Submitted:
12 April 2024
Posted:
15 April 2024
You are already at the latest version
Abstract
Keywords:
Introduction
Materials and Methods
Statistical Analysis
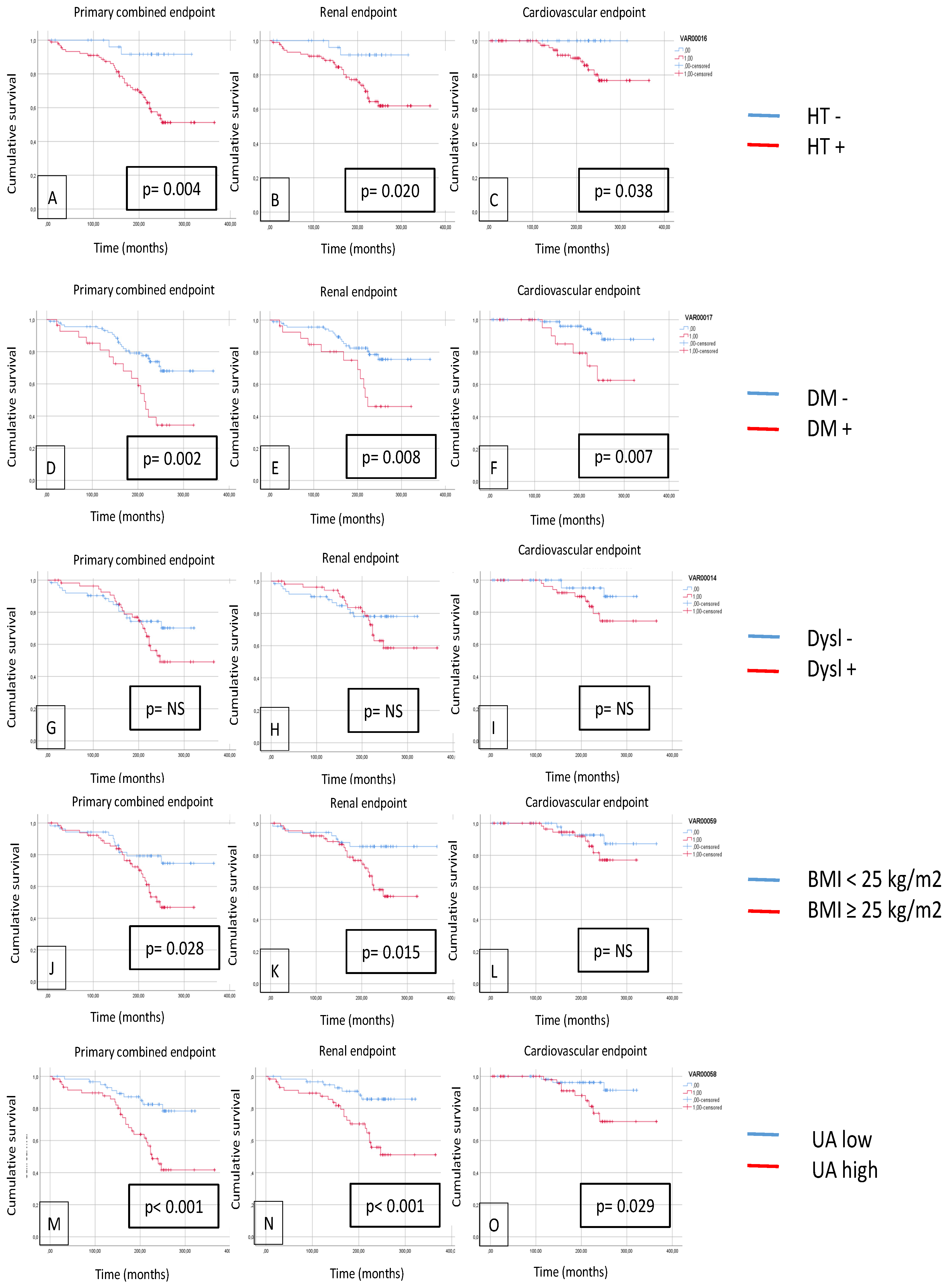
Results
Discussion
Limitations of the Study
Conclusions
Author Contributions
Funding
Availability of Data and Materials
Declarations
Consent for publication
Acknowledgments
Competing interests
References
- Jha V, Garcia-Garcia G, Iseki K, Li Z, Naicker S, Plattner B, Saran R, Wang AY, Yang CW: Chronic kidney disease: Global dimension and perspectives. Lancet 2013;382: 260–272. [CrossRef]
- Gansevoort RT, Correa-Rotter R, Hemmelgarn BR, Jafar TH, Heerspink HJ, Mann JF, Matsushita K, Wen CP: Chronic kidney disease and cardiovascular risk: Epidemiology, mechanisms, and prevention. Lancet 2013;382: 339–352. [CrossRef]
- Canney M, Gunning HM, Zheng Y, Rose C, Jauhal A et al. Risk of Cardiovascular Events in Individuals With Primary Glomerular Diseases. Am J Kidney Dis. 2022;80(6):740-750. [CrossRef]
- Ortiz A, Wanner C, Gansevoort R. Chronic kidney disease as cardiovascular risk factor in routine clinical practice: a position statement by the Council of the European Renal Association. Eur J of Prev Cardiol. 2022;29:2211–2215. [CrossRef]
- Kwon CS, Daniele P, Forsythe A, Ngai C. A Systematic Literature Review of the Epidemiology, Health-Related Quality of Life Impact, and Economic Burden of Immunoglobulin A Nephropathy. J Health Econ Outcomes Res 2021;8(2):36-45. [CrossRef]
- Schena FP, Pesce F. Epidemiology and ancestral difference. In: Lai KN (ed). Recent Advances in IgA Nephropathy. New Jersey: World Scientific Publishing Co., 2009, pp. 9–20.
