Preprint
Article

This version is not peer-reviewed.

Substitution of Inorganic Fertilizers with Organic Fertilizers Influences Soil Carbon and Nitrogen Content and Enzyme Activity under Rubber Plantation

A peer-reviewed article of this preprint also exists.

Submitted:

14 April 2024

Posted:

15 April 2024

You are already at the latest version

Abstract
Conventional fertilization practices can lead to many ecological problems, such as nutrient imbalance, soil acidity, and reduced soil fertility in natural rubber plantations. To address these challenges, a field investigation was strategically carried out to substitute inorganic fertilizer with organic fertilizers consisted of six treatments, i.e., no fertilization (CK), inorganic fertilizer (NPK), 25 % replacement of inorganic through organic (25%M), 50 % replacement of inorganic through organic (50%M), 75 % replacement of inorganic through organic (75%M), and 100% organic fertilizer (100%M). The soil physicochemical properties (SOC, TN, AN, C:N, pH, NH4+-N, and NO3--N) and carbon and nitrogen converting enzymes (BG, NAG, and LAP) were all determined. The partial substitution of inorganic fertilizers with organic fertilizers (i.e., 75%M at surface soil layer) showed higher SOC (14.52 g.kg-1), TN (1.06 g.kg-1), AN (20.07 mg.kg-1), C:N (14.63), NH4+-N (10.63 mgkg-1), and NO3--N(11.06 mg.kg-1) than NPK and CK. Such increase in physicochemical properties in partial replacement of inorganic with organic fertilizers plots resulted from higher carbon and nitrogen enzymes activities (BG (143.17 nmol.g-1.h-1), NAG (153.96 nmol.g-1.h-1), and LAP (153.48 nmol.g-1.h-1)) compared to NPK and CK, and further the person correlation and RDA analysis confirmed a significant positive correlation between SOC, AN, and soil enzymes. This study presents a new strategy for assessing the impact of partially replacing inorganic fertilizers with organic fertilizers in rubber plantations, mainly by modifying the soil nutrient composition in tropical regions.
Keywords: 
;  ;  ;  ;  ;  

1. Introduction

Nature rubber (Hevea brasiliensis) is of great economic importance in tropical regions, and its plantations have recently expanded quickly across mainland Southeast Asia and are projected to increase by 8.5 million hectares in the next ten years [1,2]. In rubber agroforestry, the soil tends to be acidic, with low organic matter concentration and soil fertility [2,3,4]. Chemical fertilizers are frequently applied to improve soil fertility and increase rubber yield [5]. However, the excessive use of these fertilizers can cause environmental issues like nutrient imbalance, nitrogen leaching, soil acidification, and low soil fertility [2]. Therefore, there is a need to find a viable approach that might mitigate the adverse effects of chemical fertilizers on the ecosystems, potentially leading to enhanced nutrient accumulation in rubber plantations.
In many agricultural systems, organic fertilizers are frequently used as a partial place of inorganic fertilizers in order to maintain soil organic carbon (SOC) levels and increase the availability of soil N, P, and K [6,7]. According to Salehi et al. (2017), adding both organic and inorganic fertilizers increased soil SOC by 2.45% and total nitrogen (TN) content by 3.27% when compared to the control. However, organic and inorganic fertilizations were reported to result in differences in soil SOC and other soil physicochemical properties, probably because fertilization type, application time, and climate can induce contrasting soil physicochemical properties. In fact, a recent study in a subtropical climate demonstrated that substituting chemical fertilizers with organic fertilizers over 38 years yielded higher soil C, N, and P than chemical fertilizers (NPK) and control (no fertilization) [5]. Besides, after 30 years of co-application of organic and inorganic fertilizers in semi-arid regions, the soil SOC content improved but had no positive effect on soil N, P, and K [9]. However, in tropical areas of Hainan Island, China, where annual mean temperature and precipitation are high, the impact of substitution inorganic fertilizers with organic fertilizers on soil physicochemical properties, SOC, and nitrogen content remains unclear.
Soil enzymatic activity is crucial for assessing the relationship between soil nutrients, especially changes in soil organic carbon content and composition [5,10,11] Recent research indicates that the SOC mineralization process may be influenced by specific enzymes involved in carbon cycling, such as β-1, 4-glucosidase (BG) and cellulase (CEL) [2,12]. Other studies have also shown that the use of fertilizers can cause significant alterations in enzymatic activity and nutrient levels in soil [2,5,13]. However, it is still not fully understood whether the variations in enzyme activities due to the use of organic and inorganic fertilizers are closely connected to changes in soil nutrient concentration in rubber plantations.
China is the sixth-largest natural rubber producer globally, with a total output of 0.65 million metric tons, and Hainan Island is the primary site in China for natural rubber cultivation [14,15]. It is crucial that the use of inorganic fertilizers has resulted in significant soil nutrient depletion, reduced soil enzymatic activity, and land degradation in rubber plantations. However, the comprehensive understanding of the partial replacement of inorganic fertilizers with organic fertilizers on soil SOC and nitrogen content and the enzyme associated with nutrient cycling in rubber plantations is not fully understood in Hainan Island, which is characterized by high annual temperature and precipitation. Therefore, this study aimed to (1) elucidate the influence of partial substitution of inorganic fertilizer with organic fertilizers on soil organic carbon (SOC) and nitrogen (N) properties and SOC and N converting enzyme activity and (2) examine the relationship between SOC, nitrogen characteristic, and soil enzyme activity. This study findings will enhance rubber plantation management through the optimization of fertilization applications, leading to improved environmental quality and sustainable agriculture.

