Submitted:
14 March 2024
Posted:
15 March 2024
Read the latest preprint version here
Abstract
Keywords:
1. Introduction
2. Materials and Methods
2.1. Participants
2.2. Instruments
2.3. Procedure
2.4. Statistical Analysis
3. Results
4. Discussion
5. Conclusions
Author Contributions
Funding
Institutional Review Board Statement
Informed Consent Statement
Acknowledgments
Conflicts of Interest
References
- Van Dijck, S.; De Groef, A.; Kothari, J.; Dams, L.; Haenen, V.; Roussel, N.; Meeus, M. Barriers and Facilitators to Physical Activity in Cancer Survivors with Pain: A Systematic Review. Support. Care Cancer 2023, 31, 1–16. [Google Scholar] [CrossRef]
- Inam, F.; Bergin, R. J.; Mizrahi, D.; Dunstan, D. W.; Moore, M.; Maxwell-Davis, N.; Denehy, L.; Lynch, B. M.; Swain, C. T. V. Diverse Strategies Are Needed to Support Physical Activity Engagement in Women Who Have Had Breast Cancer. Support. Care Cancer 2023, 31. [Google Scholar] [CrossRef] [PubMed]
- Asensio-García, M. del R.; Tomás-Rodríguez, M. I.; Palazón-Bru, A.; Hernández-Sánchez, S.; Nouni-García, R.; Romero-Aledo, A. L.; Gil-Guillén, V. F. Effect of Rowing on Mobility, Functionality, and Quality of Life in Women with and without Breast Cancer: A 4-Month Intervention. Support. Care Cancer 2021, 29, 2639–2644. [Google Scholar] [CrossRef]
- Sweeney, F. C.; Demark-Wahnefried, W.; Courneya, K. S.; Sami, N.; Lee, K.; Tripathy, D.; Yamada, K.; Buchanan, T. A.; Spicer, D. V; Bernstein, L.; Mortimer, J. E.; Dieli-Conwright, C. M. Aerobic and Resistance Exercise Improves Shoulder Function in Women Who Are Overweight or Obese and Have Breast Cancer: A Randomized Controlled Trial. Phys. Ther. 2019, 99, 1334–1345. [Google Scholar] [CrossRef]
- Fortune, E. E.; Obinna, E. A.; Okoroafor, A. U. Effects of Physical Activity Changes Induced by Behaviour Change Interventions on Inflammation and Patient-Centred Outcomes in Breast Cancer Survivors: A Systematic Review. Eur. J. Physiother. 2021, 1–12. [Google Scholar] [CrossRef]
- Roscoe, C. M. P.; Pringle, A.; Chandler, C.; Faghy, M. A.; Barratt, B. The Role of Physical Activity in Cancer Recovery: An Exercise Practitioner’s Perspective. Int. J. Environ. Res. Public Health 2022, 19. [Google Scholar] [CrossRef] [PubMed]
- Todorov, N.; Sherman, K. A.; Kilby, C. J. Self-Compassion and Hope in the Context of Body Image Disturbance and Distress in Breast Cancer Survivors. Psychooncology. 2019, 28, 2025–2032. [Google Scholar] [CrossRef]
- Garcia Andrade, M. G.; Mendoza Caldas, A. V.; Rivera Holguín, D. B.; Castro Jalca, J. E. Epidemiología Del Cáncer: Factores de Riesgo, Prevalencia y Diagnóstico En La Población Adulta. Rev. Científica Biomédica Higía La Salud 2023, 8. [Google Scholar] [CrossRef]
