Submitted:
07 May 2024
Posted:
08 May 2024
You are already at the latest version
Abstract
Keywords:
1. Introduction
2. Results
2.1. Patient Characteristics
2.2. Molecular Alterations
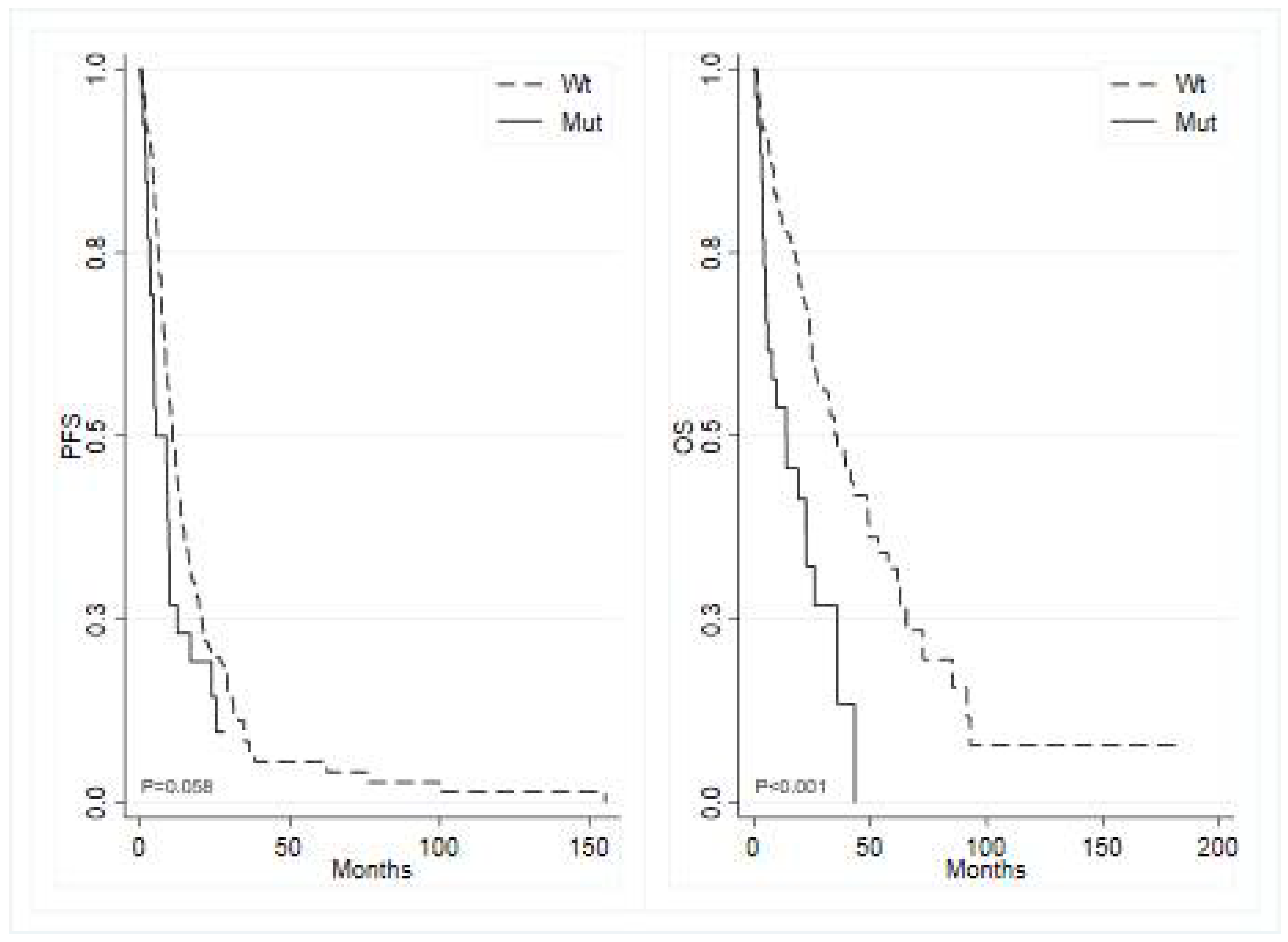
2.3. Association between Mutated Genes and Survival (PFS, OS)
2.4. Association between RAS Mutation Allele Frequency and Survival
3. Discussion
4. Materials and Methods
4.1. Patient Selection and Data Collection
4.2. Molecular Analyses
4.3. Statistical Analysis
5. Conclusions
Supplementary Materials
Author Contributions
Funding
Data Availability Statement
Acknowledgments
Conflicts of Interest
References
- Sung H, Ferlay J, Siegel RL, Laversanne M, Soerjomataram I, Jemal A, Bray F. Global Cancer Statistics 2020: GLOBOCAN Estimates of Incidence and Mortality Worldwide for 36 Cancers in 185 Countries. CA Cancer J Clin. 2021 May;71(3):209-249. [CrossRef]
- Cervantes A, Adam R, Roselló S, Arnold D, Normanno N, Taïeb J, Seligmann J, De Baere T, Osterlund P, Yoshino T, Martinelli E; ESMO Guidelines Committee. Electronic address: clinicalguidelines@esmo.org. Metastatic colorectal cancer: ESMO Clinical Practice Guideline for diagnosis, treatment and follow-up. Ann Oncol. 2023 Jan;34(1):10-32. [CrossRef]
- Lièvre A, Bachet JB, Le Corre D, Boige V, Landi B, Emile JF, Côté JF, Tomasic G, Penna C, Ducreux M, Rougier P, Penault-Llorca F, Laurent-Puig P. KRAS mutation status is predictive of response to cetuximab therapy in colorectal cancer. Cancer Res. 2006 Apr 15;66(8):3992-5. [CrossRef]
- Fakih MG, Salvatore L, Esaki T, Modest DP, Lopez-Bravo DP, Taieb J, Karamouzis MV, Ruiz-Garcia E, Kim TW, Kuboki Y, Meriggi F, Cunningham D, Yeh KH, Chan E, Chao J, Saportas Y, Tran Q, Cremolini C, Pietrantonio F. Sotorasib plus Panitumumab in Refractory Colorectal Cancer with Mutated KRAS G12C. N Engl J Med. 2023 Dec 7;389(23):2125-2139. [CrossRef]
- Yaeger R, Weiss J, Pelster MS, Spira AI, Barve M, Ou SI, Leal TA, Bekaii-Saab TS, Paweletz CP, Heavey GA, Christensen JG, Velastegui K, Kheoh T, Der-Torossian H, Klempner SJ. Adagrasib with or without Cetuximab in Colorectal Cancer with Mutated KRAS G12C. N Engl J Med. 2023 Jan 5;388(1):44-54. [CrossRef]