- Berthoux CB, Mohey H. Clinical course of primary IgA nephropathy. In: Lai KN (ed). Recent Advances in IgA Nephropathy. New Jersey: World Scientific Publishing Co., 2009, pp. 107–120.
- Floege J, Feehally J. IgA nephropathy: recent developments. J Am Soc Nephrol 2000; 11: 2395–2403. [CrossRef]
- Barrat J, Feehally J. IgA nephropathy. J Am Soc Nephrol 2005; 16: 2088–2097.
- Bonett F, Deplere C, Sassolas A et al. Excessive body weight as a new independent risk factor for clinical and pathological progression in primary IgA nephritis. Am J Kid Dis 2001; 37: 720–727. [CrossRef]
- Lee CC, Sun C, Wu IW, Wang SY, Wu MS. Metabolic syndrome loses its predictive power in late-stage chronic kidney disease progression–a paradoxical phenomenon. Clin. Nephrol. 2011, 75, 141–149. [CrossRef]
- Wang Y, Sun B, Sheng LT, Pan XF, Zhou Y, Zhu J, Li X, Yang K, Guo K, Zhang X. et al. Association between weight status, metabolic syndrome, and chronic kidney disease among middle-aged and elderly Chinese. Nutr. Metab. Cardiovasc. Dis. 2020, 30, 2017–2026. [CrossRef]
- Li Y, Xie D, Qin X, Tang G, Xing H, Li Z, Xu X, Xu X, Hou F. Metabolic syndrome, but not insulin resistance, is associated with an increased risk of renal function decline. Clin. Nutr. 2015, 34, 269–275. [CrossRef]
- Thomas G, Sehgal AR, Kashyap SR, Srinivas TR, Kirwan JP, Navaneethan SD. Metabolic Syndrome and Kidney Disease: A Systematic Review and Meta-analysis. Clin. J. Am. Soc. Nephrol. 2011, 6, 2364–2373. [CrossRef]
- Rashidbeygi E, Safabakhsh M, Aghdam SD, Mohammed SH, Alizadeh S. Metabolic syndrome and its components are related to a higher risk for albuminuria and proteinuria: Evidence from a meta-analysis on 10,603,067 subjects from 57 studies. Diabetes Metab. Syndr. Clin. Res. Rev. 2019, 13, 830–843. [CrossRef]
- Syrjänen J, Mustonen J, Pasternack A. Hypertriglyceridaemia and hyperuricemia are risk factors for progression of IgA nephropathy. Nephrol Dial Transplant 2000; 15: 34–42. [CrossRef]
- Yamamoto R, Nagasawa Y, Shoji T et al. Cigarette smoking and progression of IgA nephropathy. Am J Kidney Dis 2010; 56: 313–324. [CrossRef]
- Lakka HM, Laaksonen DE, Lakka TA et al. The metabolic syndrome and total and cardiovascular disease mortality in middle-aged men. JAMA 2002; 288: 2709–2716. [CrossRef]
- Chen J, Muntner P, Hamm LL et al. The metabolic syndrome and chronic kidney disease in US adults. Ann Intern Med 2004; 140: 167–174. [CrossRef]
- Kurella M, Lo JC, Chertow GM. Metabolic syndrome and the risk for chronic kidney disease among nondiabetic adults. J Am Soc Nephrol 2005; 16: 2134–2140. [CrossRef]
- Grundy SM, Cleeman JI, Daniels SR et al. Diagnosis and management of the metabolic syndrome: American Heart Association/National Heart, Lung, and Blood Institute scientific statement. Circulation 2005; 112: 2735–2752. [CrossRef]
- Reaven G. Metabolic syndrome: pathophysiology and implications for management of cardiovascular disease. Circulation 2002; 106: 286–292. [CrossRef]
- Kovács T, Vas T, Kovesdy CP, Késõi I, Sági B, Wittmann I, Nagy J. Metabolic syndrome and other cardiovascular risk factors associated with the progression of IgA nephropathy. Clin Kidney J. 2013 Aug;6(4):395-401. [CrossRef]
- Lastra G, Manrique C, McFarlane S, et al. Cardiometabolic syndrome and chronic kidney disease. Curr Diab Rep 2006; 6: 207–212. [CrossRef]
- Natali A, Pucci G, Boldrini B et al. Metabolic syndrome: at the crossroads of cardiorenal risk. J Nephrol 2009; 22: 29–38.