2. Materials and Methods

2.1. Study Area Overview

The research site is located at Zhubi farmland, Baisha County, Hainan Island, China (19°23′13.83″N, 109°17′35.82″E, 114 m above sea level) in a rubber plantation field. The climate in this area is characterized as a tropical monsoon climate, with a period of rainfall occurring from May to October, followed by a dry period from November to April of the subsequent year. The annual average temperature ranges from 21 to 29 ◦C, with an average rainfall of 1,725 mm. As per the USA Soil Classification System, the soil is categorized as Ultisols and is produced from granite brick red soil. The soil composition of the rubber plantation consists of 43.71% sand, 8.28% silt, and 48.01% clay. The basic chemical and physical characteristics are shown in Table 1.

2.2. Experimental Design

In 2004, a clone PR-107 rubber tree was planted at the research site with a recommended density of 3 × 7 m, equal to 480 plants per hectare. Six fertilization treatments with three replications were set up in a randomized complete block design for this study: (1) CK: no fertilization as control, (2) NPK: chemical fertilizer application100, (3) 25%M: manure 25 % plus 75 % chemical fertilizers, (4) 50 % M: manure 50 % plus 50% chemical fertilizers, (5), 75% M: manure 75% plus 25% chemical fertilizers, (6) M: manure application 100%. There was a total of 18 plots chosen for the fertilization treatments. Each plot had an area of 667 m2 and was separated by a 20 m transition zone. The manure comprised cow dung with 5.76 g.kg−1 N, 0.29 g.kg−1 P, and 0.27 g.kg−1 K. Using the local conventional farming practices, we applied the recommended rates of urea, superphosphate, potassium chloride, and organic fertilizer, which were adjusted to ensure equal nitrogen (total nitrogen) substitution. All treated organic fertilizers were applied at one time at the beginning of the experiment in April 2021, and all chemical fertilizers were applied in April, June, and September in accordance with 2:1:1, and the total amount of fertilizer applied to each fertilization pit each year is shown in Table 2.

2.3. Soil Sample Collection and Analysis

In April 2022, five samples were collected from each plot and mixed thoroughly to make a composite sample from a depth of 0-10, 10-20, 20-30, and 30-40 cm using an augur (5 cm in diameter). The samples were then transported/stored in the laboratory using ice bags. The soil was air-dried and sieved through 0.149 mm in order to determine SOC and other soil physical and chemical properties. The second part was kept at 4 ◦C to determine soil moisture content, ammonium nitrogen (NH4+-N), nitrate nitrogen (NO3--N) content, and soil enzyme activities of β-1,4-glucosidase (BG), acetylglucosaminidase (NAG) and L-leucine aminopeptidase (LAP).
The SOC was quantified using the dichromate oxidation method [16]. A pH electrode (PHS-3E, INESA, China) was used to measure the pH of suspension with water in a 1:2.5 ratio. The soil moisture content was determined by the drying method, the total nitrogen content of the soil was extracted by the semi-micro-Kelvin method and determined by a fully automated flow analyzer, and the content of ammonium nitrogen and nitrate nitrogen in the soil was extracted by KCl and determined by automatic flow analyzer (Proxima1022/1/1, Alians Scientific Instruments, France). Using the DeForest (2009) method, soil enzyme activity BG, NAG, and LAP were measured fluorometrically in 300-ml and 96-well polystyrene microplates.

2.4. Statistical Analysis

The normality and homogeneity of variances were evaluated prior to data analysis using the Shapiro-Wilk test (P > 0.05) and Levene test (P > 0.05), respectively. After fulfilling these two criteria, significant differences in SOC, pH, nitrogen properties, and soil enzyme activities were examined through one-way ANOVA using the SPSS statistical software (IBM Crop., Chicago, USD). The statistical significance was evaluated using Tukey’s test, with a fixed significance level of P > 0.05. Pearson correlation analysis and Redundancy analysis (RDA) were performed in Origin and R-Studio [18], and all the figures were created using Origin 2021 (Origin Lab. Crop).