- Kopetz S, Grothey A, Yaeger R, Van Cutsem E, Desai J, Yoshino T, Wasan H, Ciardiello F, Loupakis F, Hong YS, Steeghs N, Guren TK, Arkenau HT, Garcia-Alfonso P, Pfeiffer P, Orlov S, Lonardi S, Elez E, Kim TW, Schellens JHM, Guo C, Krishnan A, Dekervel J, Morris V, Calvo Ferrandiz A, Tarpgaard LS, Braun M, Gollerkeri A, Keir C, Maharry K, Pickard M, Christy-Bittel J, Anderson L, Sandor V, Tabernero J. Encorafenib, Binimetinib, and Cetuximab in BRAF V600E-Mutated Colorectal Cancer. N Engl J Med. 2019 Oct 24;381(17):1632-1643. [CrossRef]
- Strickler JH, Cercek A, Siena S, André T, Ng K, Van Cutsem E, Wu C, Paulson AS, Hubbard JM, Coveler AL, Fountzilas C, Kardosh A, Kasi PM, Lenz HJ, Ciombor KK, Elez E, Bajor DL, Cremolini C, Sanchez F, Stecher M, Feng W, Bekaii-Saab TS; MOUNTAINEER investigators. Tucatinib plus trastuzumab for chemotherapy-refractory, HER2-positive, RAS wild-type unresectable or metastatic colorectal cancer (MOUNTAINEER): a multicentre, open-label, phase 2 study. Lancet Oncol. 2023 May;24(5):496-508. [CrossRef]
- Siena S, Di Bartolomeo M, Raghav K, Masuishi T, Loupakis F, Kawakami H, Yamaguchi K, Nishina T, Fakih M, Elez E, Rodriguez J, Ciardiello F, Komatsu Y, Esaki T, Chung K, Wainberg Z, Sartore-Bianchi A, Saxena K, Yamamoto E, Bako E, Okuda Y, Shahidi J, Grothey A, Yoshino T; DESTINY-CRC01 investigators. Trastuzumab deruxtecan (DS-8201) in patients with HER2-expressing metastatic colorectal cancer (DESTINY-CRC01): a multicentre, open-label, phase 2 trial. Lancet Oncol. 2021 Jun;22(6):779-789. [CrossRef]
- Yoshino T, Di Bartolomeo M, Raghav K, Masuishi T, Loupakis F, Kawakami H, Yamaguchi K, Nishina T, Wainberg Z, Elez E, Rodriguez J, Fakih M, Ciardiello F, Saxena K, Kobayashi K, Bako E, Okuda Y, Meinhardt G, Grothey A, Siena S; DESTINY-CRC01 investigators. Final results of DESTINY-CRC01 investigating trastuzumab deruxtecan in patients with HER2-expressing metastatic colorectal cancer. Nat Commun. 2023 Jun 7;14(1):3332. [CrossRef]
- Li F, Lin Y, Li R, Shen X, Xiang M, Xiong G, Zhang K, Xia T, Guo J, Miao Z, Liao Y, Zhang X, Xie L. Molecular targeted therapy for metastatic colorectal cancer: current and evolving approaches. Front Pharmacol. 2023 Oct 20;14:1165666. [CrossRef]
