Submitted:
07 March 2024
Posted:
07 March 2024
You are already at the latest version
Abstract
Keywords:
1. Introduction
2. Materials and Methods
2.1. Study area
2.2. Experimental design
2.3. Plant sample collection and analyses
2.4. Soil sample collection and analyses
2.5. Data Analysis
3. Results
3.1. Crop yield
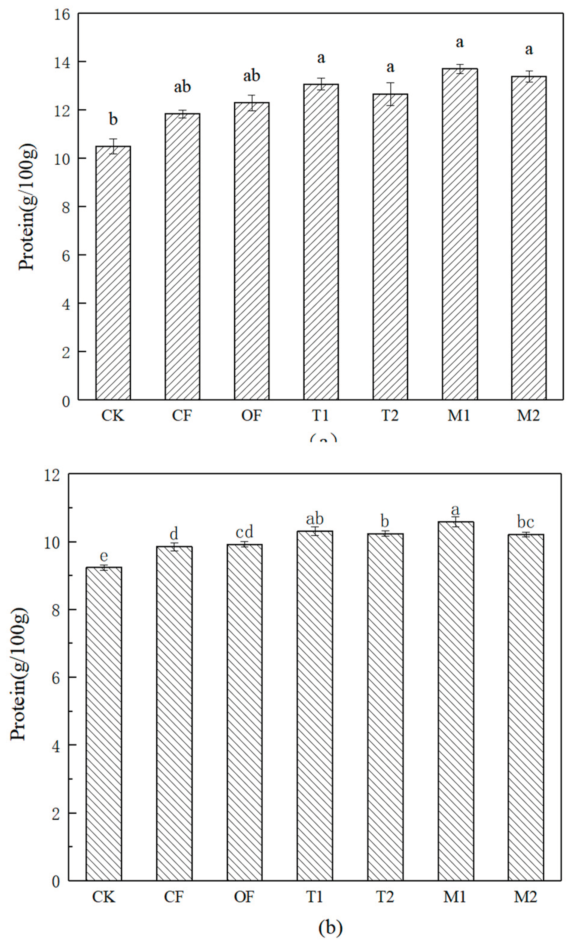
3.2. Crop grain protein
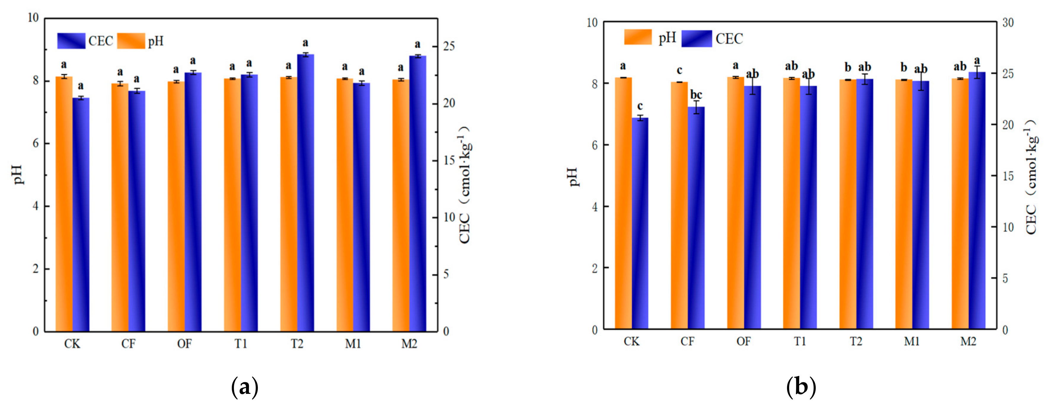
3.3. Soil pH and CEC
3.4. Total and available P in soil
3.5. Total and available K in soil
3.6. Soil ecological risk
4. Discussion
4.1. Crop yield
4.2. Crop grain protein
4.3. Soil pH and CEC
4.4. Total and available P and K in soil
4.5. Soil ecological risk
5. Environmental implications
6. Future research needs
- Particle size distribution and chemical composition are the two major factors of animal manures affecting the soil holding capacities of different nutrients. Hence, future works should pay special attention to the effects of these two parameters on soil CEC both for top and subsoil layers. This, in particular, calls for long-term in situ trials for the completion of microbial decomposition of manure.
