Submitted:
07 May 2024
Posted:
07 May 2024
You are already at the latest version
Abstract
Keywords:
1. Introduction
2. Materials and Methods
2.1. Wine Samples
2.2. Sensory Analysis
2.2.1. Tasting Panels
2.2.2. Tasting Conditions
2.2.3. Data Analysis
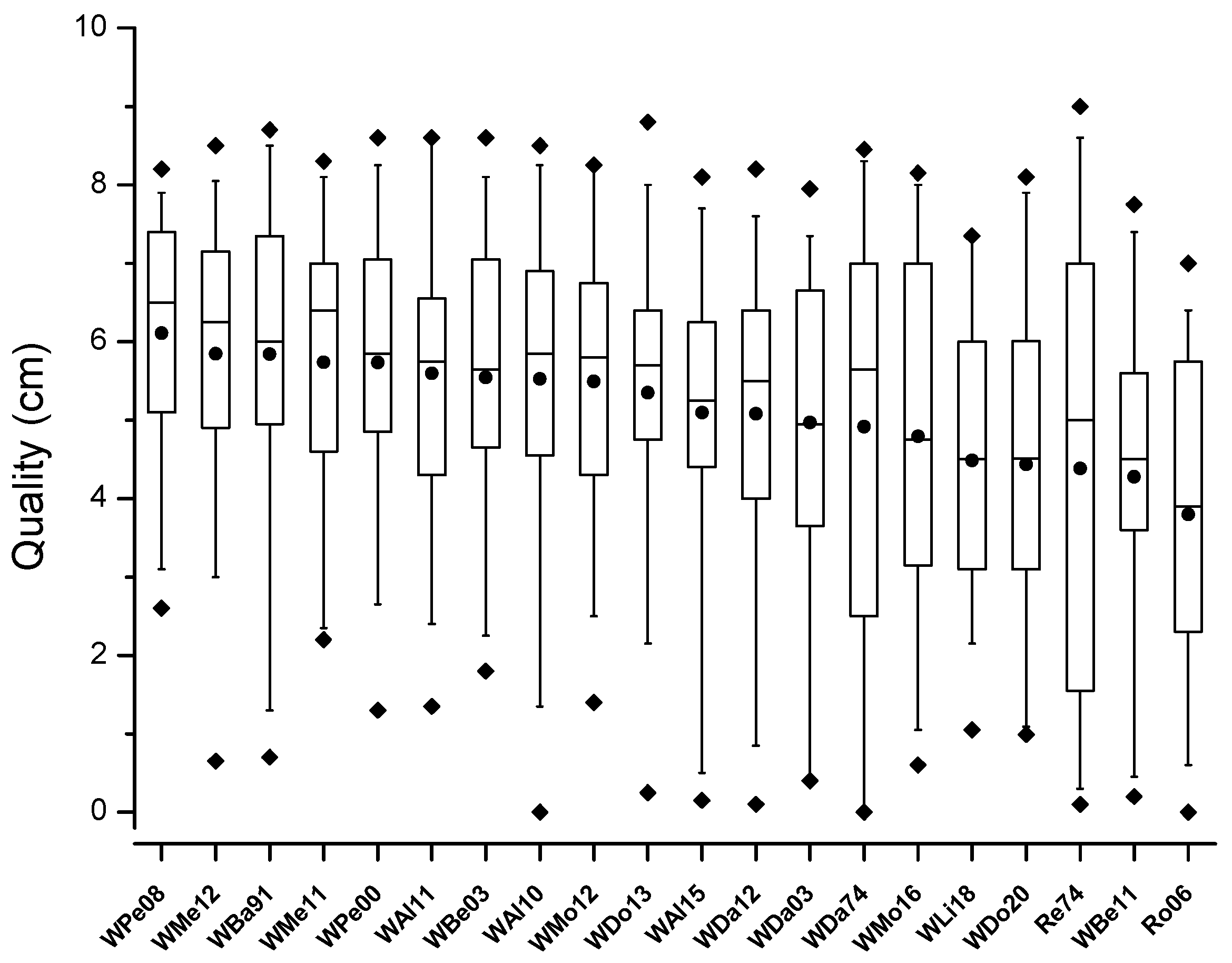
3. Results and Discussion
3.1. Wine Synthetic and Aesthetic Scores
3.1.1. Effect of Experience on Quality Prediction
3.1.2. The Influence of Colour on the Quality of White Wines
3.2. Definition of the Sensory Space of Aged Dry White Wines
3.2.1. Analytic Descriptions


3.2.2. Predicted Age
3.3. Overall Factors Affecting Quality Evaluation
3.4. Limitations of the Study
4. Conclusions and Future Prospects
Supplementary Materials
Author Contributions
Funding
Data Availability Statement
Acknowledgments
Conflicts of Interest
References
- Linsenmeier, A. W.; Rauhut, D.; Sponholz. W. R. Ageing and flavour deterioration in wine. In Managing Wine Quality (2nd edition); Reynold, A. (Editor). Woodhead Publishing Limited: Cambridge, UK, 2022; pp. 559-594. [CrossRef]
- Fischer, U.; Roth, D.; Christmann, M. The impact of geographic origin, vintage and wine estate on sensory properties of Vitis vinifera cv. Riesling wines. Food Qual Prefer 1999, 10, 281-288. [CrossRef]
- Godden, P.; Francis, L.; Field, J.; Gishen, M.; Coulter, A.; Valente, P.; Hoj, P.; Robinson, E. Wine bottle closures: physical characteristics and effect on composition and sensory properties of a Semillon wine 1. Performance up to 20 months post-bottling. Aust J Grape Wine Res 2001, 7, 64-105. [CrossRef]
- Pons, A.; Lavigne, V.; Thibon, C.; Redon, P.; Loisel, C.; Dubourdieu, D.; Darriet, P. Impact of Closure OTR on the Volatile Compound Composition and Oxidation Aroma Intensity of Sauvignon Blanc Wines during and after 10 Years of Bottle Storage. J Agric Food Chem 2021, 69, 9883-9894. [CrossRef]