- Zoccali C. Overweight, obesity and metabolic alterations in chronic kidney disease. Contributions Soc Biol Med Sci MASA 2009; 30: 17–31.
- Thomas G, Sehgal AR, Kashyap SR et al. Metabolic syndrome and kidney disease: a systematic review and meta-analysis. Clin J Am Soc Nephrol 2011; 6: 2364–2373. [CrossRef]
- Lee CC, Sun CY, Wu IW et al. Metabolic syndrome loses its predictive power in late-stage chronic kidney disease progression — a paradoxical phenomenon. Clin Nephrol 2011; 75: 141–149. [CrossRef]
- Fliser D, Pacini G, Engelleiter R et al. Insulin resistance and hyperinsulinemia are already present in patients with incipient renal disease. Kidney Int 1998; 53: 1343–1347. [CrossRef]
- Ștefan G, Zugravu A, Stancu S. Mortality in IgA Nephropathy: A Long-Term Follow-Up of an Eastern European Cohort. Medicina (Kaunas). 2024 Jan 31;60(2):247. [CrossRef]
- Nagy J, Kovacs T. Special clinical syndromes. In: Lai KN (ed). Recent Advances in IgA Nephropathy. New Jersey: World Scientific Publishing Co., 2009, pp. 121–138.
- Kövesdy CP, Trivedi BK, Kalantar-Zadeh K et al. Association of low blood pressure with increased mortality in patients with moderate to severe chronic kidney disease. Nephrol Dial Transplant 2006; 21: 1257–1262. [CrossRef]
- Nagy J, Kovács T, Wittmann I. Renal protection in IgA nephropathy requires strict blood pressure control. Nephrol Dial Transplant 2005; 20: 1533–1539. [CrossRef] [PubMed]
- Kwan BCH, Murtaugh MA, Beddhu S. Associations of body size with metabolic syndrome and mortality in moderate chronic kidney disease. Clin J Am Nephrol 2007; 2: 992–998. [CrossRef]
- Kopple JD, Feroze U. The effect of obesity on chronic kidney disease. J Ren Nutr 2011; 21: 66–71. [CrossRef]
- Hsu C-Y, McCulloch CE, Iribarren C, et al. Body mass index and risk for end-stage renal disease. Ann Intern Med 2006; 144: 21–28. [CrossRef]
- Madero M, Sarnak MJ, Wang Y et al. Body mass index and mortality in CKD. Am J Kidney Dis 2007; 3: 404–411. [CrossRef]
- Kovesdy CP, Anderson JE, Kalantar-Zadeh K. Paradoxical association between body mass index and mortality in men with CKD not yet on dialysis. Am J Kid Dis 2007; 49: 581–591. [CrossRef]
- Tanaka M, Yamada S, Iwasaki Y et al. Impact of obesity on IgA nephropathy: comparative ultrastructural study between obese and non-obese patients. Nephron Clin Pract 2009; 112: 71–78. [CrossRef]
- Shimamoto M, Ohsawa I, Suzuki H, Hisada A, Nagamachi S, Honda D, Inoshita H, Shimizu Y, Horikoshi S, Tomino Y. Impact of Body Mass Index on Progression of IgA Nephropathy Among Japanese Patients. J Clin Lab Anal. 2015;29(5):353-60. [CrossRef]
- Muntner J, Coresh J, Smith J, et al. Plasma lipids and risk of developing renal dysfunction: the atherosclerosis risk in community study. Kidney Int 2000; 58: 293–301. [CrossRef]
- Fried F, Orchard TJ, Kasiske BL. Effect of lipid reduction on the progression of renal disease: a meta-analysis. Kidney Int 2001; 59: 260–269 400 T. Kovács et al. [CrossRef]
- Feig ID. Uric acid: a novel mediator and marker of risk in chronic kidney disease. Curr Opin Nephrol Hypertens 2009; 18: 526–530. [CrossRef]
- Obermayr RP, Temml C, Gutjahr G et al. Elevated uric acid increases the risk for kidney disease. J Am Soc Nephrol 2008; 19: 2407–2413. [CrossRef]