- Despite the well-documentation of the effects of manure application on P accumulation in the study COIF amended paddy soils (0—20 cm), future research should investigate the spatiotemporal subsurface leaching of both organic/inorganic and dissolved/particulate soil P in relation to the long term and the rate of soil cow manure application [60].
- It is of major importance to study the effects of co-application of manure and chemical fertilizers on crop yield qualities in longer periods of time [19].
7. Conclusions
Author Contributions
Funding
Conflicts of Interest
References
- Hu D, Chen Y, Hu M. Industrial value chain model and big data application for developing green agriculture in China. J. Phys. Conf. Ser. 2021; 1883 (1): 012117. [CrossRef]
- Orner KD, Smith SJ, Breunig HM, et al. Fertilizer demand and potential supply through nutrient recovery from organic waste digest ate in California. Water. Res. 2021; 206: 117717. [CrossRef]
- National Bureau of Statistics of the People’s Republic of China. China Statistical Yearbook; CN, 2017.
- Zhong Y, Yan W, Shangguan Z. Impact of long-term N additions upon coupling between soil microbial community structure and activity, and nutrient-use efficiencies. Soil. Biol. Biochem. 2015: 92: pp. 151-159. [CrossRef]
- Dong L, Wang J, Shen M, et al. Biochar combined with nitrogen fertilizer affects soil properties and wheat yield in medium-low-yield farmland. Soil. Use. Manag. 2022; 38(1): pp. 584—595. [CrossRef]
- Sun L, Yu Y, Petropoulos E, et al. Long-term manure amendment sustains black soil biodiversity by mitigating acidification induced by chemical N fertilization. Microorganisms. 2023; 11(1): 64. [CrossRef]
- He H, Peng M, Lu W, et al. Commercial organic fertilizer substitution increases wheat yield by improving soil quality. Sci. Total. Environ. 2022; 851: 158132. [CrossRef]
- Han J, Luo Y, Yang L, et al. Acidification and salinization of soils with different initial pH under greenhouse vegetable cultivation. J. Soils. Sediments. 2014; 14(10): pp. 1683–1692. [CrossRef]
- Ata-Ul-Karim ST, Cang L, Wang, Y, et al. Interactions between nitrogen application and soil properties and their impacts on the transfer of cadmium from soil to wheat (Triticum aestivum L.) grain. Geoderma. 2020; 357: 113923. [CrossRef]
- Zhou J., Jiang X., Wei D, et al. Consistent effects of nitrogen fertilization on soil bacterial communities in black soils for two crop seasons in China. Sci. Rep. 2017; 7(1), 3267. [CrossRef]
- Kalkhajeh YK, Huang B, Hu W, et al. Phosphorus saturation and mobilization in two typical Chinese greenhouse vegetable soils. Chemosphere. 2017; 172: pp. 316-324. [CrossRef]
- Gao RP, Duan Y, Zhang J, et al. Effects of long-term application of organic manure and chemical fertilizer on soil properties and microbial communities in the agro-pastoral ecotone of North China. Front. Environ. Sci. 2022; 10: 1665. [CrossRef]
- Du SP, Ma ZM, Chen J, et al. Effects of organic fertilizer proportion on the distribution of soil aggregates and their associated organic carbon in a field mulched with gravel. Sci. Rep. 2022; 12(1): 11513. [CrossRef]
- Shan A, Pan J, Kang KJ, et al. Effects of straw return with N fertilizer reduction on crop yield, plant diseases and pests and potential heavy metal risk in a Chinese rice paddy: A field study of 2 consecutive wheat-rice cycles. Environ. Pollut. 2021; 288:117741. [CrossRef]
- Wang YY, Liu YD, Zhang WH, et al. Stabilization of heavy metal-contaminated soils by biochar: Challenges and recommendations. Sci. Total. Environ. 2020; 729:139060. [CrossRef]
- Iqbal A, Ali I, Yuan PL, et al. Combined application of manure and chemical fertilizers alters soil environmental variables and improves soil fungal community composition and rice grain yield. Front. Microbiol. 2022: 13:856355. [CrossRef]
- Wang Q, Yang S, Zheng M, et al. Effects of Vegetable Fields on the Spatial Distribution Patterns of Metal (loid) s in Soils Based on GIS and Moran’s I. Int. J. Environ. Res. Public. Health. 2019; 16(21): 4095. [CrossRef]
- Ministry of Agriculture of the People’s Republic of China. Organic fertilizer; NY 525-2012, CN, 2012.