3. Results

3.1. Fertilization Influence on Soil Physiochemical Characteristics

In rubber plantations, there were significant variations in soil physicochemical characteristics among the fertilization application (Figure 1). The SOC exhibited a notable difference the higher SOC occurred for 100% M, followed by 75% M and then 50% M for all depths (Figure 1a). For example, the higher SOC for 100% M displayed as 14.96, 11.36, 11.14, and 11.05 g.kg−1 at 0-10, 10-20, 20-30, and 30-40 cm, respectively. The lower SOC of CK ranged from 8.04 to 13.55 g.kg−1 over all four depths. The differences in SOC also depended on the soil depth, and the most evident differences of SOC among fertilization treatments occurred at 20-30 cm depth. In addition, there were notable differences in soil total nitrogen (TN) between fertilization treatments, as shown in Figure 1b. The 100% M treated plot has the higher TN followed by 75% M and 50% M at all depths. For example, the TN of 100% M treatment varied between 0.86 to 1.02 g.kg−1, 75% M varied between 0.79 to 1.01 g.kg−1, 50% M varied between 0.74 to 1.06 g.kg−1, 25% M varied between 0.71 to 1.05 g.kg−1, NPK varied between 0.68 to 1.02 g.kg−1, and CK varied between 0.65 to 1.02 g.kg−1. The TN among fertilization treatments also depended on soil depth, the most visible difference among fertilization treatments occurred in 20-30 and 30-40 cm depths. There was also a significant difference in C:N, where there was no significant difference in pH (Figure 1cd).
Various levels of replacement of inorganic fertilizer with organic fertilizers resulted in contrasting soil nitrogen mineralization in different soil depths. (Figure 2). The soil mineral nitrogen (N) was significantly different from the higher N observed in NPK treatment followed by 25% M and then CK at all depths (Figure 2a). For example, the lower mineral nitrogen of 100% M was found to be 19.95 mg.kg−1 at 0–10 cm, 16.49 mg.kg−1 at 10–20 cm, 13.25 mg.kg−1 at 20–30 cm, and 12.01 mg.kg−1 at 30–40 cm. The higher N of NPK treatment ranged from 13.4 to 23.09 mg.kg−1. The N is also different among fertilizer applications for soil depths, and the most visible differences are shown at 10-20 and 20-30 cm depths. There were also significant differences in NH+4-N and NO-3-N between fertilization applications, as shown in Figure 2bc. Different from mineral nitrogen order among fertilization applications, the 100% M, 75% M, 50% M, and 25% M had higher NH+4-N than NPK and CK at all depths (Figure 2b). There were also significant differences in NO-3-N among fertilization treatments (Figure 2c). For example, the NO-3-N of 100% M treatment ranged from 5.16 to 10.1 mg.kg−1, 75% M ranged from 5.41 to 11.15 mg.kg−1, 50% M ranged from 4.18 to 11.06 mg.kg−1, 25% M ranged from 3.97 to 9.44 mg.kg−1, NPK ranged from 3.81 to 8.84 mg.kg−1, and CK ranged from 2.46 to 6.2 g.kg−1.

3.2. Fertilization Effect on Soil Enzyme Activities

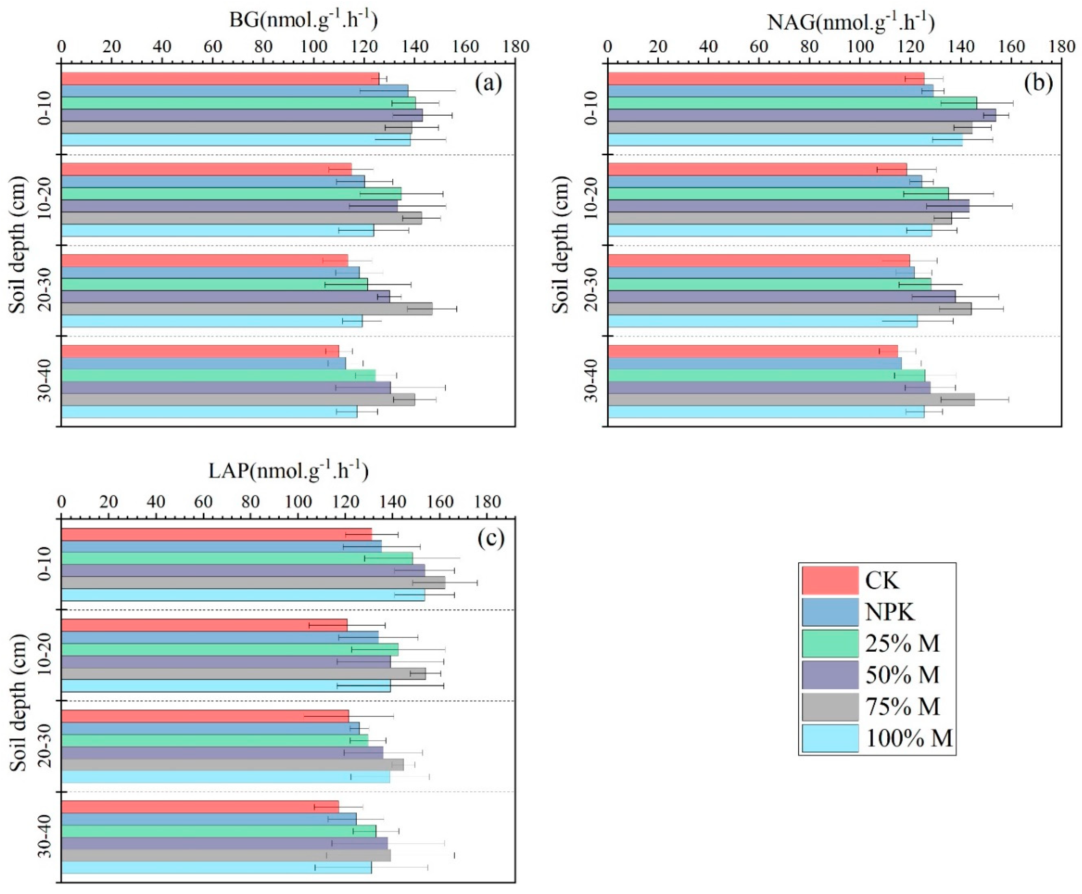
The activities of soil carbon and nitrogen-converting enzymes were significantly different between fertilization treatments (Figure 3). The soil enzyme BG was significantly different among fertilization treatments the higher was recorded for 75% M followed by 50% M and lower for NPK and CK treatment for all depths (Figure 3a). The difference in BG enzyme also depended on soil depth for example, at 0-10 cm depth among fertilization treatments followed an order 50% M (143.17) > 25% M (140.30) > 75% M (138.85)> 100% M (138.27) > NPK > (143.17) > CK (125.82 nmol.g−1.h−1). Similarly, the soil enzyme NAG was significantly different the higher NAG was observed for > 75% M, followed by 50% M, > 25% M, > > 100% M, > NPK, and then CK (Figure 2b). The differences in NAG also depended on the soil depth, and the most evident differences of NAG among fertilization treatments occurred at 0-10 cm depth followed an order 50% M, >25% M, > 75% M,> 100% M, >NPK, and > CK. There were also significant differences in LAP enzyme among fertilization treatments (Figure 3c). The LAP enzyme showed a consistent trend in the other soil layers.