- Myllymäki J, Honkanen T, Syrjänen J, Helin H, Rantala I, Pasternack A, Mustonen J. Uric acid correlates with the severity of histopathological parameters in IgA nephropathy. Nephrol Dial Transplant. 2005;20(1):89-95. [CrossRef]
- Ben-Dov IZ, Kark JD. Serum uric acid is a GFR-independent long-term predictor of acute and chronic renal insufficiency: the Jerusalem Lipid Research Clinic cohort study. Nephrol Dial Transplant 2011; 26: 2558–2566. [CrossRef]
- Alizadeh, S.; Ahmadi, M.; Nejad, B.G.; Djazayeri, A.; Shab-Bidar, S. Metabolic syndrome and its components are associated with increased chronic kidney disease risk: Evidence from a meta-analysis on 11 109 003 participants from 66 studies. Int. J. Clin. Pract. 2018, 72, e13201. [CrossRef]
- Panwar, B.; Hanks, L.J.; Tanner, R.M.; Muntner, P.; Kramer, H.; McClellan, W.M.; Warnock, D.G.; Judd, S.E.; Gutiérrez, O.M. Obesity, metabolic health, and the risk of end-stage renal disease. Kidney Int. 2015, 87, 1216–1222. [CrossRef]
- Lea, J.; Cheek, D.; Thornley-Brown, D.; Appel, L.; Agodoa, L.; Contreras, G.; Gassman, J.; Lash, J.; Miller, E.R., 3rd; Randall, O.; et al. Metabolic Syndrome, Proteinuria, and the Risk of Progressive CKD in Hypertensive African Americans. Am. J. Kidney Dis. 2008, 51, 732–740. [CrossRef]
- Li X, Liang Q, Zhong J, Gan L , Zuo L. The Effect of Metabolic Syndrome and Its Individual Components on Renal Function: A Meta-Analysis. J Clin Med. 2023;12(4):1614. [CrossRef]
- Drawz, P.; Rahman, M. Chronic Kidney Disease. Ann. Intern. Med. 2015, 162, ITC1–ITC16. [CrossRef]
- Kim, H.W.; Park, J.T.; Joo, Y.S.; Kang, S.C.; Lee, J.Y.; Lee, S.; Chang, T.I.; Kang, E.W.; Ryu, D.-R.; Yoo, T.H. Systolic blood pressure and chronic kidney disease progression in patients with primary glomerular disease. J. Nephrol. 2021, 34, 1057–1067. [CrossRef]
- Wang, M.; Xia, M.; Yang, H.; Zhang, D.; Zhao, Y.; He, Y.; Liu, J.; Zhang, L.; Yin, C.; Bai, Y. Interaction effect of blood glucose and pressure on the risk of chronic kidney disease: A population-based prospective cohort study. Endocrine 2022, 77, 252–261. [CrossRef]
- Garofalo, C.; Borrelli, S.; Pacilio, M.; Minutolo, R.; Chiodini, P.; De Nicola, L.; Conte, G. Hypertension and Prehypertension and Prediction of Development of Decreased Estimated GFR in the General Population: A Meta-analysis of Cohort Studies. Am. J. Kidney Dis. 2016, 67, 89–97. [CrossRef]
- Huang, Y.; Cai, X.; Zhang, J.; Mai, W.; Wang, S.; Hu, Y.; Ren, H.; Xu, D. Prehypertension and Incidence of ESRD: A Systematic Review and Meta-analysis. Am. J. Kidney Dis. 2014, 63, 76–83. [CrossRef]
- Rashidi, A.; Ghanbarian, A.; Azizi, F. Are Patients Who Have Metabolic Syndrome without Diabetes at Risk for Developing Chronic Kidney Disease? Evidence Based on Data from a Large Cohort Screening Population. Clin. J. Am. Soc. Nephrol. 2007, 2, 976–983. [CrossRef]
- Echouffo-Tcheugui, J.B.; Narayan, K.M.V.; Weisman, D.; Golden, S.H.; Jaar, B.G. Association between prediabetes and risk of chronic kidney disease: A systematic review and meta-analysis. Diabet. Med. 2016, 33, 1615–1624. [CrossRef]
- Kim, H.; Park, S.; Kwon, S.H.; Jeon, J.S.; Han, D.C.; Noh, H. Impaired fasting glucose and development of chronic kidney disease in non-diabetic population: A Mendelian randomization study. BMJ Open Diabetes Res. Care 2020, 8, e001395. [CrossRef]