- Ballester, J.; Magne, M.; Julien, P.; Noret, L.; Nikolantonaki, M.; Coelho, C.; Gougeon, R.D. Sensory Impact of Polyphenolic Composition on the Oxidative Notes of Chardonnay Wines. Beverages 2018, 4, 19. [CrossRef]
- Skouroumounis, G.; Kwiatokowsky, M.; Francis, I.; Oakey, Y.; Capone, D.; Duncan, B.; Sefton, M.; Waters, E. The impact of closure type and storage conditions on the composition, colour and flavour properties of a Riesling and a wooded Chardonnay wine during five years' storage. Aust J Grape Wine Res 2005, 11, 369-377. [CrossRef]
- Gabrielli, M.; Fracassetti, D.; Romanini, E.; Colangelo, D.; Tirelli, A.; Lambri. M. Oxygen-induced faults in bottled white wine : A review of technological and chemical characteristics. Food Chem 2021, 348, 128922. [CrossRef]
- Blackman, J. W.; Hopfer, H.; Saliba, A. J.; Schmidtke, L. M.; Barril, C.; Scollary, G. R. Sensory characterization of Hunter Valley Semillon aged in bottle. Flav Fragang J 2014, 29, 340–349. [CrossRef]
- Dacremont, C.; Vickers, Z. Classification of cheeses according to their closeness to the cheddar cheese concept. J Sens Stud 1994, 9, 237-246. [CrossRef]
- Candelon, M.; Ballester, J.; Uscidda, N.; Blanquet, J.; Le Fur, Y. Sensory methodology developed for the investigation of Sciaccarello wine concept. OENO One 2004, 38, 147–154. [CrossRef]
- Ballester, J.; Dacremont, C.; Le Fur, Y.; Etiévant, P. The role of olfaction in the elaboration and use of the Chardonnay wine concept. Food Qual Prefer 2005, 16, 351-359.
- Loison, A.; Symoneaux, R.; Deneulin, P.; Thomas-Danguin, T.; Fant, C.; Guérin, L.; Le Fur, Y. Exemplarity measurement and estimation of the level of interjudge agreement for two categories of French red wines. Food Qual Prefer 2015, 40, 240-251.