- Kalkhajeh YK, He Z, Yang X, et al. Co-application of nitrogen and straw-decomposing microbial inoculant enhanced wheat straw decomposition and rice yield in a paddy soil. J. Agric. Food. Res. 2021; 4:100134. [CrossRef]
- Yang C, Du WB, Zhang LL, et al. Effects of sheep manure combined with chemical fertilizers on maize yield and quality and spatial and temporal distribution of soil inorganic Nitrogen. Complexity. 2021; 1—10. [CrossRef]
- Wei QQ., GOU J.L., ZHANG M., ZHANG B.X., RAO Y., XIAO H.G. Nitrogen reduction combined with organic materials can stabilize crop yield and soil nutrients in winter rape seed and maize rotation in yellow soil. Sustainability. 2021; 14(12). [CrossRef]
- WEI QQ, Gou JL, Zhang M, et al. Nitrogen reduction combined with organic materials can stabilize crop yield and soil nutrients in winter rape seed and maize rotation in yellow soil. Sustainability. 2021; 14 (12): 7183. [CrossRef]
- Gao HZ, Xi YJ, Wu XP, et al. Partial substitution of manure reduces nitrous oxide emission with maintained yield in a winter wheat crop. J. Environ. Manage. 2023; 326: 116794. [CrossRef]
- Lin SF, Pi YJ, Long DY, et al. Impact of organic and chemical Nitrogen fertilizers on the crop yield and fertilizer use efficiency of soybean — Maize intercropping systems. Agriculture. 2022; 12(9): 1428. [CrossRef]
- Xiao ZL, Gu HZ, Wu H, et al. Effects of planting density, levels, and forms of Nitrogen application on the yield and Nitrogen utilization of wheat following rice in East China. Agronomy. 2022; 12(11): 2607. [CrossRef]
- Wang GL, Zhang JH, Wang SH, et al. Effects of chemical fertilizer nitrogen substitution by biogas slurry on yield, quality and growth characteristics of winter wheat. J. Agric. Resour. Environ. 2018; 35: 467–475. (in Chinese). [CrossRef]
- Han Y, Lv FL, Lin XD, et al. Crop yield and nutrient efficiency under organic manure substitution fertilizer in a double cropping system: A 6-year field experiment on an anthrosol. Agronomy. 2022; 12(9): 2047. [CrossRef]
- BROWN B.D., PETRIE S. Irrigated hard winter wheat response to fall, spring, and late season applied nitrogen. Field. Crops. Res. 96, 260–268, 2006. [CrossRef]
- Qu H, Zhao BQ, Chen YH, et al. Effect of long-term fertilization on wheat quality and yield in grey desert soil. Plant. Nutr. Fertil. 2004; 10: 12–17. (In Chinese). [CrossRef]
- Han J, Luo Y, Yang L, et al. Acidification and salinization of soils with different initial pH under greenhouse vegetable cultivation. J. soils. sediments. 2014; 14: pp. 1683-1692. [CrossRef]
- Shi RY, Liu ZD, Li Y, et al. Mechanisms for increasing soil resistance to acidification by long-term manure application. Soil. Tillage. Res. 2019; 185: 77-84. [CrossRef]
- Cai ZJ, Wang BR, Xu MG, et al. Intensified soil acidification from chemical N fertilization and prevention by manure in an 18-year field experiment in the red soil of southern China. J. Soils. Sediments. 2015; 15(2): pp. 260—270. [CrossRef]
- Kong CX, Xu JM, Tang CX, et al. Differences in carbon and nitrogen mineralization in soils of differing initial pH induced by electrokinesis and receiving crop residue amendments. Soil. Biol. Biochem. 2013; 67: pp. 70—84. [CrossRef]
- Khorshidi M, Lu N. Intrinsic Relation between Soil Water Retention and Cation Exchange Capacity. J. Geotech. Geoenviron. Eng. 2016; 143(4): 04016119. [CrossRef]
- Zhang Y, Yang S, Fu M, et al. Sheep manure application increases soil exchangeable base cations in a semi-arid steppe of Inner Mongolia. J. Arid. Land. 2015; 7: pp. 361-369. [CrossRef]
- Yang XY, Ren WD, Sun BH, et al. Effects of contrasting soil management regimes on total and labile soil organic carbon fractions in a loess soil in China. Geoderma. 2012; 177/178: pp. 49-56. [CrossRef]