- Swi ˛ecicka-Klama, A.; Połtyn-Zaradna, K.; Szuba, A.; Zato ´nska, K. The Natural Course of Impaired Fasting Glucose. ´ Adv. Exp. Med. Biol. 2021, 1324, 41–50. [CrossRef]
- Barbour, S.; Er, L.; Djurdjev, O.; Karim, M.; Levin, A. The prevalence of hematologic and metabolic abnormalities during chronic kidney disease stages in different ethnic groups. Kidney Int. 2008, 74, 108–114. [CrossRef]
- Jankowski, J.; Floege, J.; Fliser, D.; Böhm, M.; Marx, N. Cardiovascular Disease in Chronic Kidney Disease: Pathophysiological Insights and Therapeutic Options. Circulation 2021, 143, 1157–1172. [CrossRef]
- Weldegiorgis, M.; Woodward, M. Elevated triglycerides and reduced high-density lipoprotein cholesterol are independently associated with the onset of advanced chronic kidney disease: A cohort study of 911,360 individuals from the United Kingdom. BMC Nephrol. 2022, 23, 312–319. [CrossRef]
- Ciardullo, S.; Ballabeni, C.; Trevisan, R.; Perseghin, G. Metabolic Syndrome, and Not Obesity, Is Associated with Chronic Kidney Disease. Am. J. Nephrol. 2021, 52, 666–672. [CrossRef]
- Chen, J.; Muntner, P.; Hamm, L.L.; Jones, D.W.; Batuman, V.; Fonseca, V.; Whelton, P.K.; He, J. The Metabolic Syndrome and Chronic Kidney Disease in U.S. Adults. Ann. Intern. Med. 2004, 140, 167–174. [CrossRef]
- Pinto, K.R.D.; Feckinghaus, C.M.; Hirakata, V.N. Obesity as a predictive factor for chronic kidney disease in adults: Systematic review and meta-analysis. Braz. J. Med. Biol. Res. 2021, 54, e10022. [CrossRef]
- Garofalo, C.; Borrelli, S.; Minutolo, R.; Chiodini, P.; De Nicola, L.; Conte, G. A systematic review and meta-analysis suggests obesity predicts onset of chronic kidney disease in the general population. Kidney Int. 2017, 91, 1224–1235. [CrossRef]
- Wang, M.; Wang, Z.; Chen, Y.; Dong, Y. Kidney Damage Caused by Obesity and Its Feasible Treatment Drugs. Int. J. Mol. Sci. 2022, 23, 747. [CrossRef]
- Berthoux, F.; Mariat, C.; Maillard, N. Overweight/obesity revisited as a predictive risk factor in primary IgA nephropathy. Nephrol. Dial. Transplant. 2013, 28, iv160–iv166. [CrossRef]
- Hsu, C.-Y.; McCulloch, C.E.; Iribarren, C.; Darbinian, J.; Go, A.S. Body Mass Index and Risk for End-Stage Renal Disease. Ann. Intern. Med. 2006, 144, 21–28. [CrossRef]
- Chang, A.R.; Grams, M.E.; Ballew, S.H.; Bilo, H.; Correa, A.; Evans, M.; Gutierrez, O.M.; Hosseinpanah, F.; Iseki, K.; Kenealy, T.; et al. Adiposity and risk of decline in glomerular filtration rate: Meta-analysis of individual participant data in a global consortium. BMJ 2019, 364, k5301. [CrossRef]
- Hager, M.R.; Narla, A.D.; Tannock, L.R. Dyslipidemia in patients with chronic kidney disease. Rev. Endocr. Metab. Disord. 2017, 18, 29–40. [CrossRef]
- Stefansson, V.T.; Schei, J.; Solbu, M.D.; Jenssen, T.G.; Melsom, T.; Eriksen, B.O. Metabolic syndrome but not obesity measures are risk factors for accelerated age-related glomerular filtration rate decline in the general population. Kidney Int. 2018, 93, 1183–1190. [CrossRef]
- Soohoo, M.; Hashemi, L.; Hsiung, J.-T.; Moradi, H.; Budoff, M.J.; Kovesdy, C.P.; Kalantar-Zadeh, K.; Streja, E. Association of Serum Triglycerides and Renal Outcomes among 1.6 Million US Veterans. Nephron 2022, 146, 457–468. [CrossRef]