- Passardi A, Gibbons D. Editorial: Molecular targets for the treatment of metastatic colorectal cancer. Front Oncol. 2023 Dec 12;13:1341594. [CrossRef]
- Diaz LA Jr, Shiu KK, Kim TW, Jensen BV, Jensen LH, Punt C, Smith D, Garcia-Carbonero R, Benavides M, Gibbs P, de la Fourchardiere C, Rivera F, Elez E, Le DT, Yoshino T, Zhong WY, Fogelman D, Marinello P, Andre T; KEYNOTE-177 Investigators. Pembrolizumab versus chemotherapy for microsatellite instability-high or mismatch repair-deficient metastatic colorectal cancer (KEYNOTE-177): final analysis of a randomised, open-label, phase 3 study. Lancet Oncol. 2022 May;23(5):659-670. [CrossRef]
- Koopman M, Kortman GA, Mekenkamp L, Ligtenberg MJ, Hoogerbrugge N, Antonini NF, Punt CJ, van Krieken JH. Deficient mismatch repair system in patients with sporadic advanced colorectal cancer. Br J Cancer. 2009 Jan 27;100(2):266-73. [CrossRef]
- Nakanishi R, Harada J, Tuul M, Zhao Y, Ando K, Saeki H, Oki E, Ohga T, Kitao H, Kakeji Y, Maehara Y. Prognostic relevance of KRAS and BRAF mutations in Japanese patients with colorectal cancer. Int J Clin Oncol. 2013 Dec;18(6):1042-8. [CrossRef]
- Popovici V, Budinska E, Bosman FT, Tejpar S, Roth AD, Delorenzi M. Context-dependent interpretation of the prognostic value of BRAF and KRAS mutations in colorectal cancer. BMC Cancer. 2013 Sep 27;13:439. [CrossRef]
- Morris V, Overman MJ, Jiang ZQ, Garrett C, Agarwal S, Eng C, Kee B, Fogelman D, Dasari A, Wolff R, Maru D, Kopetz S. Progression-free survival remains poor over sequential lines of systemic therapy in patients with BRAF-mutated colorectal cancer. Clin Colorectal Cancer. 2014 Sep;13(3):164-71. [CrossRef]
- Mosele F, Remon J, Mateo J, Westphalen CB, Barlesi F, Lolkema MP, Normanno N, Scarpa A, Robson M, Meric-Bernstam F, Wagle N, Stenzinger A, Bonastre J, Bayle A, Michiels S, Bièche I, Rouleau E, Jezdic S, Douillard JY, Reis-Filho JS, Dienstmann R, André F. Recommendations for the use of next-generation sequencing (NGS) for patients with metastatic cancers: a report from the ESMO Precision Medicine Working Group. Ann Oncol. 2020 Nov;31(11):1491-1505. [CrossRef]


| Variable | n | (%) |
|---|---|---|
| Gender | ||
| Female | 74 | (41.3) |
| Male | 105 | (58.7) |
| Median age at diagnosis (IQ-IIIQ) | 69.6 (58.3-77.4) | |
| ECOG PS | ||