- Schüttler, A.; Friedel, M.; Jung, R.; Rauhut, D.; Darriet, P. Characterizing aromatic typicality of Riesling wines: merging volatile compositional and sensory aspects. Food Res Int 2015, 69, 26-37. [CrossRef]
- Garrido-Bañuelos, G.; Ballester, J.; Buica, A.; Mihnea, M. Exploring the typicality, sensory space, and chemical composition of swedish solaris wines. Foods 2020, 9, 9081107. [CrossRef]
- Kustos, M.; Gambetta, J.; Jeffery, D.; Heymann, H.; Goodman, S.; Bastian, S. A matter of place: Sensory and chemical characterisation of fine Australian Chardonnay and Shiraz wines of provenance. Food Res Int 2020, 130, 108903. [CrossRef]
- Sáenz-Navajas, M. P.; Arias-Pérez, I.; Ferrero-del-Teso, S.; Escudero, A.; Ferreira, V.; Fernández-Zurbano, P.; Valentin, D. Access to wine experts’ long-term memory to decipher an ill-defined sensory concept: the case of green red wine. OENO One 2021, 55, 69–79. [CrossRef]
- Langlois, J.; Dacremont, C.; Peyron, D.; Valentin, D.; Dubois, D. Lexicon and types of discourse in wine expertise: The case of vin de garde. Food Qual Prefer 2011, 22, 491-498. [CrossRef]
- Picard, M.; Tempère, S.; de Revel, G.; Marchand, S. A sensory study of the ageing bouquet of red Bordeaux wines: A three-step approach for exploring a complex ofactory concept. Food Qual Prefer 2015, 42, 110–122. [CrossRef]
- Malfeito-Ferreira. M. Fine wine flavour perception and appreciation: Blending neuronal processes, tasting methods and expertise. Trend Food Sci Technol 2021, 115, 332–346. [CrossRef]
- Barbe, J.; Garbay, J.; Tempère, S. The sensory space of wines: From concept to evaluation and description. A review. Foods 2021, 10. [CrossRef]
- Sequeira, M.; Malfeito-Ferreira, M. Mental representation of the sensory space of dry white wines “mellowed” by ageing. OENO one 2024, submitted, under the first review round.
- Parr, W. V.; Grose, C.; Hedderley, D.; Maraboli, M. M.; Masters, O.; Araujo, L. D.; Valentin, D. Perception of quality and complexity in wine and their links to varietal typicality: An investigation involving Pinot noir wine and professional tasters. Food Res Int 2020, 137, 109423.
- Ballester, J.; Belascoin, M.; Gonzalez-Hernandez, M.; Parga-Dans, E.; Alonso González, P.; Saenz-Navajas, M.-P. Sensory attributes and quality perception of red natural wines: a comparative study in Spain and France. OENO One 2024, 58(1). [CrossRef]
- Shepherd, H.; Parr, W.; Lo Monaco, G; Heber Rodrigues, H. The meaning of the word elegance as a wine descriptor: Effect of expertise and wine type. Food Res Int 2023, 164, 112399. [CrossRef]
- Sackris, D.; Larsen, R. The Perniciousness of Higher-Order Evidence on Aesthetic Appreciation. Dialogue: Can Phil Rev 2023, 62, 303–322. [CrossRef]
- Malfeito-Ferreira, M. Fine wine recognition and appreciation: It is time to change the paradigm of wine tasting. Food Res Int 2023, 174, 113668. [CrossRef]
- Morrot, G.; Brochet, F.; Dubourdieu, D. The color of odors. Brain Lang 2001, 79, 309–320.
- Ballester. J.; Abdi. H.; Langlois. J.; Peyron. D.; Valentin, D. The odor of colors: Can wine experts and novices distinguish the odors of white. red. and rosé wines? Chemosensory Perception 2009, 2(4). 203–213. [CrossRef]
- Wang, Q. J.; Spence, C. Drinking through rosé-coloured glasses: Influence of wine colour on the perception of aroma and flavour in wine experts and novices. Food Res Int 2019, 126, 108678.
- Shepherd, G. M. Neuroenology: how the brain creates the taste of wine. Flavour 2015, 4(1). [CrossRef]
- Spence. C. Wine psychology: basic & applied. Cogn Research 2020, 5, 22. [CrossRef]
- Parr, W. V.; White, K. G.; Heatherbell, D. The nose knows: influence of colour on perception of wine aroma. J Wine Res 2003, 14, 79–101.
- Brand, J.; Panzer, V.; Buica, A. Wine quality drivers: A case study on South African Chenin Blanc and Pinotage wines. Foods 2020, 9, 805.
- Vitorino, G.; Mota, M.; Malfeito-Ferreira, M. Characterization of sensory perceptions elicited by white wine spiked with different aroma, taste and mouth-feel active molecules. J Vitic Enol 2021, 36, 2, 139 - 150. [CrossRef]
- Peltier, C.; Visalli, M.; Schlich, P. Canonical Variate Analysis of Sensory Profiling Data. J Sensory Stud 2015, 30, 316–328. doi: 10.1111/joss.12160.