- Chen, S.-C.; Hung, C.-C.; Kuo, M.-C.; Lee, J.-J.; Chiu, Y.-W.; Chang, J.-M.; Hwang, S.-J.; Chen, H.-C. Association of Dyslipidemia with Renal Outcomes in Chronic Kidney Disease. PLoS ONE 2013, 8, e55643. [CrossRef]
- Liao, S.; Lin, D.; Feng, Q.; Li, F.; Qi, Y.; Feng, W.; Yang, C.; Yan, L.; Ren, M.; Sun, K. Lipid Parameters and the Development of Chronic Kidney Disease: A Prospective Cohort Study in Middle-Aged and Elderly Chinese Individuals. Nutrients 2022, 15, 112. [CrossRef]
- Rahman, M.; Yang, W.; Akkina, S.; Alper, A.; Anderson, A.H.; Appel, L.J.; He, J.; Raj, D.S.; Schelling, J.; Strauss, L.; et al. Relation of Serum Lipids and Lipoproteins with Progression of CKD: The CRIC study. Clin. J. Am. Soc. Nephrol. 2014, 9, 1190–1198. [CrossRef]
- Lin HYH, Chang LY, Niu SW, Kuo IC, Yen CH et al. High risk of renal outcome of metabolic syndrome independent of diabetes in patients with CKD stage 1-4: The ICKD database. Diabetes Metab Res Rev. 2023 May;39(4):e3618. [CrossRef]
- Sági B, Késői I, Késői B, Vas T, Csiky B, Kovács T, Nagy J.Arterial stiffness may predict renal and cardiovascular prognosis in autosomal-dominant polycystic kidney disease. Physiol Int. 2018 Jun 1;105(2):145-156. [CrossRef]
- Késoi I, Sági B, Tóth OI, Vas T, Fazekas A, Kovács T, Pintér T, Wittmann I, Nagy J. Different effect of IgA nephropathy and polycystic kidney disease on arterial stiffness. Kidney Blood Press Res. 2011;34(3):158-66. [CrossRef]
- Sági B, Késői I, Vas T, Csiky B, Nagy J, Kovács TJ. Relationship between arterial stiffness, left ventricular diastolic function, and renal function in chronic kidney disease. BMC Nephrol. 2023 Sep 3;24(1):261. [CrossRef]
- Sági B, Késői I, Vas T, Csiky B, Nagy J, Kovács TJ. Left ventricular myocardial mass index associated with cardiovascular and renal prognosis in IgA nephropathy.BMC Nephrol. 2022:16;23(1):285. [CrossRef]
- Anders HJ, Peired AJ, Romagnani P. SGLT2 inhibition requires reconsideration of fundamental paradigms in chronic kidney disease, 'diabetic nephropathy', IgA nephropathy and podocytopathies with FSGS lesions. Nephrol Dial Transplant. 2022;37(9):1609-1615. [CrossRef]
- Caster DJ, Lafayette RA. The Treatment of Primary IgA Nephropathy: Change, Change, Change. Am J Kidney Dis. 2024;83(2):229-240. [CrossRef]





| Clinical data (n=125) | Met sy – (n=60) |
Met sy + (n=65) |
p |
| Man/woman (n/%) | 36/24 (60/40) | 46/19 (71/29) | 0.079 |
| Age (year) (mean and 25-75 percentilis) | 53.2 (43.0-63.0) | 55.4 (44.0-64.0) | 0.109 |
| Average systolic BP (Hgmm) (mean and 25-75 percentile) | 123.5 (115.0-129.25) | 127.4 (117.3-131.2) | 0.002* |
| Average diastolic BP (Hgmm) | 73±9.6 | 75.7±9.5 | 0.231 |
| 24h pulse pressure (Hgmm) (mean and 25-75 percentile) | 49.35 (43.0-54.0) | 53.10 (44.5-56.5) | 0.012* |
| Diurnal index systolic (%) | 10.92±5.08 | 8.36±7.72 | 0.020* |
| Abdominal circumference in males (cm) | 100.2±4.2 | 112.1±6.5 | 0.030* |
| Abdominal circumference in females (cm) | 90.1±5.7 | 94.4±7.3 | 0.023* |
| Metabolic parameters | |||
| Hypertension (n,%) | 41 (68) | 53 (81) | 0.118 |
| BMI (kg/m²) (mean and 25-75 percentile) | 26.5 (22.9-29.7) | 28.6 (23.4-30.1) | 0.001* |
| Dyslipidemia (n,%) | 24 (40) | 34 (52) | 0.137 |
| Diabetes (n, %) | 9 (15) | 21 (32) | 0.087 |
| IFG and IGT (n/%) | 2 (3) | 10 (15) | 0.025* |