3.3. Relationship between Soil Physiochemical Characteristics and Soil Enzyme Activity

The Pearson correlation analysis further indicated the fertilization effect on soil physiochemical characteristics soil carbon, nitrogen content, and soil enzyme activity at various soil depths (Figure 4). For example, at 0-10 cm depth, the SOC was significantly positively correlated with C:N and pH, while negatively correlated with mineral nitrogen, and nitrate nitrogen and enzyme activity (BG, NAG, and LAP). Redundancy analysis (RDA) was performed using carbon and nitrogen converting enzymes (BG, NAG, and LAP) as dependent variables and soil physicochemical properties (SOC, TN, AN, C:N, pH, NH4+-N, NO3--N) as independent variables (Figure 5). For example, at 0-10 cm soil layer after the partial substitution of inorganic fertilizers with organic fertilizers application the influence of soil physicochemical properties on three soil activities were follow an order NO3N > NH4+-N > pH > C:N > SOC > AN > TN. RDA-1 explained 92.29%, and RDA-2 explained 5.48% of total variations (Figure 1a). The same trends follow for other soil layers.

4. Discussion

4.1. Partial Substitution of Inorganic Fertilizers with Organic Fertilizers Impact on Soil Physicochemical Characteristic

The implementation of management practices can have a substantial influence on the physical and chemical characteristics of soil and significantly influence its overall quality [19]. Our study revealed that partially replacing inorganic fertilizers with organic fertilizers makes it possible to maintain or even enhance the soil C content compared to sole inorganic fertilizer or control. Previous studies have shown that balanced fertilization is a sustainable strategy for preserving soil organic carbon (SOC) contents [5,20]. Using organic amendments can improve soil nutrient availability and increase organic carbon content. Moreover, they can enhance soil structure, decrease soil erosion, and lower nutrient losses through runoff [21]. Furthermore, the use of both organic and inorganic fertilizers resulted in an increase in the nitrogen content of the soil [22,23]. In this study, soil pH was slightly increased by partially replacing inorganic fertilizers with organic fertilizers because the organic fertilizers contain manure, which may increase the soil pH due to the alkaline nature of manure [24]. The correlation analysis and redundancy analysis (RDA) also showed SOC had a positive correlation with soil pH in Figure 4, indicated that pH plays a significant role in organic and inorganic fertilizer application.
Furthermore, this study demonstrates that partial substitution of inorganic fertilizers with organic fertilizers can lead to a considerable increase in soil total nitrogen (TN) and available nitrogen (AN) concentration. Hence, in comparison to inorganic fertilizers, organic fertilizers promote nitrogen accumulation in the soil and improve its capacity for nitrogen storage [5,23,25]. The fertilization had a significant impact on the C:N ratio in this study, consistent with prior research indicating that applying urea to soil with a high C:N ratio can reduce the retention of plant litter as soil organic carbon (SOC) and result in the depletion of existing SOC [26,27]. The soil with a high C:N ratio (<25) signifies that organic matter is accumulating in the soil at a faster rate than it is being decomposed. However, in the current study, the soil C:N ratio varied between 12 and 15.7, suggesting that the soil organic matter has thoroughly degraded [5]. In addition, the partial replacement of conventional N fertilizers with organic fertilizers increased the content of available nitrogen, nitrate, and ammonia in this study. Firstly, organic fertilizers like manure and compost, containing organic matter serving as a substrate for microbial activity, contribute to increased nitrogen availability in soil by releasing NH+4-N during microbial decomposition, which undergoes nitrification processes to convert into NO-3-N, thereby increasing the availability of both forms of nitrogen in soil [28,29]. Secondly, due to extreme weather conditions (high temperature and rainfall) in southern China, Hainan region, nitrogen undergoes rapid conversion in the soil, resulting in the loss of NH4+ and NO3 through ammonia volatilization and nitrate leaching [2]. Thirdly, organic fertilizers lead to enhanced soil structure and water retention capacity, which might create a condition that is favorable for nitrification processes and promote the accumulation of nitrate and ammonia ions in the soil [29].