- Ma XZ, Wu ZJ, Chen LJ, et al. Effect of long-term fertilization on the phosphorus content of black soil in Northeast China. Acta. Agric. Scand. Section B. Soil. Plant. Sci. 2014; 63(2): pp. 156-161. [CrossRef]
- Li XP, Liu CL, Zhao H, et al. Similar positive effects of beneficial bacteria, nematodes and earthworms on soil quality and productivity. Appl. Soil. Ecol. 2018; 130: pp. 202-208. [CrossRef]
- Jing H, Qaswar M, Khan MN, et al. Long-term application of chemical and organic fertilizers over 35 years differentially affects interannual variation in soil inorganic Phosphorus fractions in acidic paddy soil. Eurasian. Soil. Sci. 2021; 54(5): pp. 772-782. [CrossRef]
- Waqas A, Huang J, Liu KL, et al. Changes in phosphorus fractions associated with soil chemical properties under long-term organic and inorganic fertilization in paddy soils of southern China. PLoS ONE. 2019; 14(5): e0216881. [CrossRef]
- Song WF, Shu AP, Liu JA, et al. Effects of long-term fertilization with different substitution ratios of organic fertilizer on paddy soil. Pedosphere. 2022; 32(4): pp. 637-648. [CrossRef]
- Parham JA, Deng SP, Da HN, et al. Long-term cattle manure application in soil. II. Effect on soil microbial populations and community structure. Biol. Fertil. Soils, 2003; 38(4): pp. 209-215. [CrossRef]
- Ye DH, Liu D, Li TX, et al. Phosphorus accumulation characteristics in Polygonum hydropiper and rhizosphere properties affected by poultry manure application. Appl. Soil. Ecol. 2018; 131: pp. 12-21. [CrossRef]
- Nguyen TT, Sasaki Y, Kakuda KI, et al. Comparison of paddy soil fertility under conventional rice straw application versus cow dung compost application in mixed crop–livestock systems in a cold temperate region of Japan. Soil. Sci. Plant. Nutr. 2020; 66 (1), pp. 106-115. [CrossRef]
- Gosal SK, Gill GK, Sharma S, et al. Soil nutrient status and yield of rice as affected by long-term integrated use of organic and inorganic fertilizers. J. Plant. Nutr. 2017; 41(4): pp. 539-544. [CrossRef]
- Hashim M, Dhar S, Vyas AK, et al. SINGH C.B. Yield trends and changes in physico-chemical properties of soil in maize-wheat cropping system under integrated nutrient management. J. Environ. Biol. 2107; 38(5): pp. 727-734. [CrossRef]
- Xu MG, Li DC, Li JM, et al. Effects of organic manure application combined with chemical fertilizers on nutrients absorption and yield of rice in Hunan of China. Sci. Agric. Sin. 2008; 41(10): pp. 3133–3139. [CrossRef]
- Li Y, Sun CP, Jing YP, et al. Effect of long-term application of organic manure on soil fertility and nitrate-N transport in fluvo-aquic soil. J Agro-Environ Sci. 2017; 36(7): pp. 1386–1394. (In Chinese). [CrossRef]
- Balík J, Kulhánek M, Černý J, et al. Potassium fractions in soil and simple K balance in long-term fertilising experiments. Soil. Water. Res. 2020: 15 (4): pp. 211—219. [CrossRef]
- Xu YL, Jin ZL, Liu TX, et al. Effects of long-term fertilization practices on heavy metal cadmium accumulation in the surface soil and rice plants of double-cropping rice system in Southern China. Ecol. Environ. Sci. 2018; 25(20): pp. 19836-19844. (In Chinese). [CrossRef]
- Hussain B, Li J, Ma Y, et al. A Field evidence of Cd, Zn and Cu accumulation in soil and rice grains after long-term (27 years) application of swine and green manures in a paddy soil. Sustainability. 2021; 13(4): 2404. [CrossRef]
- Li SH, Zeng XB, Li LF, et al. Distribution characteristics of heavy metals in soil profile of facility vegetable fields. J Appl Ecol. 2010; 21 (9): pp. 2397-2402. (In Chinese).