| Overweighted (n/%) | 3 (5) | 5 (8) | 0.098 |
| Obesity (n/%) | 2 (3) | 32 (49) | 0.001* |
| Visceral obesity (n/%) | 2 (3) | 28 (43) | 0.001* |
| eGFR (ml/min) | 94.6±29.3 | 78.9±37.9 | 0.005* |
| eGFR <60 ml/min (n/%) | 2 (3) | 4 (6) | 0.086 |
| Duration of kidney disease (year) | 10.2±9.7 | 8.8±9.1 | 0.101 |
| Smoking (n, %) | 7 (12) | 11(17) | 0.156 |
| Therapy | |||
| ACEI/ARB (n,%) | 46 (77) | 60 (92) | 0.079 |
| BB (n,%) | 12 (20) | 19 (29) | 0.178 |
| Statin (n,%) | 16 (27) | 22 (34) | 0.164 |
| CCB (n,%) | 9 (15) | 19 (29) | 0.082 |
| Echocardiographic parameters | |||
| LVEF (%)(mean and 25-75 percentile) | 62.8 (59.0-66.5) | 63.5 (60.1-66.7) | 0.211 |
| LVMI (g/m2) | 103.53±15.95 | 109.21±21.25 | 0.123 |
| LVEDD (cm) | 6.05±6.29 | 5.57±5.13 | 0.173 |
| DD (n/%) | 7 (11) | 17 (26) | <0.001* |
| E/A | 1.18±0.32 | 0.93±0.30 | <0.001* |
| Arterial stiffness | |||
| cfPWV (m/s) (mean and 25-75 percentile) | 9.97 (8.48-11.35) | 11.34 (10.1-12.2) | 0.003* |
| Laboratory results | |||
| Hb (g/dl) | 13.9±1.6 | 13.6±1.7 | 0.245 |
| AU (mg/day) (mean and 25-75 percentile) | 457.48 (65.0-700.0) | 558.34 (75.1-789.1) | 0.078 |
| UA (umol/l) | 303±97.4 | 342±84.9 | 0.009* |
| Total cholesterol (mmol/l) (mean and 25-75 percentile) | 4.97 (4.28-5.51) | 4.79 (4.35-5.41) | 0.124 |
| HDL cholesterol (mmol/l) (mean and 25-75 percentilis) | 1.27 (1.03-1.44) | 1.21 (1.0-1.38) | 0.029* |
| TG (mmol/l) (mean and 25-75 percentilis) | 1.72 (0.93-2.04) | 1.99 (0.99-2.34) | 0.012* |
| Hypercholesterinemia (n/%) | 9 (15) | 21 (32) | 0.04* |
| Hypertriglyceridemia (n/%) | 5 (8) | 52 (80) | 0.001* |
| Earlier CV disease | |||
| Heart failure | 0 (0) | 1(1) | 0.176 |
| Stroke | 0 (0) | 1 (1) | 0.187 |
| CAD | 1 (2) | 3 (5) | 0.087 |
| COPD | 0 (0) | 1 (1) | 0.139 |
| HT (n/%) |
IFG/ IGT (n/%) |
DM (n/%) |
Obesity (n/%) |
Triglyceride (n/%) | HDL cholesterol (n/%) |
Number of positive parameters/ patients (average/n) |
|
| MetS + (n=65) | 53 (82) | 10 (15) | 21 (32) | 32 (49) | 52 (80) | 33 (51) | 201 (3.09) |
| MetS - (n=60) |
41 (68) | 2 (3) | 9 (15) | 2 (3) | 5 (8) | 15(25) | 74 (1.23) |
| Clinical data (n=125) | OR | CI (95%) | p |
| Gender | 4.333 | 3.973-4.761 | 0.001* |
| Age | 2.906 | 2.198-3.214 | 0.026* |
| Average systolic BP | 0.800 | 0.290-0.993 | 0.354 |
| Average diastolic BP | 0.576 | 0.119-0.626 | 0.615 |
| 24h pulse pressure | 0.737 | 0.174-0.947 | 0.535 |
| Diurnal index systolic | 0.559 | 0.283-0.874 | 0.693 |
| Metabolic parameters | |||
| HT | 5.806 | 5.301-6.455 | 0.018* |
| DM | 1.912 | 1.808-2.178 | 0.011* |
| BMI | 2.205 | 1.913-2.742 | 0.021* |
| Dyslipidemia | 3.474 | 2.237-4.546 | 0.034* |
| Diabetes | 0.456 | 0.174-0.826 | 0.982 |
| IFG and IGT | 0.564 | 0.118-0.922 | 0.787 |
| Overweighted | 0.479 | 0.340-0.941 | 0.109 |
| Obesity | 0.367 | 0.204-0.530 | 0.607 |
| eGFR | 3.187 | 2.455-4.366 | 0.021* |
| Duration of kidney disease | 0.718 | 0.387-0.972 | 0.284 |
| Smoking | 0.341 | 0.327-0.823 | 0.499 |
| Echocardiographic parameters | |||
| LVEF | 0.635 | 0.602-0.968 | 0.526 |
| LVMI | 0.460 | 0.068-0.691 | 0.772 |
| LVEDD | 0.508 | 0.285-0.952 | 0.293 |
| Laboratory results | |||
| Hb | 2.237 | 2.151-2.486 | 0.029* |
| AU | 2.568 | 1.933-3.653 | 0.013* |
| UA | 1.837 | 1.735-1.952 | 0.021* |
| Total cholesterol | 0.903 | 0.450-0.937 | 0604 |