4.2. Partial Substitution of Inorganic Fertilizers with Organic Fertilizers Impact on Soil Enzyme Activity

The study of soil nitrogen and carbon-converting enzymes and their changes under partial substitution of inorganic fertilizers with organic fertilizers is essential for understanding soil health and nutrient flow in agroecosystems. According to the findings of this study, the partial substitution of inorganic fertilizers with organic fertilizers significantly increased the soil enzyme activity relative to sole NPK and CK in Figure 3, consistent with the previous study [2,5]. Organic fertilizers contribute to improved plant growth and development by improving root biomass and exudates, which in turn enhance soil enzyme activity [6]. Organic fertilizers can help adjust the C:N ratio to provide a more suitable environment for microorganisms. Nevertheless, organic fertilizers have a more significant impact on soil extracellular enzyme activity. This is probably due to exogenous organic materials stimulating C-related enzymes that speed up the degradation of cellulose, hemicellulose, and lignin [30]. Organic fertilizers can supply soil enzyme substrates, leading to increased enzyme activity and providing protection against carbon and nitrogen depletion [27].
Soil pH influences enzyme activity and biosynthesis by altering microbial composition and nutrient availability [31]. Our study revealed a substantial positive correlation between soil pH and all soil enzymes in the surface soil (Figure 4). Partially substituting inorganic fertilizer with organic fertilizer may have caused an elevation in soil pH in the acidic tropical soil, thereby increasing BG, NAG, and LAP activities in the soil [2,31]. Furthermore, the partial replacement of inorganic fertilizers with organic fertilizers can enhance the synthesis of enzymes that degrade carbon and acquire nitrogen in response to sole nitrogen fertilizer. The soil enzymes BG, NAG, and LAP exhibited a strong positive relationship with SOC and TN, indicating their essential function in breaking down proteins [13,32]. Considering proteins make up 60% of the total nitrogen in plant and microbial cells, LAP may be the critical factor in nitrogen mineralization [33].

5. Conclusion

Our study explored the influence of partial substitution of inorganic fertilizers with organic fertilizers on soil physicochemical characteristics, SOC and nitrogen concentrations, and soil enzyme activity under natural rubber plantations. The results demonstrated that the application of partial substitution of chemical fertilizers with organic fertilizers significantly influences the nutrient content. The influence is primarily achieved through alteration in SOC and nitrogen concentrations, nitrogen mineralization, and soil enzyme activity. Notably, the 50% M and 75% M treatments significantly increased the SOC and nitrogen concentrations, as well as soil enzyme activity, compared to sole NPK and CK. The results showed that in a rubber plantation on Hainan Island, replacing inorganic fertilizers with organic fertilizers could help preserve soil organic carbon stability, nitrogen concentration, and enzyme activity. We recommended considering that 50 % or 75 % organic fertilizers with inorganic fertilizers could be an optimal strategy to enhance nutrient availability for sustainable agricultural production in Hainan Island.

Author Contributions

Q.Y. Writing original draft, Data curation. J.L. Writing original draft, Data curation. W. X. Data curation. J.W. Data curation, Y.J: Data curation, Writing—review & editing. W.A. Writing—review & editing, Supervision, Methodology, Funding acquisition, Conceptualization, Data curation. W.L. Writing—review & editing, Supervision, Methodology, Funding acquisition, Conceptualization.

Acknowledgments

This work was financially supported by the Key Research and Development Project of Hainan Province (No. ZDYF2022XDNY181), the National Natural Science Foundation of China (No. 42367034 and 32160291), and the National Key Research and Development Program of China (No. 2018YFD0201105).

Conflicts of interest

The authors declare that they have no known competing financial interests or personal relationships that could have appeared to influence the work reported in this paper.

