Submitted:
31 March 2024
Posted:
02 April 2024
You are already at the latest version
Abstract
Keywords:
1. The Cosmic Age in Cosmology






2. Two Cosmological Redshift Formulas and Their Implications
3. What Modern Telescopes Have Revealed About the Earliest Galaxies and Their Supermassive Black Holes
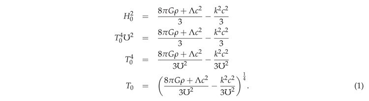
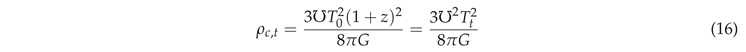
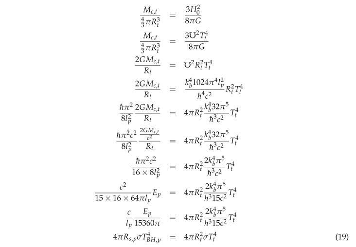
4. How the Stefan-Boltzmann Law is Inextricably Linked with Our Thermodynamic Friedmann Equation
, we can substitute in the above equation:


so, by squaring,
and remembering , we have:
5. Summary and Conclusions
References
- F. Melia and Shevchuk A. S. H. The rh=ct universe. Monthly Notices of the Royal Astronomical Society, 419:2579, 2012. [CrossRef]
- M. Kutschera and Dyrda M. Coincidence of universe age in Λ-cdm and Milne cosmologies. arXiv:astro-ph/0605175, 2006. [CrossRef]
- E. Valentino et. al. In the realm of the Hubble tension – a review of solutions. Classical and Quantum Gravity, 38:153001, 2021. [CrossRef]
- D. et. al Valcin. The age of the universe with globular clusters: reducing systematic uncertainties. Journal of Cosmology and Astroparticle Physics, 2021:017, 2021. [CrossRef]
- E. G. Haug and E. T. Tatum. Friedmann type equations in thermodynamic form lead to much tighter constraints on the critical density of the universe. https://www.preprints.org/manuscript/202403.1241/v2, /: URL https, 2024.
- A. Friedmann. Über die krüng des raumes. Zeitschrift für Physik, 10:377, 1922. [CrossRef]
- E. T. Tatum, E. G. EHaug, and S. Wojnow. High precision Hubble constant determinations based upon a new theoretical relationship between CMB temperature and H0. Hal archive, 2023. [Google Scholar]
- E. T. Tatum. Upsilon constants and their usefulness in Planck scale quantum cosmology. Journal of Modern Physics, 15:167, 2024. [CrossRef]
- E. T. Tatum, U. V. S. Seshavatharam, and S. Lakshminarayana. The basics of flat space cosmology. International Journal of Astronomy and Astrophysics, 5:116, 2015. [Google Scholar] [CrossRef]
- E. G. Haug and S. Wojnow. How to predict the temperature of the CMB directly using the Hubble parameter and the Planck scale using the Stefan-Boltzman law. Research Square, Pre-print, under consideration by journal, 2023. [CrossRef]
- E. G. Haug. CMB, Hawking, Planck, and Hubble scale relations consistent with recent quantization of general relativity theory. International Journal of Theoretical Physics, 63(57), 2024. [CrossRef]
- E. G. Haug and E. T. Tatum. Solving the Hubble tension by extracting current CMB temperature from the Union2 supernova database. Hal archive, /: URL https, 2024.
- E. G. Haug and E. T. Tatum. Planck length from cosmological redshifts solves the Hubble tension. ResearchGate.org 2024. [CrossRef]
- S. Dhal, S. Singh, K. Konar, and R. K. Paul. Calculation of cosmic microwave background radiation parameters using cobe/firas dataset. Experimental Astronomy (2023), 612:86, 2023. [Google Scholar] [CrossRef]
- D. J. Fixsen. The temperature of the cosmic microwave background. The Astrophysical Journal, 707:916, 2009. [CrossRef]
- P. Noterdaeme, P. Petitjean, R. Srianand, C . Ledoux, and S. López. The evolution of the cosmic microwave background temperature. Astronomy and Astrophysics 526, 2011. [CrossRef]
- D. J. Fixsen et. al. The temperature of the cosmic microwave background at 10 ghz. The Astrophysical Journal, 612:86, 2004. [CrossRef]
- Y. S. Murakami et. al Leveraging SN Ia spectroscopic similarity to improve the measurement of H0. arXiv:2306.00070, arXiv:2306.00070.