| HDL cholesterol | 0.476 | 0.045-0.846 | 0.997 |
| TG | 0.806 | 0.463-0.944 | 0.143 |
| B | p | Exp(B) | 95% CI for Exp(B) lower |
95% CI for Exp(B) upper |
|
| Primary combined endpoint | |||||
| Gender | -0.898 | 0.078 | 0.408 | 0.150 | 1.104 |
| Age | 0.027 | 0.093 | 1.028 | 0.995 | 1.061 |
| Dyslipidemia | 1.144 | 0.034* | 3.140 | 1.091 | 9.042 |
| HT | -0.774 | 0.363 | 0.461 | 0.087 | 2.447 |
| DM | -0.964 | 0.031* | 0.381 | 0.159 | 0.914 |
| BMI | 0.014 | 0.787 | 1.014 | 0.916 | 1.123 |
| eGFR | -0.021 | 0.010* | 0.980 | 0.964 | 0.995 |
| Hb | -0.344 | 0.006* | 0.709 | 0.555 | 0.905 |
| AU | 0.001 | 0.001* | 1.001 | 1.001 | 1.002 |
| UA | 0.004 | 0.083 | 1.004 | 0.999 | 1.009 |
| Secondary renal endpoint | |||||
| Gender | -0.492 | 0.416 | 0.611 | 0.186 | 2.003 |
| Age | 0.021 | 0.234 | 1.021 | 0.986 | 1.058 |
| Dyslipidemia | 1.964 | 0.003* | 7.130 | 1.931 | 26.328 |
| HT | -0.743 | 0.430 | 0.476 | 0.075 | 3.011 |
| DM | -0.568 | 0.285 | 0.567 | 0.200 | 1.605 |
| BMI | 0.087 | 0.151 | 1.091 | 0.969 | 1.228 |
| eGFR | -0.030 | 0.004* | 0.971 | 0.951 | 0.991 |
| Hb | -0.493 | 0.002* | 0.611 | 0.444 | 0.841 |
| AU | 0.002 | 0.001* | 1.002 | 1.001 | 1.002 |
| UA | 0.005 | 0.119 | 1.005 | 0.999 | 1.011 |
| Secondary CV endpoint | |||||
| Gender | -2.632 | 0.029* | 0.072 | 0.007 | 0.759 |
| Age | 0.072 | 0.095 | 1.075 | 0.987 | 1.170 |
| Dyslipidemia | 0.571 | 0.531 | 1.771 | 0.296 | 10.581 |
| HT | -11.318 | 0.961 | 0.001 | 0.001 | 126.263 |
| DM | -2.240 | 0.002* | 0.106 | 0.025 | 0.454 |
| BMI | -0.231 | 0.029* | 0.794 | 0.646 | 0.976 |
| eGFR | -0.002 | 0.874 | 0.998 | 0.969 | 1.027 |
| Hb | -0.260 | 0.192 | 0.771 | 0.521 | 1.140 |
| AU | 0.001 | 0.744 | 1.000 | 0.999 | 1.001 |
| UA | 0.002 | 0.542 | 1.002 | 0.995 | 1.010 |
| B | p | Exp (B) | 95% CI for Exp(B) lower | 95% CI for Exp(B) upper | |
| Primary endpoint | |||||
| Dyslipidemia | -0.008 | 0.981 | 0.992 | 0.493 | 1.995 |
| HT | -1.249 | 0.102 | 0.287 | 0.064 | 1.279 |
| DM | -0.800 | 0.051 | 0.449 | 0.201 | 1.002 |
| BMI | -0.013 | 0.743 | 0.987 | 0.913 | 1.067 |
| UA | 0.006 | 0.002* | 1.006 | 1.002 | 1.009 |
| Secondary renal endpoint | |||||
| Dyslipidemia | 0.114 | 0.777 | 1.121 | 0.508 | 2.475 |
| HT | -0.828 | 0.290 | 0.437 | 0.094 | 2.024 |
| DM | -0.549 | 0.258 | 0.578 | 0.223 | 1.496 |
| BMI | 0.040 | 0.357 | 1.041 | 0.955 | 1.135 |
| UA | 0.006 | 0.003* | 1.006 | 1.002 | 1.010 |
| Secondary CV endpoint | |||||
| Dyslipidemia | -0.728 | 0.254 | 0.483 | 0.138 | 1.687 |
| HT | -12.342 | 0.971 | 0.001 | 0.001 | 8.049 |
| DM | -1.840 | 0.005* | 0.159 | 0.044 | 0.567 |
| BMI | -0.128 | 0.077 | 0.880 | 0.763 | 1.014 |
| UA | 0.004 | 0.150 | 1.004 | 0.998 | 1.010 |
Disclaimer/Publisher’s Note: The statements, opinions and data contained in all publications are solely those of the individual author(s) and contributor(s) and not of MDPI and/or the editor(s). MDPI and/or the editor(s) disclaim responsibility for any injury to people or property resulting from any ideas, methods, instructions or products referred to in the content. |
© 2024 by the authors. Licensee MDPI, Basel, Switzerland. This article is an open access article distributed under the terms and conditions of the Creative Commons Attribution (CC BY) license (http://creativecommons.org/licenses/by/4.0/).