References

  1. Xiao, H.F.; Tian, Y.H.; Zhou, H.P.; Ai, X.S.; Yang, X.D.; Schaefer, D.A. Intensive Rubber Cultivation Degrades Soil Nematode Communities in Xishuangbanna, Southwest China. Soil Biology and Biochemistry 2014, 76, 161–169. [Google Scholar] [CrossRef]
  2. Xu, W.; Liu, W.; Tang, S.; Yang, Q.; Meng, L.; Wu, Y.; Wang, J.; Wu, L.; Wu, M.; Xue, X.; et al. Long-Term Partial Substitution of Chemical Nitrogen Fertilizer with Organic Fertilizers Increased SOC Stability by Mediating Soil C Mineralization and Enzyme Activities in a Rubber Plantation of Hainan Island, China. Applied Soil Ecology 2023, 182, 104691. [Google Scholar] [CrossRef]
  3. Song, Y.; Zhao, Q.; Guo, X.; Ali, I.; Li, F.; Lin, S.; Liu, D. Effects of Biochar and Organic-Inorganic Fertilizer on Pomelo Orchard Soil Properties, Enzymes Activities, and Microbial Community Structure. Frontiers in Microbiology 2022, 13, 1–13. [Google Scholar] [CrossRef] [PubMed]
  4. Yang, Y.; Ji, C.; Ma, W.; Wang, S.; Wang, S.; Han, W.; Mohammat, A.; Robinson, D.; Smith, P. Significant Soil Acidification across Northern China’s Grasslands during 1980s–2000s. Global Change Biology 2012, 18, 2292–2300. [Google Scholar] [CrossRef]
  5. Qaswar, M.; Jing, H.; Ahmed, W.; Abbas, M.; Dongchu, L.; Khan, Z.H.; Jusheng, G.; Shujun, L.; Huimin, Z. Linkages between Ecoenzymatic Stoichiometry and Microbial Community Structure under Long-Term Fertilization in Paddy Soil: A Case Study in China. Applied Soil Ecology 2021, 161, 103860. [Google Scholar] [CrossRef]
  6. Liu, B.; Xia, H.; Jiang, C.; Riaz, M.; Yang, L.; Chen, Y.; Fan, X.; Xia, X. 14 Year Applications of Chemical Fertilizers and Crop Straw Effects on Soil Labile Organic Carbon Fractions, Enzyme Activities and Microbial Community in Rice-Wheat Rotation of Middle China. Science of The Total Environment 2022, 841, 156608. [Google Scholar] [CrossRef]
  7. Wang, H.; Xu, J.; Liu, X.; Zhang, D.; Li, L.; Li, W.; Sheng, L. Effects of Long-Term Application of Organic Fertilizer on Improving Organic Matter Content and Retarding Acidity in Red Soil from China. Soil and Tillage Research 2019, 195, 104382. [Google Scholar] [CrossRef]
  8. Salehi, A.; Fallah, S.; Sourki, A.A. Organic and Inorganic Fertilizer Effect on Soil CO2 Flux, Microbial Biomass, and Growth of Nigella Sativa L. International Agrophysics 2017, 31, 103–116. [Google Scholar] [CrossRef]
  9. Liu, E.; Yan, C.; Mei, X.; Zhang, Y.; Fan, T. Long-Term Effect of Manure and Fertilizer on Soil Organic Carbon Pools in Dryland Farming in Northwest China. PLoS ONE 2013, 8, e56536. [Google Scholar] [CrossRef]
  10. Xu, W.; Yang, Q.; Jiang, Y.; Yu, J.; Li, J.; Liu, W.; Wu, Z. Improving Soil PH, Nutrient Concentrations, and Enzyme Activities by Green Manure Returning in Young and Mature Rubber Plantation on Hainan Island, China. Plant and Soil 2023, 1–28. [Google Scholar] [CrossRef]
  11. Darby, B.A.; Goodale, C.L.; Chin, N.A.; Fuss, C.B.; Lang, A.K.; Ollinger, S. V.; Lovett, G.M. Depth Patterns and Connections between Gross Nitrogen Cycling and Soil Exoenzyme Activities in Three Northern Hardwood Forests. Soil Biology and Biochemistry 2020, 147, 107836. [Google Scholar] [CrossRef]
  12. Wang, J.; Fu, X.; Ghimire, R.; Sainju, U.M.; Jia, Y.; Zhao, F. Responses of Soil Bacterial Community and Enzyme Activity to Organic Matter Components under Long-Term Fertilization on the Loess Plateau of China. Applied Soil Ecology 2021, 166, 103992. [Google Scholar] [CrossRef]
  13. Ashraf, M.N.; Jusheng, G.; Lei, W.; Mustafa, A.; Waqas, A.; Aziz, T.; Khan, W.-D.; Shafeeq-ur-Rehman; Hussain, B.; Farooq, M.; et al. Soil Microbial Biomass and Extracellular Enzyme–Mediated Mineralization Potentials of Carbon and Nitrogen under Long-Term Fertilization (&gt; 30 Years) in a Rice–Rice Cropping System. Journal of Soils and Sediments 2021, 21, 3789–3800. [Google Scholar] [CrossRef]
  14. Li, T.; Hong, X.; Liu, S.; Wu, X.; Fu, S.; Liang, Y.; Li, J.; Li, R.; Zhang, C.; Song, X.; et al. Cropland Degradation and Nutrient Overload on Hainan Island: A Review and Synthesis. Environmental Pollution 2022, 313, 120100. [Google Scholar] [CrossRef] [PubMed]
  15. Huang, Y.; Jing, Y.; Bei, M.; Yang, H.; Cha, Z.; Lin, Q.; Luo, W. Short-Term Effects of Organic Amendments on Soil Fertility and Root Growth of Rubber Trees on Hainan Island, China. Journal of Forestry Research 2020, 31, 2137–2144. [Google Scholar] [CrossRef]