- Zhen, H., Jia, L., Huang, C, et al. Long-term effects of intensive application of manure on heavy metal pollution risk in protected-field vegetable production. Environ. Pollut. 2020; 263:114552. [CrossRef]
- Wang Q, Zhang J, Zhao B, et al. The influence of long-term fertilization on cadmium (Cd) accumulation in soil and its uptake by crops. Environ. Sci. Pollut. Res. 2014; 21(17): pp. 10377-10385. [CrossRef]
- Guan DX, Sun FS, Yu GH, et al. Total and available metal concentrations in soils from six long-term fertilization sites across China. Environ. Sci. Pollut. Res. 2018; 25(31): pp. 31666-31678. [CrossRef]
- Kalkhajeh YK, Huang B, Hu W, 2021. Impact of preferential flow pathways on phosphorus leaching from typical plastic shed vegetable production soils of China. Agric. Ecosyst. Environ. 2021; 307: 107218. [CrossRef]
- Zhang S, Yang X, Hsu LC, et al. 2021. Soil acidification enhances the mobilization of phosphorus under anoxic conditions in an agricultural soil: Investigating the potential for loss of phosphorus to water and the associated environmental risk. Sci. Total. Environ. 2021; 793:148531. [CrossRef]
- Ma S, Kan Z, Qi J, et al. Effects of straw return mode on soil aggregates and associated carbon in the north China plain. Agronomy. 2020; 10(1): 61. [CrossRef]
- Song J, Huang J, Gao JS, et al. Effects of green manure planted in winter and straw returning on soil aggregates and organic matter functional groups in double cropping rice area. J. Appl. Ecol. 2021; 32(2): pp. 564-570. [CrossRef]
- Kalkhajeh YK, Huang B, SØRENSEN H, et al. Phosphorus accumulation and leaching risk of greenhouse vegetable soils in Southeast China. Pedosphere, 2021; 31(5): pp. 683-693. [CrossRef]





| pH | CEC (cmol kg−1) |
TP (g kg−1) |
AP (mg kg−1) |
TK (g kg−1) |
AK (mg kg−1) |
Total Cd (mg kg−1) |
DTPA Cd (mg kg−1) |
|---|---|---|---|---|---|---|---|
| 7.52 | 23.1 | 0.31 | 16 | 8.89 | 157 | 0.033 | 0.006 |
| Treatment | Organic fertilizer | Urea | Superphosphate | Potassium chloride | Converted to major nutrients | |||||
|---|---|---|---|---|---|---|---|---|---|---|
| Base fertilizer | Topdressing | Base fertilizer | Topdressing | Base fertilizer | Topdressing | N | P2O5 | K2O | ||
| CK | 0 | 0 | 0 | 0 | 0 | 0 | 0 | 0 | 0 | 0 |
| CF | 0 | 237 | 158 | 937 | 0 | 187.5 | 0 | 181.5 | 112.5 | 112.5 |
| OF | 0 | 249.6 | 166.4 | 625 | 0 | 131 | 0 | 191.4 | 75 | 78.75 |
| T1 | 2815 | 187.2 | 124.8 | 353 | 0 | 72.1 | 0 | 191.4 | 75 | 78.75 |
| T2 | 5629 | 124.8 | 83.2 | 81 | 0 | 13 | 0 | 191.4 | 75 | 78.75 |
| M1 | 2815 | 187.2 | 124.8 | 625 | 0 | 131 | 0 | 191.4 | 107.6 | 114.2 |
