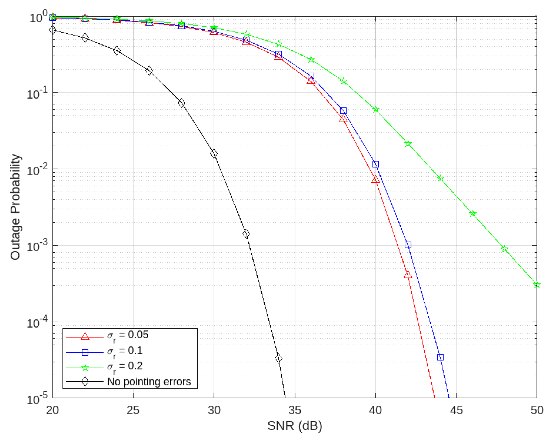
7. Simulation Results
8. Future Directions
8.1. Advanced Modulation Schemes and Error Correction Codes
8.2. Machine Learning Integration
8.3. Hybrid VLC Systems
8.4. Metamaterials in THz Transceivers
8.5. Multi-Hop Relay Networks
8.6. Energy Efficiency and Power Management
8.7. Interference Mitigation
8.8. Environmental Adaptability
9. Current Challenges
9.1. Alignment and Stability
9.2. High Energy Consumption
9.3. Design Complexity of Transceivers
9.4. Susceptibility to Blockages
9.5. Interference and Signal Congestion
9.6. Environmental Variability
10. Conclusions
Author Contributions
Funding
Conflicts of Interest
References
- Ericsson. (2023) Mobile data traffic forecast – mobility report. Ericsson. Accessed: 28January2024. [Online]. Available: https://www.ericsson.com/en/reports-and-papers/mobilityreport/dataforecasts/.
- Banafaa, M.; Shayea, I.; Din, J.; Azmi, M.H.; Alashbi, A.; Daradkeh, Y.I.; Alhammadi, A. 6G mobile communication technology: Requirements, targets, applications, challenges, advantages, and opportunities. Alexandria Engineering Journal 2023, 64, 245–274. [Google Scholar] [CrossRef]
- Rajahrajasingh, H.; Edirisinghe, S. The Feasibility of Visible Light Communication for Deep Sea Communication. In Proceedings of the 2023 IEEE 17th International Conference on Industrial and Information Systems (ICIIS); 2023; pp. 152–157. [Google Scholar] [CrossRef]
- Rajkumar, S.; Tennakoon, P.; Jayakody, D.N.K. NOMA-PLNC based visible light communications. In Proceedings of the 2023 6th Conference on Cloud and Internet of Things (CIoT). IEEE; 2023; pp. 183–189. [Google Scholar]
- Abdalla, R.; Cooper, A.B. Performance Analysis of LOS THz Systems Under Misalignment and Deterministic Fading. In Proceedings of the 2023 57th Annual Conference on Information Sciences and Systems (CISS); 2023; pp. 1–5. [Google Scholar] [CrossRef]
- Liang, J.; Chen, M.; Ke, X. Performance Analysis of Hybrid FSO/RF-THz Relay Communication System. IEEE Photonics Journal 2024. [Google Scholar] [CrossRef]
- Gunasekar, A.; Kumar, L.B.; Krishnan, P.; Natarajan, R.; Jayakody, D.N.K. All-Optical UAV-Based Triple-Hop FSO-FSO-VLC Cooperative System for High-Speed Broadband Internet Access in High-Speed Trains. IEEE Access 2023. [Google Scholar] [CrossRef]
- Gupta, Y.; Peer, M.; Bohara, V.A. Performance analysis of RF/VLC enabled UAV base station in heterogeneous network. In Proceedings of the 2021 IEEE 32nd Annual International Symposium on Personal, Indoor and Mobile Radio Communications (PIMRC). IEEE; 2021; pp. 1067–1072. [Google Scholar]
- Bravo Alvarez, L.; Montejo-Sánchez, S.; Rodríguez-López, L.; Azurdia-Meza, C.; Saavedra, G. A review of hybrid vlc/rf networks: Features, applications, and future directions. Sensors 2023, 23, 7545. [Google Scholar] [CrossRef]
- Ali, M.F.; Jayakody, D.N.K.; Garg, S.; Kaddoum, G.; Hossain, M.S. Dual-hop mixed fso-vlc underwater wireless communication link. IEEE Transactions on Network and Service Management 2022, 19, 3105–3120. [Google Scholar] [CrossRef]
- Deka, R.; Anees, S. Performance Analysis of a Decode-and-Forward Based Mixed RF–FSO–VLC System. International Journal of Wireless Information Networks 2023, 30, 332–347. [Google Scholar] [CrossRef]
- Deka, R.; Verma, A.; Anees, S. Performance analysis of decode-and-forward based hybrid RF/FSO-VLC system. In Proceedings of the 2019 IEEE International Conference on Advanced Networks and Telecommunications Systems (ANTS). IEEE; 2019; pp. 1–5. [Google Scholar]