  16. Walkley, A.; Black, I.a. An examination of the degtjareff method for determining soil organic matter, and a proposed modification of the chromic acid titration method. Soil Science 1934, 37, 29–38. [Google Scholar] [CrossRef]
  17. DeForest, J.L. The Influence of Time, Storage Temperature, and Substrate Age on Potential Soil Enzyme Activity in Acidic Forest Soils Using MUB-Linked Substrates and l-DOPA. Soil Biology and Biochemistry 2009, 41, 1180–1186. [Google Scholar] [CrossRef]
  18. Team, R.C. A Language and Environment for Statistical Computing 2017.
  19. Liu, Z.; Rong, Q.; Zhou, W.; Liang, G. Effects of Inorganic and Organic Amendment on Soil Chemical Properties, Enzyme Activities, Microbial Community and Soil Quality in Yellow Clayey Soil. PLOS ONE 2017, 12, e0172767. [Google Scholar] [CrossRef]
  20. Fan, H.; Chen, Q.; Qin, Y.; Chen, K.; Tu, S.; Xu, M.; Zhang, W. Soil Carbon Sequestration under Long-Term Rice-Based Cropping Systems of Purple Soil in Southwest China. Journal of Integrative Agriculture 2015, 14, 2417–2425. [Google Scholar] [CrossRef]
  21. Cerdà, A.; Rodrigo-Comino, J.; Giménez-Morera, A.; Keesstra, S.D. An Economic, Perception and Biophysical Approach to the Use of Oat Straw as Mulch in Mediterranean Rainfed Agriculture Land. Ecological Engineering 2017, 108, 162–171. [Google Scholar] [CrossRef]
  22. Eltelib, H.A.; Hamad, M.A.; Ali, E.E. The Effect of Nitrogen and Phosphorus Fertilization on Growth, Yield and Quality of Forage Maize (Zea Mays L.). Journal of Agronomy 2006, 5, 515–518. [Google Scholar] [CrossRef]
  23. Gao, P.; Zhang, T.; Lei, X.; Cui, X.; Lu, Y.; Fan, P.; Long, S.; Huang, J.; Gao, J.; Zhang, Z.; et al. Improvement of Soil Fertility and Rice Yield after Long-Term Application of Cow Manure Combined with Inorganic Fertilizers. Journal of Integrative Agriculture 2023, 22, 2221–2232. [Google Scholar] [CrossRef]
  24. Azevedo, R.S.S.; de Sousa, J.R.; Araujo, M.T.F.; Martins Filho, A.J.; de Alcantara, B.N.; Araujo, F.M.C.; Queiroz, M.G.L.; Cruz, A.C.R.; Vasconcelos, B.H.B.; Chiang, J.O.; et al. In Situ Immune Response and Mechanisms of Cell Damage in Central Nervous System of Fatal Cases Microcephaly by Zika Virus. Scientific Reports 2018, 8, 1. [Google Scholar] [CrossRef]
  25. Tu, Q.; Zhang, Z.; Liu, M. Effect of Reducing Nitrogen and Applying Organic Fertilizer on Nitrogen Use Efficiency and Rice Yield in Red Soil Regions of the Southern China. Journal of Energy, Environmental & Chemical Engineering 2021, 6, 10. [Google Scholar] [CrossRef]
  26. Finn, D.; Page, K.; Catton, K.; Strounina, E.; Kienzle, M.; Robertson, F.; Armstrong, R.; Dalal, R. Effect of Added Nitrogen on Plant Litter Decomposition Depends on Initial Soil Carbon and Nitrogen Stoichiometry. Soil Biology and Biochemistry 2015, 91, 160–168. [Google Scholar] [CrossRef]
  27. Qaswar, M.; Ahmed, W.; Jing, H.; Hongzhu, F.; Xiaojun, S.; Xianjun, J.; Kailou, L.; Yongmei, X.; Zhongqun, H.; Asghar, W.; et al. Soil Carbon (C), Nitrogen (N) and Phosphorus (P) Stoichiometry Drives Phosphorus Lability in Paddy Soil under Long-Term Fertilization: A Fractionation and Path Analysis Study. PLOS ONE 2019, 14, e0218195. [Google Scholar] [CrossRef]
  28. Lyu, H.; Li, Y.; Wang, Y.; Wang, P.; Shang, Y.; Yang, X.; Wang, F.; Yu, A. Drive Soil Nitrogen Transformation and Improve Crop Nitrogen Absorption and Utilization—a Review of Green Manure Applications. Frontiers in Plant Science 2024, 14, 1–15. [Google Scholar] [CrossRef]
  29. Fan, T.; Zhang, X.; Wan, Y.; Deng, R.; Zhu, H.; Wang, X.; Wang, S.; Wang, X. Effect of Different Livestock Manure Ratios on the Decomposition Process of Aerobic Composting of Wheat Straw. Agronomy 2023, 13, 2916. [Google Scholar] [CrossRef]
  30. Cui, Y.; Fang, L.; Guo, X.; Wang, X.; Zhang, Y.; Li, P.; Zhang, X. Ecoenzymatic Stoichiometry and Microbial Nutrient Limitation in Rhizosphere Soil in the Arid Area of the Northern Loess Plateau, China. Soil Biology and Biochemistry 2018, 116, 11–21. [Google Scholar] [CrossRef]
  31. Liu, M.; Zhang, W.; Wang, X.; Wang, F.; Dong, W.; Hu, C.; Liu, B.; Sun, R. Nitrogen Leaching Greatly Impacts Bacterial Community and Denitrifiers Abundance in Subsoil under Long-Term Fertilization. Agriculture, Ecosystems & Environment 2020, 294, 106885. [Google Scholar] [CrossRef]
  32. Mooshammer, M.; Wanek, W.; Zechmeister-Boltenstern, S.; Richter, A. Stoichiometric Imbalances between Terrestrial Decomposer Communities and Their Resources: Mechanisms and Implications of Microbial Adaptations to Their Resources. Frontiers in Microbiology 2014, 5, 1–10. [Google Scholar] [CrossRef] [PubMed]