| M2 | 5629 | 124.8 | 83.2 | 625 | 0 | 131 | 0 | 191.4 | 140.29 | 149.7 |
| Treatment | Organic fertilizer | Urea | Superphosphate | Potassium chloride | Converted to major nutrients | |||||
|---|---|---|---|---|---|---|---|---|---|---|
| Base fertilizer | Topdressing | Base fertilizer | Topdressing | Base fertilizer | Topdressing | N | P2O5 | K2O | ||
| CK | 0 | 0 | 0 | 0 | 0 | 0 | 0 | 0 | 0 | 0 |
| CF | 0 | 196 | 130 | 562.5 | 0 | 112.5 | 0 | 150 | 67.5 | 67.5 |
| OF | 0 | 274 | 183 | 500 | 0 | 150 | 0 | 210 | 60 | 90 |
| T1 | 3088 | 205 | 137 | 201.5 | 0 | 85 | 0 | 210 | 60 | 90 |
| T2 | 6176 | 137 | 92 | 0 | 0 | 20 | 0 | 210 | 72 | 90 |
| M1 | 3088 | 205 | 137 | 500 | 0 | 150 | 0 | 210 | 96 | 129 |
| M2 | 6176 | 137 | 92 | 500 | 0 | 150 | 0 | 210 | 132 | 168 |
| Treatment | Effective panicle number per m2 (× 104 ha−1) |
Grains per panicle (No) | 1000-grain weight (g) | Grain yield (kg ha−1) |
|---|---|---|---|---|
| CK | 268 ± 13.3d | 30 ± 0.75e | 41.8 ± 0.25a | 3800 ± 82.3f |
| CF | 294 ± 5.25cd | 34 ± 0.34d | 42.1 ± 0.25a | 4390 ± 80.1e |
| OF | 385 ± 24.6a | 38.2 ± 1.39ab | 41.8 ± 0.28a | 5300 ± 63.7a |
| T1 | 349 ± 8.36ab | 34 ± 0.38d | 42.5 ± 0.40a | 4970 ± 73.8bc |
| T2 | 284 ± 13.8cd | 40.4 ± 0.52a | 42.2 ± 0.18a | 4670 ± 81.8d |
| M1 | 365 ± 11.9ab | 35.6 ± 0.46cd | 41.5 ± 0.30a | 5200 ± 84.6ab |
| M2 | 324 ± 13.5bc | 36.6 ± 0.64bc | 42.5 ± 0.32a | 4860 ± 81.8cd |
| Treatment | Effective spike (106 ha−1) |
Grains per panicle (No) | 1000-grain weight (g) | Grain yield (kg ha−1) |
|---|---|---|---|---|
| CK | 1.99 ± 0.08d | 121 ± 3.11d | 24.1 ± 0.25d | 6220 ± 90d |
| CF | 2.34± 0.04c | 126 ± 1.29c | 24.6 ± 0.25bcd | 6670 ± 50c |
| OF | 2.37 ± 0.08c | 132 ± 2.63bc | 24.5 ± 0.28cd | 6840 ± 140c |
| T1 | 2.64 ± 0.07ab | 135 ± 1.76bc | 25.2 ± 0.18abc | 7520 ± 50ab |
| T2 | 2.57 ± 0.09bc | 132 ± 3.30bc | 25.4 ± 0.28ab | 7380 ± 50b |
| M1 | 2.87 ± 0.10a | 143 ± 1.99a | 25.5 ± 0.32a | 7900 ± 220a |
| M2 | 2.68 ± 0.03ab | 139 ± 2.43b | 24.6 ± 0.30bcd | 7710 ± 150ab |
Disclaimer/Publisher’s Note: The statements, opinions and data contained in all publications are solely those of the individual author(s) and contributor(s) and not of MDPI and/or the editor(s). MDPI and/or the editor(s) disclaim responsibility for any injury to people or property resulting from any ideas, methods, instructions or products referred to in the content. |
© 2024 by the authors. Licensee MDPI, Basel, Switzerland. This article is an open access article distributed under the terms and conditions of the Creative Commons Attribution (CC BY) license (https://creativecommons.org/licenses/by/4.0/).