- Parkinson, J.; Bandera, A.; Crichton, M.; Shannon, C.; Woodward, N.; Hodgkinson, A.; Millar, L.; Teleni, L.; van der Meij, B. S. Poor Muscle Status, Dietary Protein Intake, Exercise Levels, Quality of Life and Physical Function in Women with Metastatic Breast Cancer at Chemotherapy Commencement and during Follow-Up. Curr. Oncol. 2023, 30, 688–703. [Google Scholar] [CrossRef]
- Patsou, E. D.; Alexias, G. D.; Anagnostopoulos, F. G.; Karamouzis, M. V. Effects of Physical Activity on Depressive Symptoms during Breast Cancer Survivorship: A Meta-Analysis of Randomised Control Trials. ESMO Open 2017, 2. [Google Scholar] [CrossRef]
- Prieto-Gómez, V.; Yuste-Sánchez, M. J.; Bailón-Cerezo, J.; Romay-Barrero, H.; de la Rosa-Díaz, I.; Lirio-Romero, C.; Torres-Lacomba, M. Effectiveness of Therapeutic Exercise and Patient Education on Cancer-Related Fatigue in Breast Cancer Survivors : A Randomised, Single-Blind, Controlled Trial with a 6-Month. J. Clin. Med. 2022, 11, 269. [Google Scholar] [CrossRef]
- Dieli-Conwright, C. M.; Courneya, K. S.; Demark-Wahnefried, W.; Sami, N.; Lee, K.; Sweeney, F. C.; Stewart, C.; Buchanan, T. A.; Spicer, D.; Tripathy, D.; Bernstein, L.; Mortimer, J. E. Aerobic and Resistance Exercise Improves Physical Fitness, Bone Health, and Quality of Life in Overweight and Obese Breast Cancer Survivors: A Randomized Controlled Trial 11 Medical and Health Sciences 1117 Public Health and Health Services. Breast Cancer Res. 2018, 20, 1–10. [Google Scholar] [CrossRef]
- Gavala-González, J.; Torres-Pérez, A.; Fernández-García, J. C. Impact of Rowing Training on Quality of Life and Physical Activity Levels in Female Breast Cancer Survivors. Int. J. Environ. Res. Public Health 2021, 18. [Google Scholar] [CrossRef]
- (Gavala-González, J.; Gálvez-Fernández, I.; Mercadé-Melé, P.; Fernández-García, J. C. Cardiac Effects of a Rowing Training Program in Breast Cancer Survivors. Sustain. 2021, 13, 6805. [Google Scholar] [CrossRef]
- Schmitz, K. H.; Campbell, A. M.; Stuiver, M. M.; Pinto, B. M.; Schwartz, A. L.; Morris, G. S.; Ligibel, J. A.; Cheville, A.; Galvão, D. A.; Alfano, C. M.; Patel, A. V.; Hue, T.; Gerber, L. H.; Sallis, R.; Gusani, N. J.; Stout, N. L.; Chan, L.; Flowers, F.; Doyle, C.; Helmrich, S.; Bain, W.; Sokolof, J.; Winters-Stone, K. M.; Campbell, K. L.; Matthews, C. E. Exercise Is Medicine in Oncology: Engaging Clinicians to Help Patients Move through Cancer. CA. Cancer J. Clin. 2019, 69, 468–484. [Google Scholar] [CrossRef]
- Campbell, K. L.; Winters-Stone, K. M.; Wiskemann, J.; May, A. M.; Schwartz, A. L.; Courneya, K. S.; Zucker, D. S.; Matthews, C. E.; Ligibel, J. A.; Gerber, L. H.; Morris, G. S.; Patel, A. V.; Hue, T. F.; Perna, F. M.; Schmitz, K. H. Exercise Guidelines for Cancer Survivors: Consensus Statement from International Multidisciplinary Roundtable. Med. Sci. Sports Exerc. 2019, 51, 2375–2390. [Google Scholar] [CrossRef] [PubMed]