  33. Ashraf, M.N.; Hu, C.; Wu, L.; Duan, Y.; Zhang, W.; Aziz, T.; Cai, A.; Abrar, M.M.; Xu, M. Soil and Microbial Biomass Stoichiometry Regulate Soil Organic Carbon and Nitrogen Mineralization in Rice-Wheat Rotation Subjected to Long-Term Fertilization. Journal of Soils and Sediments 2020, 20, 3103–3113. [Google Scholar] [CrossRef]
Figure 1. Partial substitution of inorganic fertilizers with organic fertilizers effect on soil carbon, soil total nitrogen, C:N, and soil pH under rubber plantation.
Figure 1. Partial substitution of inorganic fertilizers with organic fertilizers effect on soil carbon, soil total nitrogen, C:N, and soil pH under rubber plantation.
Preprints 103873 g001
Figure 2. Partial substitution of inorganic fertilizers with organic fertilizers effect on soil mineral nitrogen, ammonium nitrogen, and nitrate nitrogen under rubber plantation.
Figure 2. Partial substitution of inorganic fertilizers with organic fertilizers effect on soil mineral nitrogen, ammonium nitrogen, and nitrate nitrogen under rubber plantation.
Preprints 103873 g002
Figure 3. Partial substitution of inorganic fertilizers with organic fertilizers effect on soil enzyme activities of β-1,4-glucosidase (BG), acetylglucosaminidase (NAG) and L-leucine aminopeptidase (LAP) under rubber plantation.
Figure 3. Partial substitution of inorganic fertilizers with organic fertilizers effect on soil enzyme activities of β-1,4-glucosidase (BG), acetylglucosaminidase (NAG) and L-leucine aminopeptidase (LAP) under rubber plantation.
Preprints 103873 g003
Figure 4. Pearson correlation (P < 0.05) for SOC: soil organic carbon, TN: total nitrogen, C;N, pH, MN: mineral nitrogen, NH+4-N, NO-3-N, BG: β-1,4-glucosidase, NAG: acetylglucosaminidase, LAP: L-leucine aminopeptidase. The dark brown color indicates a positive correlation, and the pine green color represents a negative correlation.
Figure 4. Pearson correlation (P < 0.05) for SOC: soil organic carbon, TN: total nitrogen, C;N, pH, MN: mineral nitrogen, NH+4-N, NO-3-N, BG: β-1,4-glucosidase, NAG: acetylglucosaminidase, LAP: L-leucine aminopeptidase. The dark brown color indicates a positive correlation, and the pine green color represents a negative correlation.
Preprints 103873 g004
Figure 5. Redundancy analysis (RDA) showing effects of soil carbon soil nitrogen on soil enzyme activities under partial substitution of inorganic fertilizers with organic fertilizer. Red solid arrows indicate the significant effects of explanatory variables on response variables (blue arrows).
Figure 5. Redundancy analysis (RDA) showing effects of soil carbon soil nitrogen on soil enzyme activities under partial substitution of inorganic fertilizers with organic fertilizer. Red solid arrows indicate the significant effects of explanatory variables on response variables (blue arrows).
Preprints 103873 g005
Table 1. Basic soil conditions of different soil layers in rubber plantation.
Table 1. Basic soil conditions of different soil layers in rubber plantation.
Soil depth (cm) 0-10 10-20 20-30 30-40
SOC (g.kg−1) 16.23 15.89 13.66 11.95
TN (g.kg−1) 0.91 0.61 0.69 0.73
NH+4-N (mg.kg−1) 10.37 8.56 9.65 7.37
NO-3-N (mg.kg−1) 10.10 5.96 4.94 5.16
pH 5.69 5.83 5.78 5.80
BG (nmol.g−1.h−1) 138.85 142.69 146.85 139.98
NAG (nmol.g−1.h−1) 144.55 136.31 144.16 145.48
LAP (nmol.g−1.h−1) 162.14 153.92 144.71 139.16
Table 2. Fertilization treatment plan in rubber plantation.
Table 2. Fertilization treatment plan in rubber plantation.
Treatment Total amount of fertilizers (kg)
Urea Ca(H2PO4)2.H2O KCl Organic Fertilizer
NPK 1.79 1.36 0.18 0.00
25%M 1.34 1.27 0.16 35.78
50%M 0.90 1.18 0.15 71.57
75%M 0.45 1.10 0.13 107.35
100%M 0.00 1.01 0.12 143.13
CK 0.00 0.00 0.00 0.00
Disclaimer/Publisher’s Note: The statements, opinions and data contained in all publications are solely those of the individual author(s) and contributor(s) and not of MDPI and/or the editor(s). MDPI and/or the editor(s) disclaim responsibility for any injury to people or property resulting from any ideas, methods, instructions or products referred to in the content.
Copyright: This open access article is published under a Creative Commons CC BY 4.0 license, which permit the free download, distribution, and reuse, provided that the author and preprint are cited in any reuse.
Prerpints.org logo

Preprints.org is a free preprint server supported by MDPI in Basel, Switzerland.

Subscribe

Disclaimer

Terms of Use

Privacy Policy

Privacy Settings

© 2026 MDPI (Basel, Switzerland) unless otherwise stated