| 0 | 109 | (60.9) |
| 1 | 31 | (17.3) |
| 2 – 3 | 20 | (11.2) |
| NA | 19 | (10.6) |
| Primary Tumor Site | ||
| Right Colon | 64 | (35.7) |
| Left Colon | 69 | (38.6) |
| Rectum | 46 | (25.7) |
| Stage at diagnosis | ||
| I-III | 113 | (63.1) |
| IV | 66 | (36.99 |
| Number of Metastatic Sites | ||
| 1 | 115 | (64.2) |
| >1 | 64 | (35.8) |
| Metastatic Sites | ||
| Liver | 127 | (70.9) |
| Lung | 50 | (27.9) |
| Lymph Nodes | 34 | (18.9) |
| Peritoneum | 44 | (24.5) |
| Bone | 6 | (3.3) |
| Pelvic Recurrence | 6 | (3.3) |
| Other | 16 | (8.9) |
| Metastasis Surgery | ||
| Yes | 50 | (27.9) |
| No | 129 | (72.1) |
| Type of Metastasis Surgery | ||
| Hepatic | 15 | (30.0) |
| Pulmonary | 9 | (18.0) |
| Peritoneum | 10 | (20.0) |
| Other Site | 16 | (32.0) |
| First-Line Systemic Chemotherapy | ||
| Yes | 149 | (83.2) |
| No | 30 | (16.8) |
| First-Line Chemotherapy Regimen | ||
| Doublet/Triplet plus bevacizumab | 66 | (44.1) |
| Doublet/Triplet plus EGFR inhibitor | 37 | (24.9) |
| Chemotherapy alone (Doublet or monotherapy) | 31 | (20.8) |
| Monotherapy + bevacizumab or EGFR inhibitor | 15 | (10.1) |
| Number of Treatment Lines | ||
| 1 | 54 | (36.2) |
| 2 | 40 | (26.9) |
| 3 | 33 | (22.1) |
| 4 | 16 | (10.8) |
| ≥ 5 | 6 | (4.0) |
| First-Line Targeted Therapy | ||
| Reimbursed | 6 | (3.3) |
| Clinical Trial | 2 | (1.1) |
| KRAS | 87 (48,6%) |
| PIK3CA | 40 (22,4%) |
| BRAF | 26 (14,5%) |
| APC | 15 (8,4%) |
| NRAS | 8 (4.5%) |
| ERBB2 | 5 (2.8%) |
| SMO | 4 (2.2%) |
| CTNNB1, MYC, MAP2K1 | 3 (1,7%) |
| ERBB3, RAF1, MTOR, JAK1, FGFR2 | 2 (1.1%) |
| CDK4, MET, FGFR3, GNA11, EGFR, ALK, ROS1, DDR2, KIT | 1 (0.6%) |
Disclaimer/Publisher’s Note: The statements, opinions and data contained in all publications are solely those of the individual author(s) and contributor(s) and not of MDPI and/or the editor(s). MDPI and/or the editor(s) disclaim responsibility for any injury to people or property resulting from any ideas, methods, instructions or products referred to in the content. |
© 2024 by the authors. Licensee MDPI, Basel, Switzerland. This article is an open access article distributed under the terms and conditions of the Creative Commons Attribution (CC BY) license (https://creativecommons.org/licenses/by/4.0/).