- WHO. WHO Guidelines on Physical Activity and Sedentary Behaviour; 2020.
- Rock, C. L.; Thomson, C. A.; Sullivan, K. R.; Howe, C. L.; Kushi, L. H.; Caan, B. J.; Neuhouser, M. L.; Bandera, E. V.; Wang, Y.; Robien, K.; Basen-Engquist, K. M.; Brown, J. C.; Courneya, K. S.; Crane, T. E.; Garcia, D. O.; Grant, B. L.; Hamilton, K. K.; Hartman, S. J.; Kenfield, S. A.; Martinez, M. E.; Meyerhardt, J. A.; Nekhlyudov, L.; Overholser, L.; Patel, A. V.; Pinto, B. M.; Platek, M. E.; Rees-Punia, E.; Spees, C. K.; Gapstur, S. M.; McCullough, M. L. American Cancer Society Nutrition and Physical Activity Guideline for Cancer Survivors. CA. Cancer J. Clin. 2022, 72, 230–262. [Google Scholar] [CrossRef]
- García-Chico, C.; López-Ortiz, S.; Peñín-Grandes, S.; Pinto-Fraga, J.; Valenzuela, P. L.; Emanuele, E.; Ceci, C.; Graziani, G.; Fiuza-Luces, C.; Lista, S.; Lucia, A.; Santos-Lozano, A. Physical Exercise and the Hallmarks of Breast Cancer: A Narrative Review. Cancers (Basel). 2023, 15. [Google Scholar] [CrossRef]
- Harris, S. R.; Niesen-Vertommen, S. L. Challenging the Myth of Exercise-Induced Lymphedema Following Breast Cancer: A Series of Case Reports. J. Surg. Oncol. 2000, 74, 95–98. [Google Scholar] [CrossRef] [PubMed]
- Fong, A. J. .; Saxton, H. R..; Kauffeldt, K. D..; Sabiston, C. M..; Tomasone, J. R. “We’re All in the Same Boat Together”: Exploring Quality Participation Strategies in Dragon Boat Teams for Breast Cancer Survivors. Disabil. Rehabil. 2014, 43, 3078–3089. [Google Scholar] [CrossRef]
- Unruh, A. M.; Elvin, N. In the Eye of the Dragon: Women’s Experience of Breast Cancer and the Occupation of Dragon Boat Racing. Can. J. Occup. Ther. 2004, 71, 138–149. [Google Scholar] [CrossRef]
- Aramendi, J. M. G. Remo Olímpico y Remo Tradicional: Aspectos Biomecánicos, Fisiológicos y Nutricionales. Olympic Rowing and Traditional Rowing: Biomechanical, Physiological and Nutritional Aspects. Arch. Med. Deport. 2014, 31, 51–59. [Google Scholar]
- Battaglini, C. L.; Mills, R. C.; Phillips, B. L.; Lee, J. T.; Story, C. E.; Nascimento, M. G.; Hackney, A. C. Twenty-Five Years of Research on the Effects of Exercise Training in Breast Cancer Survivors: A Systematic Review of the Literature. World J. Clin. Oncol. 2014, 5. [Google Scholar] [CrossRef]
- Sheill, G.; Guinan, E.; Brady, L.; Hevey, D.; Hussey, J. Exercise Interventions for Patients with Advanced Cancer: A Systematic Review of Recruitment, Attrition, and Exercise Adherence Rates. Palliat. Support. Care 2019, 17, 686–696. [Google Scholar] [CrossRef] [PubMed]
- Harriss, D.; Macsween, A.; Atkinson, G. Standards for Ethics in Sport and Exercise Science Research. Int. J. Sports Med. 2017, 38, 1126–1131. [Google Scholar] [PubMed]