- Kanavouras, A.; Coutelieris, F.; Karanika, E.; Kotseridis, Y.; Kallithraka. S. Colour change of bottled white wines as a quality indicator. OENO One 2020, 54, 543–551. [CrossRef]
- Parr, W. V. Demystifying wine tasting: Cognitive psychology's contribution. Food Res Int 2019, 124, 230–233. [CrossRef]
- Wang, Q. J.; Niaura, T.; Kantono, K. How does wine ageing influence perceived complexity? Temporal-Choose-All-That-Apply (TCATA) reveals temporal drivers of complexity in experts and novices. Food Qual Prefer 2021, 92, 104230. [CrossRef]
- Franco-Luesma, E.; Honoré-Chedozeau, C.; Ballester, J.; Valentin, D. Oxidation in wine: Does expertise influence the perception? LWT 2019, 116, 108511. [CrossRef]
- Bueno, M.; Culleré, L.; Cacho. J.; Ferreira, V. Chemical and sensory characterisation of oxidative behavior in different wines. Food Res Int 2010, 43, 1423–1428. [CrossRef]







| Code | Brand | Company | Region (sub-region) | Year | Absorbance |
|---|---|---|---|---|---|
| WDa74 | Branco Dão | CEVa Nelas | Dão | 1974 | 0.201 |
| WBa91 | Vinhas Velhas | Luís Pato | Bairrada | 1991 | 0.782 |
| WPe00 | Catarina | Bacalhôa | Península de Setúbal | 2000 | 0.484 |
| WDa03 | Casa de Santar | Sociedade Agrícola de Santar | Dão | 2003 | 0.286 |
| WBe03 | Quinta dos Termos | Quinta dos Termos | Beira Interior | 2003 | 0.284 |
| WPe08 | Pasmados | José Maria da Fonseca | Península de Setúbal | 2008 | 0.695 |
| WAl10 | Cartuxa | Fundação Eugénio de Almeida | Alentejo | 2010 | 0.221 |
| WAl11 | Dom Rafael | Herdade do Mouchão | Alentejo | 2011 | 0.266 |
| WBe11 | Quinta Vale do Ruivo | José Madeira Afonso | Beira Interior | 2011 | 0.111 |
| WMe11 | Alvarinho | Quinta do Soalheiro | Verde (Melgaço). | 2011 | 0.379 |
| WDa12 | Pedra Cancela | Lusovini | Dão | 2012 | 0.172 |
| WMo12 | Alvarinho | Palácio da Brejoeira | Verde (Monção) | 2012 | 0.181 |
| WMe12 | Alvarinho | Quinta do Soalheiro | Verde (Melgaço) | 2012 | 0.322 |
| WDo13 | Mau Feitio | Vinilourenço | Douro | 2013 | 0.197 |
| WAl15 | Sericaia | Ares Alentejanos | Alentejo | 2015 | 0.143 |
| WMo16 | Alvarinho | Palácio da Brejoeira | Verde (Monção) | 2016 | 0.151 |
| WLi18 | Quinta do Monte d'Oiro | Quinta do Monte D’Oiro | Lisboa | 2018 | 0.092 |
| WDo20 | Fraga da Galhofa (Moscatel Galego) | Vinilourenço | Douro | 2020 | 0.091 |
| Ro06 | Fraga da Galhofa (Rosé) | Vinilourenço | Douro | 2006 | 0.591 |
| Re74 | Periquita (Red) | José Maria da Fonseca | Península de Setúbal | 1974 | 4.939 |
| Attributes | χ² | df | p |
|---|---|---|---|
| Familiarity | 11.9 | 20 | 0.921 |
| Number of Flavours | 15.4 | 20 | 0.751 |
| Ease of Identification | 10.6 | 20 | 0.956 |
| Harmonious | 19.8 | 20 | 0.471 |
| Balance | 26.4 | 20 | 0.152 |
| Linger | 22.1 | 20 | 0.333 |
| Strong/powerful | 24.1 | 20 | 0.238 |
| Complexity | 27.0 | 20 | 0.134 |