- Bhardwaj, P.; Zafaruddin, S.M. Performance of Hybrid THz and Multiantenna RF System With Diversity Combining. IEEE Systems Journal 2022. [Google Scholar] [CrossRef]
- Sharma, S.; Madhukumar, A. On the Performance of Hybrid THz/FSO system. IEEE Communications Letters 2023. [Google Scholar] [CrossRef]
- Azari, M.M.; Solanki, S.; Chatzinotas, S.; Bennis, M. THz-empowered UAVs in 6G: Opportunities, challenges, and trade-offs. IEEE Communications Magazine 2022, 60, 24–30. [Google Scholar] [CrossRef]
- Amodu, O.A.; Busari, S.A.; Othman, M. Physical layer aspects of terahertz-enabled UAV communications: Challenges and opportunities. Vehicular Communications 2022, 38, 100540. [Google Scholar] [CrossRef]
- Amodu, O.A.; Jarray, C.; Busari, S.A.; Othman, M. THz-enabled UAV communications: Motivations, results, applications, challenges, and future considerations. Ad Hoc Networks 2023, 140, 103073. [Google Scholar] [CrossRef]
- Matheus, L.E.M.; Vieira, A.B.; Vieira, L.F.; Vieira, M.A.; Gnawali, O. Visible light communication: concepts, applications and challenges. IEEE Communications Surveys & Tutorials 2019, 21, 3204–3237. [Google Scholar]
- O’brien, D.C.; Zeng, L.; Le-Minh, H.; Faulkner, G.; Walewski, J.W.; Randel, S. Visible light communications: Challenges and possibilities. In Proceedings of the 2008 IEEE 19th international symposium on personal, indoor and mobile radio communications. IEEE; 2008; pp. 1–5. [Google Scholar]
- Rehman, S.U.; Ullah, S.; Chong, P.H.J.; Yongchareon, S.; Komosny, D. Visible light communication: A system perspective—Overview and challenges. Sensors 2019, 19, 1153. [Google Scholar] [CrossRef] [PubMed]
- Oyeleke, O.D.; Thomas, S.; Idowu-Bismark, O.; Nzerem, P.; Muhammad, I. Absorption, diffraction and free space path losses modeling for the terahertz band. Int. J. Eng. Manuf 2020, 10, 54. [Google Scholar]
- Ali, M.F.; Jayakody, D.N.K.; Ribeiro, M.V. A hybrid UVLC-RF and optical cooperative relay communication system. In Proceedings of the 2021 10th International Conference on Information and Automation for Sustainability (ICIAfS). IEEE; 2021; pp. 13–18. [Google Scholar]
- Goldsmith, A. Wireless communications; Cambridge university press, 2005.













| Parameters | Values |
|---|---|
| Number of bits | 1e5 |
| Distance [THz link] | 30 m |
| Frequency [THz link] | 0.3 THz |
| Radius of the reception antenna | 0.1 m |
| Transmission beam footprint radius | 0.6 m |
| Jitter variance, | 0.05 - 0.2 |
| Distance [VLC link] | 2 m |
| Photo-diode Area | 0.05 |
| Source power, | 1 dB |
| Relay power, | 1 dB |
| Refractive index of a lens | 1.5 |
| Distance [FSO link] | 30 m |
| [FSO link] | 4.1 |
| [FSO link] | 1.4 |
| Distance [RF link] | 30 m |
Disclaimer/Publisher’s Note: The statements, opinions and data contained in all publications are solely those of the individual author(s) and contributor(s) and not of MDPI and/or the editor(s). MDPI and/or the editor(s) disclaim responsibility for any injury to people or property resulting from any ideas, methods, instructions or products referred to in the content. |
© 2024 by the authors. Licensee MDPI, Basel, Switzerland. This article is an open access article distributed under the terms and conditions of the Creative Commons Attribution (CC BY) license (https://creativecommons.org/licenses/by/4.0/).