- Ebihara, A. World Medical Association Declaration of Helsinki. Japanese Pharmacology and Therapeutics 2000, 983–986. [Google Scholar] [CrossRef]
- Gavala-González, J.; Gálvez-Fernández, I.; Mercadé-Melé, P.; Fernández-García, J. C. Rowing Training in Breast Cancer Survivors: A Longitudinal Study of Physical Fitness. Int. J. Environ. Res. Public Health 2020, 17, 1–12. [Google Scholar] [CrossRef] [PubMed]
- Borg, G. Psychophysical Bases of Perceived Exertion. Med. Sci. Sports Exerc. 1982, 14, 377–381. [Google Scholar] [CrossRef] [PubMed]
- Coe, R.; Merino, C. Magnitud Del Efecto: Una Guía Para Investigadores y Usuarios. Rev Psicol PUCP 2002, 21, 47–77. [Google Scholar] [CrossRef]
- Fresno-Alba, S.; Denche-Zamorano, A.; Pastor-Cisneros, R.; Pereira-Payo, D.; Franco-García, J. M.; Jiménez-Castuera, R. Breast Cancer and Physical Activity : A Bibliometric Analysis. Front. Oncol. 2023, 1–12. [Google Scholar] [CrossRef]
- Schmidt, T.; Weisser, B.; Dürkop, J.; Jonat, W.; Van Mackelenbergh, M.; Röcken, C.; Mundhenke, C. Comparación Del Entrenamiento de Resistencia y Resistencia Con La Atención Estándar Durante La Quimioterapia Para Pacientes Con Cáncer de Mama Primario. Anticancer Res. 2015, 35, 5623–5629. [Google Scholar] [PubMed]
- Fernández, D.; Mielgo, J.; Caballero, A.; Córdova, A.; Lázaro, M.; Fernández, C. Actividad Física En Pacientes Oncológicos de Cáncer de Mama: ¿Terapia Médica Deportiva No Farmacológica? Revisión Sistemática. Arch. med. Deport. 2020, 37, 266–274. [Google Scholar]
- Swain, C. T.; Drummond, A. E.; Milne, R. L.; English, D. R.; Brown, K. A.; Lou, M. W.; Boing, L.; Bagley, A.; Skinner, T. L.; van Roekel, E. H.; Moore, M. M.; Gaunt, T. R.; Martin, R. M.; Lewis, S. J.; Lynch, B. M. Linking Physical Activity to Breast Cancer Risk via Inflammation, Part 1: The Effect of Physical Activity on Inflammation. Cancer Epidemiol. Biomarkers Prev. 2023, 588–596. [Google Scholar] [CrossRef] [PubMed]
- McTiernan, A. Mechanisms Linking Physical Activity with Cancer. Nat. Rev. Cancer 2008, 8, 205–211. [Google Scholar] [CrossRef]
- Swain, C. T. V.; Drummond, A. E.; Boing, L.; Milne, R. L.; English, D. R.; Brown, K. A.; Van Roekel, E. H.; Dixon-Suen, S. C.; Lynch, M. J.; Moore, M. M.; Gaunt, T. R.; Martin, R. M.; Lewis, S. J.; Lynch, B. M. Linking Physical Activity to Breast Cancer via Sex Hormones, Part 1: The Effect of Physical Activity on Sex Steroid Hormones. Cancer Epidemiol. Biomarkers Prev. 2022, 31, 16–27. [Google Scholar] [CrossRef]
- Drummond, A. E.; Swain, C. T. V.; Brown, K. A.; Dixon-Suen, S. C.; Boing, L.; Van Roekel, E. H.; Moore, M. M.; Gaunt, T. R.; Milne, R. L.; English, D. R.; Martin, R. M.; Lewis, S. J.; Lynch, B. M. Linking Physical Activity to Breast Cancer via Sex Steroid Hormones, Part 2: The Effect of Sex Steroid Hormones on Breast Cancer Risk. Cancer Epidemiol. Biomarkers Prev. 2022, 31, 28–37. [Google Scholar] [CrossRef]