| Liking | 29.6 | 20 | 0.076 |
| Quality | 26.1 | 20 | 0.161 |
| Tasting Panels |
Familiarity | Number of Flavours | Ease of Identification | Harmonious | Balance | Linger | Strong and Powerful | Complexity | Liking |
|---|---|---|---|---|---|---|---|---|---|
| Overall | 0.1931 | 0.4243 | 0.150 | 0.4673 | 0.5803 | 0.6313 | 0.5753 | 0.6623 | 0.7703 |
| Critics | 0.211 | 0.4742 | 0.206 | 0.3581 | 0.5052 | 0.6913 | 0.6003 | 0.7583 | 0.8743 |
| Oenologists | 0.063 | 0.6003 | 0.263 | 0.5893 | 0.7053 | 0.6743 | 0.4842 | 0.7263 | 0.8423 |
| Students | 0.026 | 0.201 | -0.058 | 0.4062 | 0.4802 | 0.185 | 0.180 | 0.5222 | 0.5222 |
| Clusters | Descriptors | Predicted age (years) | |||
|---|---|---|---|---|---|
| < 2 | 2-4 | 5-8 | 9-16 | ||
| Freshness | FreshFruit | 23 | 15 | 9 | 1 |
| Floral | 22 | 12 | 12 | 5 | |
| Citrus | 18 | 18 | 12 | 7 | |
| Sweetness | 12 | 7 | 8 | 3 | |
| Chamomile | 13 | 8 | 8 | 4 | |
| Total | 88 | 60 | 50 | 20 | |
| Mature | Kerosene | 1 | 5 | 5 | 8 |
| Bruised apple | 3 | 5 | 5 | 10 | |
| Butter | 3 | 3 | 5 | 8 | |
| Oak | 1 | 4 | 7 | 11 | |
| Beeswax | 2 | 5 | 8 | 12 | |
| Total | 10 | 22 | 28 | 49 | |
| Mellowed | Body | 7 | 7 | 15 | 14 |
| Length | 9 | 11 | 14 | 13 | |
| Viscosity | 4 | 9 | 12 | 12 | |
| Honey | 2 | 6 | 11 | 17 | |
| DriedFruit | 2 | 7 | 11 | 16 | |
| Total | 24 | 40 | 62 | 72 | |
| Austere | Saltiness | 10 | 11 | 12 | 11 |
| Bitterness | 9 | 10 | 10 | 12 | |
| Smoothness | 15 | 10 | 12 | 9 | |
| Dryness | 14 | 15 | 13 | 16 | |
| Acidity | 27 | 26 | 23 | 23 | |
| Total | 75 | 71 | 71 | 72 | |
| Clustera | Wine | Real age | Predicted age | Difference |
|---|---|---|---|---|
| Very young | WDo20 | 0.5 | 1.4 | -0.9 |
| WLi18 | 2.5 | 2.1 | 0.4 | |
| Young | WDo13 | 7.5 | 6.5 | 1.0 |
| WAl15 | 5.5 | 3.4 | 2.1 | |
| WBe11 | 9.5 | 3.7 | 5.8 | |
| Mature | WMe12 | 8.5 | 9.5 | -1.0 |
| WMo16 | 4.5 | 3.8 | 0.7 | |
| WAl11 | 9.5 | 8.3 | 1.2 | |
| WMe11 | 9.5 | 7.2 | 2.3 | |
| WDa12 | 8.5 | 5.0 | 3.5 | |
| WBe03 | 17.5 | 7.0 | 10.5 | |
| Mellowed | WAl10 | 10.5 | 10.7 | -0.2 |
| WPe08 | 12.5 | 13.8 | -1.3 | |
| WMo12 | 8.5 | 7.3 | 1.2 | |
| WPe00 | 20.5 | 13.6 | 6.9 | |
| WDa03 | 18.5 | 10.9 | 7.6 | |
| WBa91 | 29.5 | 16.3 | 13.2 | |
| WDa74 | 46.5 | 10.9 | 35.6 |
Disclaimer/Publisher’s Note: The statements, opinions and data contained in all publications are solely those of the individual author(s) and contributor(s) and not of MDPI and/or the editor(s). MDPI and/or the editor(s) disclaim responsibility for any injury to people or property resulting from any ideas, methods, instructions or products referred to in the content. |
© 2024 by the authors. Licensee MDPI, Basel, Switzerland. This article is an open access article distributed under the terms and conditions of the Creative Commons Attribution (CC BY) license (http://creativecommons.org/licenses/by/4.0/).