- T. de Jaeger, L. Galbany, A. G. Riess, B. E. Stahl, B. J. Shappee, A. V. Filippenko, and Zheng W. A 5 percent measurment of the Hubble–Lamaîte constant from Type II supernovae. Monthly Notices of the Royal Astronomical Society, 51:4620, 2022. [Google Scholar] [CrossRef]
- A. G. Riess et. al. A comprehensive measurement of the local value of the Hubble constant with 1 km s-1 mpc-1 uncertainty from the Hubble space telescope and the sh0es team. The Astrophysical Journal 934, 2021. [CrossRef]
- N. Aghanim et. al. Planck Collaboration; Aghanim. Planck 2018 results. vi. cosmological parameters. Astronomy & Astrophysics 641, 2020. [CrossRef]
- A. Sneppen, D. Watson, D. Poznanski, O. Just, A. Bauswein, and R. Wojtak. Measuring the hubble constant with kilonovae using the expanding photosphere method. Astronomy and Astrophysics, 678, 2023. [Google Scholar] [CrossRef]
- L. Balkenhol et. al. Measurement of the CMB temperature power spectrum and constraints on cosmology from the SPT-3g 2018 TT, TE, and EE dataset. Physical Review D, 108:023510, 2023. [CrossRef]
- P. L. Kelly et. al. Constraints on the Hubble constant from supernova Refsdal’s reappearance. Science, 380:6649, 202. [CrossRef]
- E. T. Tatum and E. G. Haug. Extracting a cosmic age of 14.6 billion years from all 580 type Ia supernova redshifts in the Union2 database. ResearchGate.org 2024. [CrossRef]
- J. A. S. Lima, A. I. Silva, and S. M. Viegas. Is the radiation temperature±redshift relation of the standard cosmology in accordance with the data? Monthly Notices of the Royal Astronomical Society, 312:747, 2000. [Google Scholar] [CrossRef]
- D.A. Riechers, A. Weiss, and F. et al. Walter. Microwave background temperature at a redshift of 6.34 from H2O absorption. Nature 602:58, 2022. [CrossRef]
- L. J. Furtak et. al. A supermassive black hole in the early universe growing in the shadows. arXiv:2308.05735 2023, arXiv:2308.05735, 2023. [CrossRef]
- A. Ferrara and P. Pallottini, and A . Dayal. On the stunning abundance of super-early, luminous galaxies revealed by JWST. Monthly Notices of the Royal Astronomical Society, 522:3986, 2023. [CrossRef]
- Y. Harikane et. al . Pure spectroscopic constraints on uv luminosity functions and cosmic star formation history from 25 galaxies at zspec =8.61-13.20 confirmed with jwst/nirspec. Astrophysics Journal, 960:56, 2023. [CrossRef]
- J. E. Greene et. al . Uncover spectroscopy confirms a surprising ubiquity of agn in red galaxies at z>5. arXiv:2309.05714 2023, arXiv:2309.05714, 2023. [CrossRef]
- J. F. Baggen et. al. Sizes and mass profiles of candidate massive galaxies discovered by JWST at 7<z<9: Evidence for very early formation of the central –100pc of present-day ellipticals. The Astrophysical Journal Letters 955, 2023. [CrossRef]
- F. Pacucci et. al . JWST ceers and jades active galaxies at z=4-7 violate the local m.–m. relation at >3σ: Implications for low-mass black holes and seeding models. Astrophysics Journal 957, 2023. [CrossRef]
- x, J. Silk et. al. Which came first: Supermassive black holes or galaxies? insights from jwst. The Astrophysical Journal Letters, 961, 2024. [Google Scholar] [CrossRef]
- R. P. Gupta. JWST early universe observations and λcdm cosmology. Monthly Notices of the Royal Astronomical Society 524:3385, 2023. [CrossRef]
- E. G. Haug and S. Wojnow. The blackbody CMB temperature, luminosity, and their relation to black hole cosmology, compared to Bekenstein-Hawking luminosity. Hal archive, 2024.
| CMB study : | CMB measurement : | Cosmic age estimates using |
|---|---|---|
| thermodynamic critical Friedmann equation: | ||
![]() |
||
| 2023: Dhal et. al [14] : | years | |
| 2009: Fixsen et. al [15] : | years | |
| 2011: Noterdaeme et. al [16] : | years | |
| 2004: Fixsen et. al [17] : | years |
| Study : | estimate : | Current cosmic age estimates |
|---|---|---|
| using and critical density | ||
| Friedmann assumptions: | ||
| 2023: Murakami et al. [18] : | years | |
| 2022: Jaeger et. al [19]: | years | |
| 2021: Riess et al. [20] : | years | |
| 2021: Planck Collaboration [21] : | years | |
| 2023: Sneppen et. al [22] : | years | |
| 2023: Balkenhol et. al [23] : | years | |
| 2023: Kelly et. al [24]: | years |
Disclaimer/Publisher’s Note: The statements, opinions and data contained in all publications are solely those of the individual author(s) and contributor(s) and not of MDPI and/or the editor(s). MDPI and/or the editor(s) disclaim responsibility for any injury to people or property resulting from any ideas, methods, instructions or products referred to in the content. |
© 2024 by the authors. Licensee MDPI, Basel, Switzerland. This article is an open access article distributed under the terms and conditions of the Creative Commons Attribution (CC BY) license (https://creativecommons.org/licenses/by/4.0/).