| Age (years) | 56.78 | |
| Body Composition | Height (cm) | 162.05 |
| Weight (kg) | 69.49 | |
| BMI (kg/m2) | 26.48 | |
| Breast (%) | Right | 37.5 |
| Left | 57.5 | |
| Both | 5.0 | |
| Stage (%) | I | 7.5 |
| II | 37.5 | |
| III | 40.0 | |
| IV | 15.0 | |
| Preservation | 50.0 | |
| Surgery (%) | Total Mastectomy | 42.5 |
| Double Mastectomy | 7.5 |
| Stage | Content | Duration |
|---|---|---|
| 1 Börg scale 5-6. |
Initial phase with mobility exercises, proprioceptive exercises and postural control exercises. | 8’ |
| Main phase with rowing training. | 60’ | |
| Final phase with stretching. | 7’ | |
| 2 Börg scale 6-7. |
Initial phase with mobility exercises, proprioceptive exercises and postural control exercises. | 8’ |
| Main phase with rowing training. | 60’ | |
| Final phase with stretching. | 7’ | |
| 3 Börg scale 7-8. |
Initial phase with mobility exercises, proprioceptive exercises and postural control exercises. | 8’ |
| Main phase with rowing training. | 60’ | |
| Final phase with stretching. | 7’ |
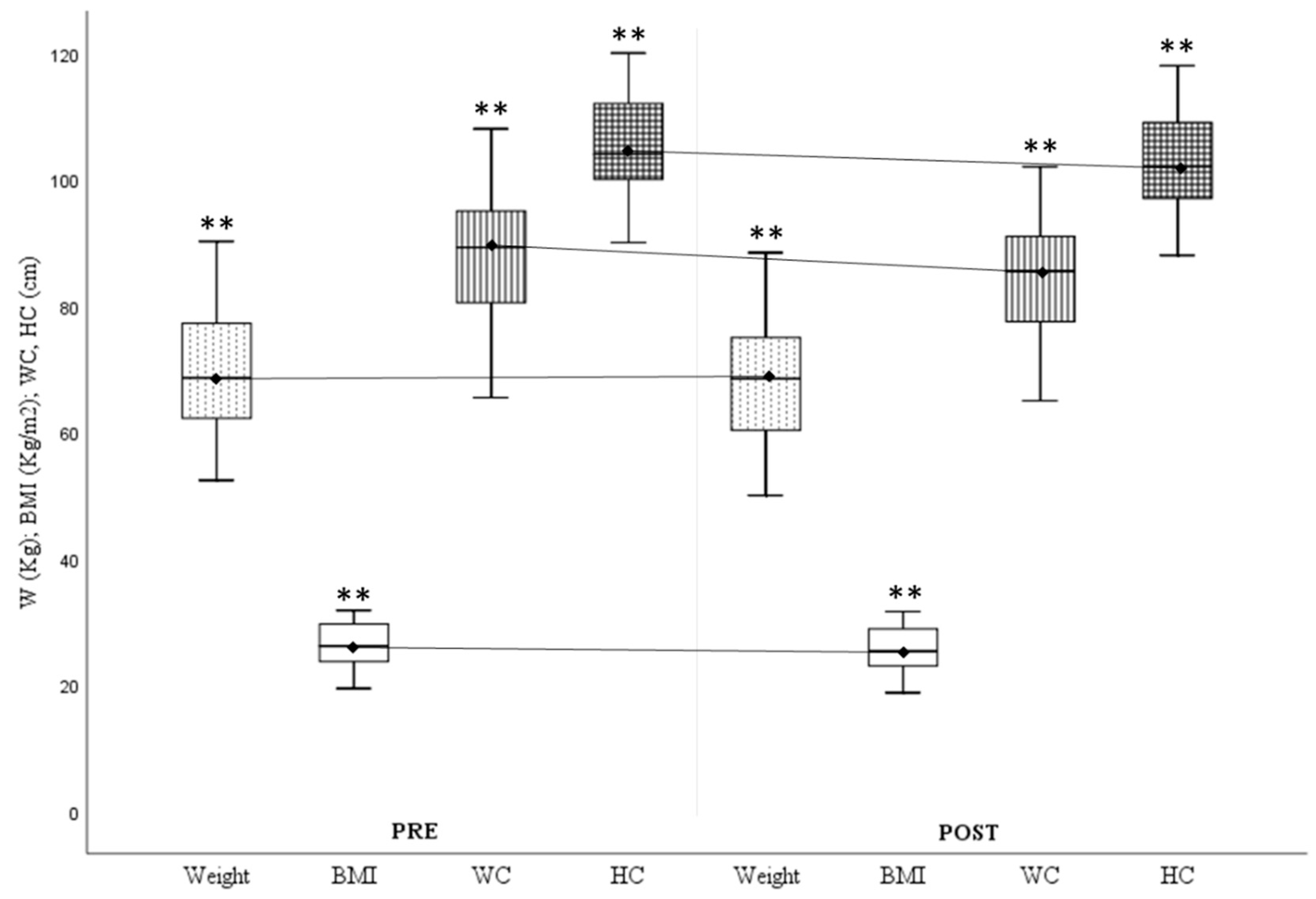
| Pre-test (SD) | Post-test (SD) | ΔPre-Post (SD) | Student’s t | Effect size | p | |
|---|---|---|---|---|---|---|
| Body composition | ||||||
| Weight (kg) | 69.49 (9.8) | 67.65 (9.46) | -1.84 (1.6) | 7.274 | .253 | .000** |
| BMI (kg/m2) | 26.48 (3.58) | 25.78 (3.46) | -.7 (.61) | 7.264 | .096 | .000** |
| Waist circumference (cm) | 87.82 (10.09) | 84.57 (9.6) | -3.24 (2.44) | 8.418 | .385 | .000** |
| Hip circumference (cm) | 105.34 (8.07) | 102.89 (7.95) | -2.45 (1.9) | 8.138 | .301 | .000** |
| Strength | ||||||
| CMJ (cm) | 12.13 (3.28) | 15.18 (3.29) | +3.04 (1.36) | -14.168 | .215 | .000** |
| Dominant handgrip (kgf) | 21.59 (5.15) | 25.83 (5.1) | +4.24 (2.32) | -11.57 | .366 | .000** |
| Non-dominant handgrip (kgf) | 20.86 (5.04) | 24.36 (5.34) | +3.49 (2.28) | -9.674 | .361 | .000** |
| Aerobic capacity | ||||||
| 6-minute walk test (m) | 784.78 (103.64) | 863.13 (108.75) | +78.35 (62.57) | -7.92 | 9.893 | .000** |
| Flexibility | ||||||
| Sit-and-Reach (cm) | 1.23 (7.33) | 5.19 (6.58) | +3.96 (3.18) | -7.875 | .504 | .000** |
| *p<.05; **p<.001 |
Disclaimer/Publisher’s Note: The statements, opinions and data contained in all publications are solely those of the individual author(s) and contributor(s) and not of MDPI and/or the editor(s). MDPI and/or the editor(s) disclaim responsibility for any injury to people or property resulting from any ideas, methods, instructions or products referred to in the content. |
© 2024 by the authors. Licensee MDPI, Basel, Switzerland. This article is an open access article distributed under the terms and conditions of the Creative Commons Attribution (CC BY) license (http://creativecommons.org/licenses/by/4.0/).